Andy Rogers (andy@shield-legal.com)
2024-07-29 16:06:18

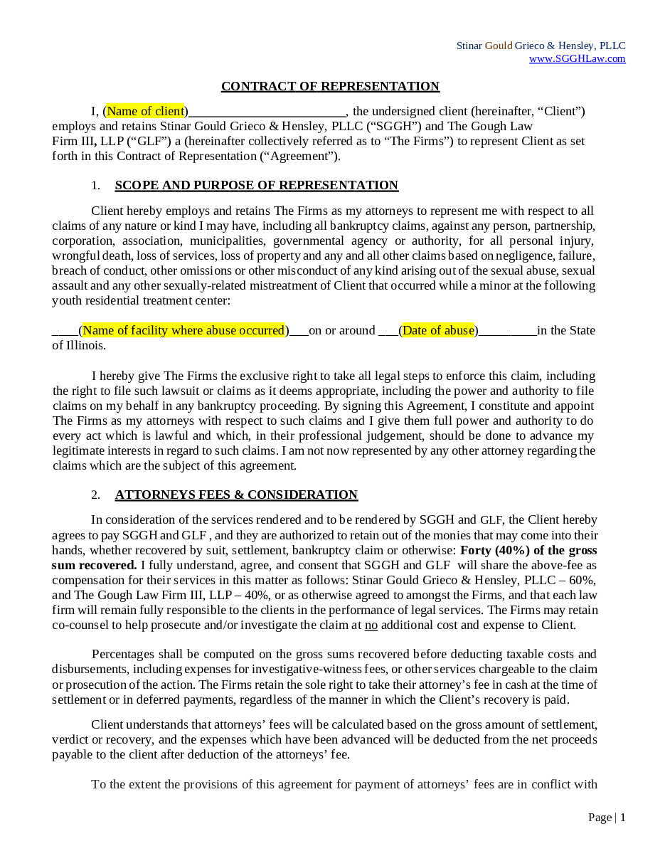
Please get me a full report on all of the leads in the attachement. Specifically I am trying to find out which ones where firefighters.

Cameron Rentch (https://themedialaboratory.slack.com/team/UHMC40W4E)
Malissa (malissa@shield-legal.com)
2024-07-29 16:28:42

@Andy Rogers On it.

Malissa (malissa@shield-legal.com)
2024-07-29 17:43:15

@Andy Rogers please use the tab called PFAS ELG Report for the details on all PNCs on this file file. I've highlighted a few that have ties to firefighting. in yellow there's 1 military police officer who did training with AFFF and 1 volunteer firefighter.

Andy Rogers (andy@shield-legal.com)
2024-08-06 07:22:05

@Malissa @Greg Owen Please make sure that Cameron has everything he needs to start this test campaign for Burg Simpson. The distribution list for them is the exact same as for their VGA.

This was funded yesterday and we need to let them know we are ready to launch

πŸ‘ Malissa
Malissa (malissa@shield-legal.com)
2024-08-06 13:01:36

@Cameron Rentch is Beit T'Shuvah Treatment Center Abuse a campaign we should enter in Copper or is it still up in the air? Just saw the vertical for it.

Cameron Rentch (cameron@internetthings.com)
2024-08-06 13:03:11

it's being created, Patsy or @Andy Rogers will submit soon

πŸ‘ Malissa
Malissa (malissa@shield-legal.com)
2024-08-21 12:20:30

@Cameron Rentch

Hi Cam, the Copper email situation: From what Greg and I can tell, I've stopped new emails from being shared and new emails should be private for everyone now. I just need you, when you get a moment, to double check your settings. What you see should look exactly like my attached screenshot. If not, please uncheck everything and make sure "NO (always private by default)" is selected. I'm going through and deleting emails. Plus i'm making sure new emails aren't coming through.

Cameron Rentch (cameron@internetthings.com)
2024-08-21 12:30:09

@Malissa I dont even know how to access my account. I dont want to be associated with this system. @Ryan remove me and any emails fro the system immediately.

Andy Rogers (andy@shield-legal.com)
2024-08-21 12:30:40

me too

Malissa (malissa@shield-legal.com)
2024-08-21 14:05:53

Just an update. If you've gotten any emails from Copper, please disregard. Ryan, Greg and I are transferring some campaigns to different owners so we can keep track of campaigns. Once that's complete and we know there are no errors in the system, we'll delete your accounts.

Andy, there might be an extra step with yours since it's the owner account.

Malissa (malissa@shield-legal.com)
2024-08-21 14:07:48

EMAILS - I just talked to Copper and they have set all emails, including older emails, to private. They asked to give it "a few minutes to hours" to set up. I'm still going to go through and delete stuff until their change kicks in.

Malissa (malissa@shield-legal.com)
2024-08-21 14:07:59

@Andy Rogers @Cameron Rentch

Cameron Rentch (cameron@internetthings.com)
2024-08-21 14:21:19

thank you!

Malissa (malissa@shield-legal.com)
2024-08-21 17:13:49

@here last update for the day. I'm waiting on a response from Copper about changing the account ownership from Andy to Ryan. Once that change is done, I can delete Andy's account.

Cam, you no longer have a Copper account. Good news is the Paid vs Spent report is not affected.

I have changed a lot in the settings and I've changed access for people. I also asked Copper to assist in regards to making any emails private. Copper has assured me that emails are now private, but I've still deleted everything I've come across. Admins and the Account Owner still have access to see emails though. So I've been deleting things. With the setting change, new emails should not sync.

Here are the updated Copper Admins: Ryan Greg Malissa.

Registered Users: Brian Thiessen Mark Maniora Patsy Miller

Users cannot see emails unless they're already on them, at least that's what Copper has told me.

I'll let you know when they change the ownership.

πŸ™Œ Cameron Rentch
Cameron Rentch (cameron@internetthings.com)
2024-08-21 20:33:42

Great job @Malissa πŸ™Œ πŸ™

❀️ Malissa
Malissa (malissa@shield-legal.com)
2024-08-22 10:27:10

Thanks @Cameron Rentch. I couldn't have done any of it without the help of @Ryan and @Greg Owen. @Andy Rogers just needs to reply to an email from Copper that he wants to give account ownership to Ryan.

We can make suggestions to the Copper development team. I will probably give them a few strongly worded ideas lol.

Cameron Rentch (cameron@internetthings.com)
2024-09-08 19:05:31

@Andy Rogers @Malissa @Greg Owen watch ELG Ibrahim and BG Flanagan, both are super low caps and updated CO 28 criteria.

πŸ‘ Greg Owen, Malissa
Cameron Rentch (cameron@internetthings.com)
2024-10-09 11:53:27

@Andy Rogers @Malissa @Greg Owen can you please send me an updated list of orders and caps currently whatever the sheet is that you guys have that’s color-coded

Malissa (malissa@shield-legal.com)
2024-10-09 11:54:27

@Cameron Rentch https://docs.google.com/spreadsheets/d/1sQIemcguHcOiz_eErEe7dpejJDQ-zfnJkTyryDPLKSA/edit?gid=1709798612#gid=1709798612 here's the link to the live file. Please feel free to make updates where needed. I can update any caps in copper so it matches on all the reports.

Cameron Rentch (cameron@internetthings.com)
2024-10-09 11:58:05

thank you

Malissa (malissa@shield-legal.com)
2024-10-11 12:12:40

@here Hi, thought i'd bring up Nations/Levinson/David Van AFFF in a more private chat. It was actually pretty chill until yesterday. It went from 50% the day before and crept up yesterday. For the most part it was going slower than the Nations/Levinson AFFF and then kicked up a bit.

Cameron Rentch (cameron@internetthings.com)
2024-10-11 12:22:16

@Malissa but you can extrapolate the actually leads collected and use standard conversion rates to see that we collected too many leads for this campaign. It’s not about the contracts daily, it’s about the total leads being worked and overall conversion rates. @Andy Rogers

πŸ‘ Malissa, Greg Owen
Malissa (malissa@shield-legal.com)
2024-10-11 12:24:09

@Cameron Rentch definitely a vital step to have in the SOP, especially with smaller campaigns. Perhaps 50% should be more of an alert going forward than 75 or even 70, depending on all factors.

Malissa (malissa@shield-legal.com)
2024-10-11 12:24:45

great learning point!

Malissa (malissa@shield-legal.com)
2024-10-11 12:26:36

i'll work to figure out a way to quickly see conversion rates so we know if we should stop leads at 50% or something higher (or even lower).

Cameron Rentch (cameron@internetthings.com)
2024-10-11 12:27:16

Use the customer dash. Really easy. Shows leads daily, total leads and total signed.

πŸ‘ Greg Owen
Malissa (malissa@shield-legal.com)
2024-10-11 12:28:07

@Cameron Rentch i just pulled that up and saw leads right there. πŸ™‚

Cameron Rentch (cameron@internetthings.com)
2024-10-11 12:28:19

All good

Malissa (malissa@shield-legal.com)
2024-10-15 11:42:37

@Cameron Rentch we received payment from Eric Nielsen to add more leads to his CA Juv Hall campaign with Miller. Can we reinstate that retainer and turn LP on for it? It should be an additional 20 signups.

Cameron Rentch (cameron@internetthings.com)
2024-10-15 13:15:31

ok @Malissa

Cameron Rentch (cameron@internetthings.com)
2024-10-15 13:15:38

I will this week

πŸ‘ Malissa
Malissa (malissa@shield-legal.com)
2024-10-15 13:15:46

Thank you @Cameron Rentch!

Malissa (malissa@shield-legal.com)
2024-10-18 12:52:54

@Cameron Rentch we received funds to turn this campaign back on: Firefighting Foam - Bailey Glasser/Bowersox (TIP) - Contract

$250k received. It's still paused.

Cameron Rentch (cameron@internetthings.com)
2024-10-18 17:19:15

@Malissa I understand but is this the same one that @Andy Rogers just submitted which requires a NEW retainer agreement?

Malissa (malissa@shield-legal.com)
2024-10-18 17:20:15

@Cameron Rentch The new AFFF is with ELG, not just BG. so we will need a new retainer.

Cameron Rentch (cameron@internetthings.com)
2024-10-18 17:20:59

@Malissa I read it as ELG BG Bowersox.

Cameron Rentch (cameron@internetthings.com)
2024-10-18 17:21:05

@Andy Rogers help please

Andy Rogers (andy@shield-legal.com)
2024-10-18 17:21:22

I am calling Malissa now

Cameron Rentch (cameron@internetthings.com)
2024-10-18 17:25:12

Thanks

Andy Rogers (andy@shield-legal.com)
2024-10-18 17:26:37

@Malissa @Cameron Rentch

Here is what we need:

  1. Bowersox needs a new retainer agreement for AFFF with BG & ELG
  2. Jon and Todd have approved we can run his New Hampshire campaign
  3. We can also run the New Jersey campaign. The two SA campaigns are with BG
πŸ‘ Greg Owen, Malissa
Greg Owen (gregowen@shield-legal.com)
2024-10-18 17:29:06

@Andy Rogers @Cameron Rentch NJ is live it just needs LP turned on. NH hasn't been set up yet, we do have the retainer in Copper for it.

Malissa (malissa@shield-legal.com)
2024-10-18 17:32:04

^NH is in testing.

Greg Owen (gregowen@shield-legal.com)
2024-10-21 11:41:22

@Cameron Rentch @Andy Rogers we are at 80% for Bay Point - Bard Power Port. We have enough funds, at current pricing for 30 more signups. Conversion rate is 18%, and we are averaging 15 signups a week since the start of the campaign.

Cameron Rentch (cameron@internetthings.com)
2024-10-21 12:46:57

thank you @Greg Owen

Cameron Rentch (cameron@internetthings.com)
2024-10-23 15:45:22

@Andy Rogers @Malissa do we have the updated retainer for Bowersox/ELG/BG AFFF?

Andy Rogers (andy@shield-legal.com)
2024-10-23 15:46:12

@Cameron Rentch nope but I have been told three times already today that they are getting it to me

Cameron Rentch (cameron@internetthings.com)
2024-10-23 15:46:32

ok Bowersox NH and NJ are both active now

πŸ‘ Malissa, Greg Owen
Greg Owen (gregowen@shield-legal.com)
2024-10-25 12:56:14

@Andy Rogers @Cameron Rentch William Mattar responded to the LA County email. He would like to pause his campaign till after the election.

Malissa (malissa@shield-legal.com)
2024-10-25 13:05:59

@Andy Rogers @Cameron Rentch I just spoke with Rachel Kugel. She's going to check in with the Miller team for their opinion since she's new to the campaign and will get back to us in about 20 minutes

πŸ‘Œ Cameron Rentch
Malissa (malissa@shield-legal.com)
2024-10-25 13:16:49

@Cameron Rentch @Andy Rogers Rachel Kugel texted me that she would like to pause until the 6th.

Greg Owen (gregowen@shield-legal.com)
2024-10-25 13:36:06

@Cameron Rentch @Andy Rogers Robert Woods would like to keep his LA County campaign going. We are just waiting to hear back from Jim Onder and Dina Joseph now.

Cameron Rentch (cameron@internetthings.com)
2024-10-25 14:05:35

ok

Malissa (malissa@shield-legal.com)
2024-10-25 15:20:06

@Cameron Rentch - LA County Juv Hall - ACTS/Laba/Forman. We're getting everything together to re-start the campaign but we have two retainers. Do you know which one should be used? (basically the word file or the pdf)

Cameron Rentch (cameron@internetthings.com)
2024-10-25 15:21:27

@Andy Rogers circulate these to Doug, Ron and Ted to make sure we have the most updated accurate retainer

Greg Owen (gregowen@shield-legal.com)
2024-10-28 12:11:54

@Cameron Rentch @Andy Rogers We are at 76% (267/350) for Depo Provera. Conversion rate is 18.3% and we have 1187 unconverted leads

Malissa (malissa@shield-legal.com)
2024-10-28 12:32:20

@Cameron Rentch @Andy Rogers to add a little color - last week we averaged about 38 a day. This weekend was a little slow but we already have 12 this morning.

Cameron Rentch (cameron@internetthings.com)
2024-10-28 13:10:10

we have more budget with Crump/Napoli...

πŸ‘ Malissa
Malissa (malissa@shield-legal.com)
2024-10-28 13:10:48

so don't panic. got it.

Malissa (malissa@shield-legal.com)
2024-10-29 12:35:34

@Cameron Rentch we're at 95% of the original cap for Depo Provera. Do you want me to go ahead and increase it?

Cameron Rentch (cameron@internetthings.com)
2024-10-29 12:43:25

increase another 400

πŸ‘ Malissa
Andy Rogers (andy@shield-legal.com)
2024-11-01 11:41:50

@Greg Owen @Malissa please keep Cameron up on anything today. I am at a conference and will have limited availability but we cannot let anything go unwatched

πŸ‘ Greg Owen, Malissa
Malissa (malissa@shield-legal.com)
2024-11-04 11:06:44

@Cameron Rentch @Andy Rogers I've received the updated retainer for Bowersox/ELG/BG AFFF. I received this from Jonathan Sharp this morning.

Malissa (malissa@shield-legal.com)
2024-11-06 10:47:01

@Cameron Rentch @Andy Rogers we are at 7 signed contracts for LegaFi NEC this morning. Cap is 12. Should we increase the cap? Will LegaFi add more $$?

Andy Rogers (andy@shield-legal.com)
2024-11-06 10:47:44

@here I am waiting for them to get back to me now

Malissa (malissa@shield-legal.com)
2024-11-06 10:47:51

thank you!

Andy Rogers (andy@shield-legal.com)
2024-11-06 10:52:46

@Malissa @Cameron Rentch @Greg Owen you can increase the cap from 12 to 25 and send them another invoice for $100k.

BTW, this is perfect execution on how this should work. Thank you

πŸ‘ Greg Owen
❀️ Malissa
Malissa (malissa@shield-legal.com)
2024-11-06 10:53:34

Practice makes perfect!

Malissa (malissa@shield-legal.com)
2024-11-06 10:53:43

Thanks Andy. I'll get that invoice out to them ASAP

Malissa (malissa@shield-legal.com)
2024-11-07 07:27:18

Good morning @Cameron Rentch and @Andy Rogers I just got a text from Kugel Law. She would like to restart her campaign now that the election is over.

Cameron Rentch (cameron@internetthings.com)
2024-11-07 09:30:34

@Andy Rogers you may want to give her a call^

Greg Owen (gregowen@shield-legal.com)
2024-11-07 10:09:37

@Andy Rogers @Cameron Rentch we are at 60% for VAM/ELG/Meadow - AFFF. 8 more signups to go. Cap is 20.

Andy Rogers (andy@shield-legal.com)
2024-11-07 10:10:45

Move the cap to 30 and send her an invoice for $75,000

βœ… Malissa
Malissa (malissa@shield-legal.com)
2024-11-07 10:20:17

@Andy Rogers you mean Art at VAM right? Well, Art and Kathy.

Malissa (malissa@shield-legal.com)
2024-11-07 10:20:24

You said "her" so i had to ask.

Andy Rogers (andy@shield-legal.com)
2024-11-07 10:20:39

Yes

Malissa (malissa@shield-legal.com)
2024-11-07 10:20:57

on it

Greg Owen (gregowen@shield-legal.com)
2024-11-08 16:05:43

@Andy Rogers @Cameron Rentch We are at 70% for VAM Law/ELG/Meadow - AFFF. We have 9 more signups to go to reach cap of 30

Greg Owen (gregowen@shield-legal.com)
2024-11-10 17:14:24

@Andy Rogers @Cameron Rentch We are at cap for Kugel/Miller - CA Juv Hall. Should we pull the retainer or keep in for additional signups?

Andy Rogers (andy@shield-legal.com)
2024-11-10 17:15:02

Pull

πŸ‘ Greg Owen
Cameron Rentch (cameron@internetthings.com)
2024-11-10 17:19:39

Pull asap pls

πŸ‘ Greg Owen
Cameron Rentch (cameron@internetthings.com)
2024-11-11 10:28:43

@Andy Rogers @Malissa @Greg Owen please carefully check your Juv hall clients BUDGETS, not CAPS, as the costs are all over the place. I think we went over on Kugel budget, and we may be at or over on Miller Onder.

Malissa (malissa@shield-legal.com)
2024-11-11 10:29:11

We are over on Levinson TC

Malissa (malissa@shield-legal.com)
2024-11-11 10:29:44

we are working on the budgets now

Cameron Rentch (cameron@internetthings.com)
2024-11-11 11:02:28

that is uncapped

❀️ Malissa
Cameron Rentch (cameron@internetthings.com)
2024-11-11 11:02:32

@Malissa

Cameron Rentch (cameron@internetthings.com)
2024-11-11 11:02:49

add another 250k to budget

Malissa (malissa@shield-legal.com)
2024-11-11 11:03:40

Thanks @Cameron Rentch! I'll make a note that it's uncapped. I'll just give you a heads up if the budget is getting low

πŸ™Œ Cameron Rentch
Greg Owen (gregowen@shield-legal.com)
2024-11-11 11:48:01

@Andy Rogers @Cameron Rentch We are at cap for Onder/Miller - LA County Juv Hall. Should we pull the retainer or keep open?

Cameron Rentch (cameron@internetthings.com)
2024-11-11 12:25:14

pull retainer @Greg Owen move any open leads to from Onder Miller and Kugel Miller to an open Miller campaign

πŸ‘ Greg Owen
Andy Rogers (andy@shield-legal.com)
2024-11-12 09:42:32

@Cameron Rentch @Greg Owen @Malissa just spoke with Eric Nielson, they are okay with us spending their remaining $150k on LA. They understand the pricing

Please confirm once this is started up again

Greg Owen (gregowen@shield-legal.com)
2024-11-12 11:14:24

@Andy Rogers retainer for Miller/Nielsen is back in and campaign is open.

Malissa (malissa@shield-legal.com)
2024-11-12 14:53:52

@Andy Rogers Received $100K from LegaFi

Greg Owen (gregowen@shield-legal.com)
2024-11-13 10:13:44

@Cameron Rentch @Andy Rogers We are at 80% for Bay Point - IL Juv Hall. 7 more signups until cap (27/34).

πŸ™Œ Cameron Rentch
Cameron Rentch (cameron@internetthings.com)
2024-11-13 12:19:26

@Greg Owen @Andy Rogers @Malissa Watch ACTS Banfashe, they have 2 signed this am

πŸ‘ Malissa, Greg Owen
Greg Owen (gregowen@shield-legal.com)
2024-11-13 18:51:54

@Cameron Rentch @Andy Rogers Quick update: Van/Miller – CA Juv, 2 more signups to go. LP is currently on and we have 198 unconverted leads Banafshe/ACTS – CA Juv, 1 more sign up and LP is currently off Nielsen/Miller – CA Juv, 5 more sign up. LP is on and we have 164 unconverted leads. Bay Point – IL Juv Hall is at 80% (27/34). Only 8 unconverted leads. Crump/Napoli -Depo is at 80%, 79 more signups to cap with 3000 leads still.

πŸ™Œ Cameron Rentch
Greg Owen (gregowen@shield-legal.com)
2024-11-13 19:32:02

@Andy Rogers @Cameron Rentch we are now at cap for Banafshe - CA. Pulling the retianer.

Cameron Rentch (cameron@internetthings.com)
2024-11-13 19:32:38

@Greg Owen great pausing traffic now for Van Miller Banfashe

Cameron Rentch (cameron@internetthings.com)
2024-11-14 15:32:16

@Malissa @Greg Owen @Andy Rogers do you show Illinois Abuse budget cap open for BG Walsh? I think we have ample budget remaining there.

Malissa (malissa@shield-legal.com)
2024-11-14 15:34:04

@Cameron Rentch budget was 400k and they hit cap. Actually over by $9300

Cameron Rentch (cameron@internetthings.com)
2024-11-14 15:34:46

@Andy Rogers is this accurate? I thought you told me they still had budget here?

Andy Rogers (andy@shield-legal.com)
2024-11-14 15:35:21

Checking now

Malissa (malissa@shield-legal.com)
2024-11-14 15:35:58

There is 190k left in Maryland fyi

Andy Rogers (andy@shield-legal.com)
2024-11-14 15:36:15

That’s right/ we need to move that over.

πŸ‘ Malissa
Malissa (malissa@shield-legal.com)
2024-11-14 15:36:37

All of it and close maryland @Andy Rogers?

Andy Rogers (andy@shield-legal.com)
2024-11-14 15:37:10

Yes, but wait for Cameron

πŸ‘ Malissa
Greg Owen (gregowen@shield-legal.com)
2024-11-14 15:38:47

Walsh MD has about $180k remaining

πŸ‘ Malissa
Malissa (malissa@shield-legal.com)
2024-11-14 15:39:31

PvS might not have updated yet. I'll have Ryan do a resync just in case

Cameron Rentch (cameron@internetthings.com)
2024-11-14 15:41:47

All good just trying to figure out what has been going on. Has BG Walsh Illinois retainer been pulled for a while?

Also reminder to please deduct the overage from prior Illinois campaign so their remaining budget is active

Greg Owen (gregowen@shield-legal.com)
2024-11-14 15:42:21

Yes, that retainer was pulled in August @Cameron Rentch

Greg Owen (gregowen@shield-legal.com)
2024-11-14 16:03:59

@Cameron Rentch @Andy Rogers remaining budget ($180,225) for Walsh - MD has been moved to Walsh - IL. Retainer for Walsh - IL has been put back in for additional signups and retainer for Walsh - MD has been pulled

Andy Rogers (andy@shield-legal.com)
2024-11-14 16:30:45

@Malissa @Greg Owen I need a report at the end of the day for LegaFi. Please send me all of the data on their NEC campaign. Put in a pivot table. Send excel file to my email.

Greg Owen (gregowen@shield-legal.com)
2024-11-14 16:37:29

@Andy Rogers we will get you that at EOD

Cameron Rentch (cameron@internetthings.com)
2024-11-15 10:16:14

@Malissa @Greg Owen @Andy Rogers I need to know ALL Miller campaigns and ACTS campaigns that are at CAP. Need this IMMEDIATELY. For Juv Hall abuse

Cameron Rentch (cameron@internetthings.com)
2024-11-15 10:16:18

CA

πŸ‘ Greg Owen
Greg Owen (gregowen@shield-legal.com)
2024-11-15 10:27:36

@Cameron Rentch Here are the CA Juv Hall campaigns that are at cap:

ACTS/Forman Miller/Nielsen Miller/Onder Miller/DK Law

Andy Rogers (andy@shield-legal.com)
2024-11-15 10:29:05

@Greg Owen Have you let Cameron know on the ones that have recently agreed to let us finish their budget? Like Goldenfrab?

Malissa (malissa@shield-legal.com)
2024-11-15 10:31:31

Goldenfarb and Kugel both would like for us to keep going. Kugel has one left and is willing to pay extra if the price is a little high for it. She has $12,500 left.

Greg Owen (gregowen@shield-legal.com)
2024-11-15 16:08:22

@Andy Rogers @Cameron Rentch We are at 75% for LegaFi - NEC (18/24). We have 152 leads and are converting 12%

Andy Rogers (andy@shield-legal.com)
2024-11-15 16:09:15

We might need to slow that down Cameron. They want to talk again with me next week about continuing

Greg Owen (gregowen@shield-legal.com)
2024-11-15 16:42:39

@Andy Rogers @Cameron Rentch We are now at cap for Miller/Woods - CA Juv Hall. Pulling retainer

Cameron Rentch (cameron@internetthings.com)
2024-11-15 17:31:20

@Andy Rogers I will pause their traffic for now

Cameron Rentch (cameron@internetthings.com)
2024-11-15 17:31:25

on NEC

Greg Owen (gregowen@shield-legal.com)
2024-11-21 11:00:00

@Cameron Rentch @Andy Rogers We are at 72% (24/33) for BG/Bowersox/ELG - AFFF. We currently have 285 unconverted leads.

Cameron Rentch (cameron@internetthings.com)
2024-11-21 11:00:54

great @Greg Owen I will pause traffic for this

Greg Owen (gregowen@shield-legal.com)
2024-11-21 11:43:22

@Cameron Rentch @Andy Rogers we are at 80% (105/129) for BG/Meirowitz - IL Juv Hall. We have 196 unconverted leads.

Cameron Rentch (cameron@internetthings.com)
2024-11-21 11:44:01

@Greg Owen thanks I will pause traffic

Malissa (malissa@shield-legal.com)
2024-11-21 15:13:24

@Cameron Rentch we've gone negative in the budget for NEC DL/Flatirons. (-$13,500). Should i add more to this budget?

Malissa (malissa@shield-legal.com)
2024-11-21 15:14:42

also, @Cameron Rentch, we're at 97% for Chowchilla - ACTS/DL/Flatirons. Should we add more to this this budget?

Cameron Rentch (cameron@internetthings.com)
2024-11-21 15:33:18

@Malissa increase budget on all, 150K NEC, 250K chowchilla

🫑 Malissa
Cameron Rentch (cameron@internetthings.com)
2024-11-21 15:33:27

pull from positive budgets

Malissa (malissa@shield-legal.com)
2024-11-25 10:37:11

hey @Andy Rogers re Sandra's email. Brian announced that we got the funds to restart Illinois in a private chat but it might have been missed? Greg and I were talking and we're wondering if a new retainer is needed. Happy to check with Jon to see if it needs an update.

Andy Rogers (andy@shield-legal.com)
2024-11-26 11:55:17

@Cameron Rentch @Malissa @Greg Owen We sent out invoices for $200,000 for VGA to Alystock and Grombacher. Please see below and ensure the criteria is updated to match:

As we discussed let’s do another campaign ASAP. Hopefully they will come in at or maybe lower than before but let’s keep it monitored and have regular discussions. 200k total – split 50/50 with BG – same deal as before and you can use the same contracts and everything but revised Marketing criteria below:

β€’ Did you or your or your child start gaming before the age of 18 (Y/N) if N disqualify β€’ Did you or your child play video games for at least 2 hours a day for a minimum of 5 weeks (Y/N) if N disqualify β€’ Were you or your child diagnosed with video game addiction or develop symptoms of video game addiction disorder β€’ Symptoms include: ADHD/ADD, ODD (Oppositional Defiant Disorder), Gamers Rage and/or Gamers Withdrawal, physical therapy or treatment for hypertension, carpal tunnel, gamers thumb, computer vision loss, Computer Vision Syndrome, trigger finger, De Quervain’s Tenosynovitis, seizures, tennis elbow, neck sprain/herniation, Changes in CT/MRI brain scans, depression, anxiety, panic disorder, or social phobia, Homeschooling due to gaming issues, College dropout due to gaming issues, high school dropout to gaming issues, Anti-social disorder, Attempted suicide (Y/N) if N to all disqualify

Greg Owen (gregowen@shield-legal.com)
2024-11-26 11:58:48

@here "BG" mentioned above is Bradley Grombacher NOT Bailey Glasser

Cameron Rentch (cameron@internetthings.com)
2024-11-26 12:18:06

@Andy Rogers what is age cut off - I need to know what the requirement is for β€œcurrent age” that is accepted.

Also what specific games are accepted

Andy Rogers (andy@shield-legal.com)
2024-11-26 12:29:39

@Cameron Rentch @Malissa @Greg Owen I just spoke with Bryan, he said cut-off age is 25. Games accepted are Roblex, Fortnight and Minecraft

Malissa (malissa@shield-legal.com)
2024-11-26 12:47:05

@Andy Rogers @Cameron Rentch both Kathy and VAM law and Sandra and Van law are looking for updates on the New Hampshire campaigns. (Van is looking for Illinois as well). Is there a particular reply we should use since traffic is what’s causing a delay?

Malissa (malissa@shield-legal.com)
2024-12-02 12:12:25

@Cameron Rentch @Andy Rogers just FYI. Kathy @ VAM law is looking for a status update on their NH campaign. Is that going live this week?

Cameron Rentch (cameron@internetthings.com)
2024-12-02 12:29:11

yes this week.

Malissa (malissa@shield-legal.com)
2024-12-02 12:29:37

thank you @Cameron Rentch!

Cameron Rentch (cameron@internetthings.com)
2024-12-02 12:30:24

@Andy Rogers @Malissa @Greg Owen let's meet earlier, we can do in conf room where I am sitting,bring Mark Maniora too. How is 1130am for everyone?

Malissa (malissa@shield-legal.com)
2024-12-02 12:30:35

works for me

Andy Rogers (andy@shield-legal.com)
2024-12-02 12:31:11

i have a noon appointment

Cameron Rentch (cameron@internetthings.com)
2024-12-02 12:31:41

1130, we will be done by noon

Andy Rogers (andy@shield-legal.com)
2024-12-02 12:31:55

@Cameron Rentch @Malissa @Greg Owen Perfect. Do you wnat to meet in my office?

Greg Owen (gregowen@shield-legal.com)
2024-12-02 12:34:17

Works for me also

Greg Owen (gregowen@shield-legal.com)
2024-12-02 12:34:33

Mark is available also

Cameron Rentch (cameron@internetthings.com)
2024-12-02 12:44:08

cool

Malissa (malissa@shield-legal.com)
2024-12-02 17:15:48

@Andy Rogers @Cameron Rentch I just wanted to check in with both of you regarding PA - Ghozland. It's still paused and we have $$ waiting for it to start

Cameron Rentch (cameron@internetthings.com)
2024-12-03 10:32:54

@Malissa activated in leadpedia

πŸ‘ Malissa
Malissa (malissa@shield-legal.com)
2024-12-03 10:38:04

Thank you @Cameron Rentch!

πŸ™Œ Cameron Rentch
Greg Owen (gregowen@shield-legal.com)
2024-12-03 17:37:47

@Cameron Rentch Here is the criteria for VGA - AWKO/Grombacher: Cut-off age is 25. Games accepted are Roblox, Fortnite and Minecraft

Cameron Rentch (cameron@internetthings.com)
2024-12-03 18:03:08

@Greg Owen ok @Malissa can you please get the details from @Andy Rogers and repost as new order with EAXCT complete criteria?

Malissa (malissa@shield-legal.com)
2024-12-03 18:18:15

@Cameron Rentch do you want me to post for set up in leadspedia as well?

Cameron Rentch (cameron@internetthings.com)
2024-12-03 18:28:56

yes please @Malissa

πŸ‘ Malissa
Andy Rogers (andy@shield-legal.com)
2024-12-05 11:07:00

@Cameron Rentch ALERT ALERT: From Bryan Alystock they just found out that they cannot mention Microsoft or Minecraft in the adds. We can take the cases just can’t name in the ads. Also they need to collect all gamer tags if known please

πŸ™Œ Cameron Rentch
Malissa (malissa@shield-legal.com)
2024-12-05 11:36:29

I'll add a note to the setup post that gamer tags should be collected if known.

Malissa (malissa@shield-legal.com)
2024-12-05 16:43:39

@Cameron Rentch We've been pending the OK to start NEC - AWD/Wagstaff. Is that ok to start now? We've got the funds and everything should be ready to start. If the $ needs to be moved to Paraquat no problem.

Cameron Rentch (cameron@internetthings.com)
2024-12-05 18:24:57

@Malissa we refunded the wagstaff NEC and you can cancel that order. @Andy Rogers note for commission deduction^

Cameron Rentch (cameron@internetthings.com)
2024-12-05 18:25:19

we sent them the wire back yesterday. Please update pad vs spent

Malissa (malissa@shield-legal.com)
2024-12-05 18:41:27

Will do!

Malissa (malissa@shield-legal.com)
2024-12-05 18:41:40

Thank you @Cameron Rentch

Malissa (malissa@shield-legal.com)
2024-12-06 11:28:57

@Cameron Rentch We are at cap for Chowchilla - ACTS/DL/Flatirons. Would you like for me to increase the cap?

Malissa (malissa@shield-legal.com)
2024-12-06 11:30:13

also @Cameron Rentch, we are negative in the PvS report for NEC Baby Formula - DL/Flatirons. Let me know how you'd like to handle.

Cameron Rentch (cameron@internetthings.com)
2024-12-06 11:32:34

increase cap @Malissa on both, move funds from positive campaigns

πŸ‘ Malissa
Malissa (malissa@shield-legal.com)
2024-12-06 11:34:10

Thank you @Cameron Rentch

Andy Rogers (andy@shield-legal.com)
2024-12-10 10:24:23

@Malissa @Cameron Rentch @Greg Owen Malissa, I just spoke with Bryan Aylstock, can you please connect with the firm and they will send you a copy of the Florida only retainer if you do not already have that. Once you have it PLEASE get that to Cameron right away.

Cam I will send you a separate Slack with this as well. For the advertising you can use Kiley’s firm.

Bradley/Grombacher LLP, 31365 Oak Crest Dr. Suite 240 Westlake Village, CA91361

πŸ‘ Malissa
Malissa (malissa@shield-legal.com)
2024-12-10 10:40:13

@Andy Rogers I'll reach out. I've only got non-Florida.

Malissa (malissa@shield-legal.com)
2024-12-10 10:41:29

and @Andy Rogers just to confirm, we're doing Florida AND non-Florida for VGA 2, right?

Andy Rogers (andy@shield-legal.com)
2024-12-10 10:48:43

@Cameron Rentch @Greg Owen @Malissa Attached is the criteria for the Button Battery Campaign.

Cameron Rentch (cameron@internetthings.com)
2024-12-10 12:06:57

@Andy Rogers get me the intake questionnaire, please from LANIER.

Malissa (malissa@shield-legal.com)
2024-12-10 12:15:55

@Andy Rogers @Cameron Rentch attached are the updated retainer packets for AWKO/Bradley Grombacher VGA2. Florida and Non-Florida

Greg Owen (gregowen@shield-legal.com)
2024-12-11 10:16:50

@Cameron Rentch @Andy Rogers We are at 80% for Nations/Van - AFFF. 109/133, and we have 1006 unconverted leads.

Malissa (malissa@shield-legal.com)
2024-12-11 12:26:38

@Cameron Rentch Ozempic - Levin Papantonio is over cap and has been for a bit. We got a sign up yesterday from an older lead. I did some digging and it looks like it didn't get pulled. Do you want us to pull the retainer and issue an invoice for the overage?

Cameron Rentch (cameron@internetthings.com)
2024-12-11 12:27:15

@Malissa pull retainer please

βœ… Malissa
Cameron Rentch (cameron@internetthings.com)
2024-12-12 09:57:48

@Malissa @Andy Rogers @Greg Owen please check Legafi NEC, I think they are very close to being over

Greg Owen (gregowen@shield-legal.com)
2024-12-12 10:02:43

@Cameron Rentch keeping an eye on them, we are 2 away from cap

Cameron Rentch (cameron@internetthings.com)
2024-12-12 10:03:10

reminder though we have too many leads and I am pausing traffic now

Malissa (malissa@shield-legal.com)
2024-12-12 10:21:38

@Cameron Rentch @Andy Rogers Below is the corrected information for the ELG/Bowersox AFFF campaign: Remove BG! Updated Campaign: Campaign - Firefighting Foam Firm - Bowersox/ELG Cap - 33 ELG - AFFF and PFAS qualifiers are attached with a separate worksheet for each.

Bowersox distro AFFFIntake@elglaw.com Shield distro

Corrected retainer attached.

Cameron Rentch (cameron@internetthings.com)
2024-12-12 10:22:39

@Malissa get with Mark Maniora and Tony, personally. Likely this campaign needs to be rebuild and moved from BG in leadspedia. I am away from computer for few hours so you all have to handle it.

Cameron Rentch (cameron@internetthings.com)
2024-12-12 10:22:51

make sure Mark pauses current traffic asap

Malissa (malissa@shield-legal.com)
2024-12-12 10:22:54

you got it @Cameron Rentch!

Malissa (malissa@shield-legal.com)
2024-12-12 11:03:16

@Cameron Rentch I've spoken with Tony, Mark and Anthony. We will need to rebuild in order to remove BG. I can send everything to the Call Center channel if that's ok to get the setup done right away. Anthony said it won't be an issue having the corrected retainers signed by current signups.

Cameron Rentch (cameron@internetthings.com)
2024-12-12 11:17:08

Yes pls

πŸ‘ Malissa
Greg Owen (gregowen@shield-legal.com)
2024-12-12 11:21:57

@Cameron Rentch We are at 80% for Bay Point - Bard Power Port, 220/270. We have 1,040 unconverted leads.

Andy Rogers (andy@shield-legal.com)
2024-12-12 11:31:55

@Cameron Rentch @Greg Owen @Malissa LegaFi is sending anther $50,000. Please do NOT pause their NEC campaign

Malissa (malissa@shield-legal.com)
2024-12-12 11:34:31

working on their invoice now @Andy Rogers

Greg Owen (gregowen@shield-legal.com)
2024-12-13 16:02:32

@Cameron Rentch @Andy Rogers We are at 50% (10/20) for Walsh - IL Foster Care already. We have 71 unconverted leads right now going into the weekend.

Greg Owen (gregowen@shield-legal.com)
2024-12-16 10:36:43

@Cameron Rentch @Andy Rogers We are now at 75% (15/20) for Walsh - IL Foster Care. We have 120 unconverted leads.

Greg Owen (gregowen@shield-legal.com)
2024-12-16 15:24:49

@Cameron Rentch @Andy Rogers We are at 85% for Nations/Van - AFFF. We have 1228 unconverted leads.

Cameron Rentch (cameron@internetthings.com)
2024-12-16 15:39:21

I will pause traffic on Nations/Van AFF

Greg Owen (gregowen@shield-legal.com)
2024-12-17 10:09:02

@Andy Rogers @Cameron Rentch We are at 80% for BG/Walsh - IL Foster Care. This is with the new cap you gave me yesterday. We can do 7 more signups (28/35). We have 110 unconverted leads.

Greg Owen (gregowen@shield-legal.com)
2024-12-17 13:32:38

@Cameron Rentch @Andy Rogers we are at cap for BG/Walsh - IL Foster Care (35/35). Should we pull the retainer or keep open for additional signups?

Malissa (malissa@shield-legal.com)
2024-12-17 14:21:44

@Cameron Rentch @Andy Rogers ^ reminder

Greg Owen (gregowen@shield-legal.com)
2024-12-18 10:08:50

@Cameron Rentch @Andy Rogers We are at 75% for Nations/Van/Liu - AFFF. 10/13. We have 60 unconverted leads.

Malissa (malissa@shield-legal.com)
2024-12-18 10:42:35

@Cameron Rentch We are now over cap for BG/Walsh - IL Foster Care. Should we add more to the cap or pull the retainer?

Cameron Rentch (cameron@internetthings.com)
2024-12-18 11:12:49

add more for now we are pausing soon

Greg Owen (gregowen@shield-legal.com)
2024-12-18 13:35:36

@Cameron Rentch @Andy Rogers We are at cap for Nations/Van/Liu. Should we pull the retainer or keep in for additional signups?

Malissa (malissa@shield-legal.com)
2024-12-18 17:09:34

@here $137500 received from DLA for IL Juv Hall. I've also received their retainer. I just need a cost per. The last one i have for anything Il Juv Hall is 7500

Cameron Rentch (cameron@internetthings.com)
2024-12-18 19:25:18

awesome

Greg Owen (gregowen@shield-legal.com)
2024-12-19 10:30:03

@Cameron Rentch We are at cap for Nations/Van/Liu. Should we pull the retainer or keep in for additional signups?

Andy Rogers (andy@shield-legal.com)
2024-12-19 11:44:57

@Greg Owen please make sure that Nations/Van /Lui does not go over

πŸ‘ Greg Owen
Malissa (malissa@shield-legal.com)
2024-12-19 11:51:42

@Andy Rogers retainer pulled. We did go over by 3. We sent the alert yesterday that we were at cap per current process. Could we update that process to where Greg and I can pull the retainer if we're at cap and we haven't received a response after a certain amount of time? @Cameron Rentch

Cameron Rentch (cameron@internetthings.com)
2024-12-19 12:56:46

someone needs to TEXT ME

Cameron Rentch (cameron@internetthings.com)
2024-12-19 12:56:56

@Malissa if you cant get a slack reply

πŸ‘ Malissa
Greg Owen (gregowen@shield-legal.com)
2024-12-19 15:33:24

@Cameron Rentch We are at 90% for Bay Point - Bard Power Port. We can do 26 more signups and have 1,400 unconverted leads.

Cameron Rentch (cameron@internetthings.com)
2024-12-19 15:53:20

thanks @Greg Owen

Greg Owen (gregowen@shield-legal.com)
2024-12-20 10:01:24

@Andy Rogers @Cameron Rentch We are at 85% for AWKO/Bradley/Grombacher - VGA 2. We can do 15 more signups and we have 600 unconverted leads

Cameron Rentch (cameron@internetthings.com)
2024-12-20 12:31:13

@Andy Rogers get $$ ASAP

Cameron Rentch (cameron@internetthings.com)
2024-12-20 17:09:21

@Greg Owen @Andy Rogers @Malissa increase cap more funds coming.

πŸ‘ Malissa, Greg Owen
Cameron Rentch (cameron@internetthings.com)
2024-12-20 17:09:29

AWKO

Greg Owen (gregowen@shield-legal.com)
2024-12-21 14:59:45

@Andy Rogers @Cameron Rentch We are at 80% for AWKO/Bradley/Grombacher - VGA 2. 130/166. This is with the increase in cap and pending funds from yesterday.

Malissa (malissa@shield-legal.com)
2024-12-23 15:11:26

@Cameron Rentch @Andy Rogers We are at 98% for AWKO VGA. Only 4 contracts remain. Should we increase the cap or pause as soon as we hit it? Greg and i think we will hit it today.

Greg Owen (gregowen@shield-legal.com)
2024-12-23 15:36:57

@Andy Rogers @Cameron Rentch We are now at cap for AWKO/Bradley/Grombacher - VGA2. Should we pull the retainer or keep open for additional signups?

Malissa (malissa@shield-legal.com)
2024-12-23 16:19:39

@Cameron Rentch @Andy Rogers ^reminder

Cameron Rentch (cameron@internetthings.com)
2024-12-23 16:53:07

@Andy Rogers see if you can get more budget, please stay ahead of this^^

Andy Rogers (andy@shield-legal.com)
2024-12-23 19:00:41

Is that with the new $100k that they sent last week?

Greg Owen (gregowen@shield-legal.com)
2024-12-23 19:20:04

@Andy Rogers Yes, that is with the increase from Friday.

Malissa (malissa@shield-legal.com)
2024-12-26 13:56:37

@Cameron Rentch do you have a cap/budget for MI Juv Hall Abuse - Dicello/Flatirons? We're at 22 signups

Cameron Rentch (cameron@internetthings.com)
2024-12-26 13:59:02

Increase pls add 100 more

πŸ‘ Malissa
Malissa (malissa@shield-legal.com)
2024-12-26 14:00:42

Thank you, @Cameron Rentch!

Malissa (malissa@shield-legal.com)
2024-12-26 19:30:01

@Andy Rogers @Cameron Rentch just fyi, AWKO VGA got 10 signups from 2pm to 5pm. Leads are paused with 1204 unconverted leads at a 17% conversion rate.

Greg Owen (gregowen@shield-legal.com)
2024-12-27 10:12:07

@Cameron Rentch @Andy Rogers We can do 13 more signups for AWKO - VGA 2. This includes the increase from the invoice that went out this morning.

Malissa (malissa@shield-legal.com)
2024-12-27 10:33:34

@Cameron Rentch @Andy Rogers from Bryan Aylstock: "We also need a different designation for the leads that come in under these last 2 invoices for our own internal accounting. Can you please Make those AWKO/Grombacher 3 or something and make sure you let us know?"

Malissa (malissa@shield-legal.com)
2024-12-30 10:21:36

@here Just following up on that request from Bryan Aylstock ^. Not really sure the best way we can do that since we kept it going. My best guess is maybe give him a lead ID range?

Malissa (malissa@shield-legal.com)
2024-12-30 12:15:26

@Cameron Rentch just FYI - Dublin Correctional Institute Abuse is over her initial budget. We haven't received her $50k yet for the most recent invoice (i'll send a reminder). She would still owe $53,400 as it is right now.

There are (last i checked) 251 unconverted leads.

Cameron Rentch (cameron@internetthings.com)
2024-12-30 12:51:30

@Malissa send her another invoice for 50k, I’ll send her a message.

πŸ‘ Malissa
Cameron Rentch (cameron@internetthings.com)
2024-12-31 10:40:18

@Malissa please send invoice to AWD for Paraquat 450k, 18k per (same details as prior invoice).

βœ… Malissa
Cameron Rentch (cameron@internetthings.com)
2024-12-31 10:40:36

@Andy Rogers Note^ last minute from Casey - he called me early today

Andy Rogers (andy@shield-legal.com)
2024-12-31 10:45:40

*Thread Reply:* @Cameron Rentch thanks. FYI, I set up a call with Matt Doleman and Meadow yesterday. Looks like they are going to do something in SA next week

Malissa (malissa@shield-legal.com)
2024-12-31 10:45:15

@Cameron Rentch did he say when they'd send payment? I can give Brian a heads up

Cameron Rentch (cameron@internetthings.com)
2024-12-31 11:20:54

today likely

πŸ‘ Malissa
Malissa (malissa@shield-legal.com)
2024-12-31 11:29:33

@Cameron Rentch we're 2 away from cap on DL/Flatirons NEC. Do they want to keep that one going?

Cameron Rentch (cameron@internetthings.com)
2024-12-31 11:41:48

increase @Malissa ^

πŸ‘ Malissa
Greg Owen (gregowen@shield-legal.com)
2025-01-02 09:45:53

@Cameron Rentch We are at 80% for Crump/ELG - Michigan Pollution. 170/208 and we have 465 unconverted leads, converting at 27%

πŸ™Œ Cameron Rentch
Malissa (malissa@shield-legal.com)
2025-01-02 10:30:01

@Cameron Rentch Payment received from AWD on Tuesday. Just cleared the bank.

πŸ™Œ Cameron Rentch
Cameron Rentch (cameron@internetthings.com)
2025-01-02 10:33:21

We can increase and send two more invoices @Malissa for Michigan pollution.

Malissa (malissa@shield-legal.com)
2025-01-02 10:34:50

@Cameron Rentch same amount as previous invoices? (125,000 each)

Cameron Rentch (cameron@internetthings.com)
2025-01-02 10:34:58

Yes please

πŸ‘ Malissa
Cameron Rentch (cameron@internetthings.com)
2025-01-03 14:11:51

@Malissa @Andy Rogers send invoices to ELG and Crump , each for 200K

ETO Wood Pellet Testing Budgets

πŸ‘ Malissa
Greg Owen (gregowen@shield-legal.com)
2025-01-06 19:08:27

@Cameron Rentch @Andy Rogers we are at cap for Bay Point/Simmons - Bard Power Port. Should we pull the retainer and transfer leads, or keep it open for additional signups?

Cameron Rentch (cameron@internetthings.com)
2025-01-07 15:41:22

@Greg Owen I will check asap

Malissa (malissa@shield-legal.com)
2025-01-07 15:52:39

@Cameron Rentch Have you heard anything from the Pride Law Firm? The Dublin campaign is hot but it's definitely over budget and we haven't gotten a payment from her. I'm happy to send her another invoice and she has $100,000 in invoices that haven't been paid. It's over by a total of $235,400

Greg Owen (gregowen@shield-legal.com)
2025-01-07 15:56:46

@Cameron Rentch @Andy Rogers BG/Bay Point - IL Juv Hall is at 80% (60/74). We have 105 unconverted leads.

Cameron Rentch (cameron@internetthings.com)
2025-01-07 16:33:07

@Greg Owen can you please ask Mark Maniora to pause in leadspedia^

πŸ‘ Greg Owen
Malissa (malissa@shield-legal.com)
2025-01-09 10:57:32

@Cameron Rentch @Andy Rogers @Greg Owen $200,000 received from Ben Crump for Wood Pellets.

Malissa (malissa@shield-legal.com)
2025-01-09 10:58:40

$125000 received from Ben Crump for MI Pollution

Cameron Rentch (cameron@internetthings.com)
2025-01-09 11:27:34

great^ @Andy Rogers get Cades $

Greg Owen (gregowen@shield-legal.com)
2025-01-09 15:58:25

@Cameron Rentch @Andy Rogers We are at cap for AWKO/Bradley/Grombacher - VGA2. Should we pull the retainer or keep in for additional signups?

Andy Rogers (andy@shield-legal.com)
2025-01-09 16:00:30

They wont know about more until they come out next week. I believe I communicated that with there last spend. We can continue to work what is out there as they will pay for it but I would ask Cam to stop traffic for them

Cameron Rentch (cameron@internetthings.com)
2025-01-09 21:44:44

Traffic has been off for two weeks @Andy Rogers

Greg Owen (gregowen@shield-legal.com)
2025-01-10 12:04:50

@Cameron Rentch @Andy Rogers we are at 100% to cap on ACTS - Birth Injury. Should we pull the retainer or keep open for additional signups?

Cameron Rentch (cameron@internetthings.com)
2025-01-10 12:09:35

This should not even be active. Please pull the retainer.

πŸ‘ Greg Owen
Greg Owen (gregowen@shield-legal.com)
2025-01-13 12:01:06

@Cameron Rentch @Andy Rogers We are at 100% to cap for BG/Meirowitz - IL Juv Hall. Should we pull the retainer or keep open for additional signups?

Cameron Rentch (cameron@internetthings.com)
2025-01-13 13:21:38

@Greg Owen pull retainer, please pull retainer, transfer open leads to BG DLA.

πŸ‘ Greg Owen
Cameron Rentch (cameron@internetthings.com)
2025-01-14 18:16:25

Nations Ghozland 700k payments 688500 delivered (note gap in July 3 is where we restarted with CMO 28, Ryan never applied the accurate figures). I updated on the sheet in yellow to reflect what is accurate and will have updated in dash https://docs.google.com/spreadsheets/d/1mCLiYbbFkmlSW-2LYpBKcUOLDzcQAx0yUp8FHYoWdgQ/edit?usp=sharing

BG Ghozland 800k payments 791700 delivered https://docs.google.com/spreadsheets/d/1Us9tc8sSW9cMcseS4yBp3T-PWO88H74LQI17gBXC__g/edit?usp=sharing

Ghozland payments Firefoam Ghozland Law Firm Firefoam $ 100,000 8/16/23 Ghozland Law Firm Firefoam $ 100,000 11/21/23 Ghozland Law Firm AFFF $ 300,000 - 1/8/24 Ghozland Law Firm AFFF $ 100,000 - 2/29/24 Ghozland Law Firm Firefoam $ 500,000 5/1/24 Ghozland Law Firm AFFF - Nations $ 200,000 7/19/24 Ghozland Law Firm AFFF - BG $ 200,000 7/19/24 Total AFFF = 1,500,000

BG = 800000, Nations = 700000

Greg Owen (gregowen@shield-legal.com)
2025-01-15 10:14:03

@Cameron Rentch @Andy Rogers We are at cap for Bowersox/ELG - AFFF. Should we pull the retainer or keep in for additional signups?

Andy Rogers (andy@shield-legal.com)
2025-01-15 12:09:35

Please pull

Greg Owen (gregowen@shield-legal.com)
2025-01-17 11:30:58

@Cameron Rentch @Andy Rogers we are at 75% (13/17) for ACTS - LA Wild Fires with 230 unconverted leads.

Cameron Rentch (cameron@internetthings.com)
2025-01-21 12:20:02

@Malissa @Andy Rogers @Greg Owen NOTE we are updating the dashboards today, but we are changing the pricing on Michigan Pollution, so please recalculate the amounts owed. NOTE this was ONLY through end of week last week, look at reprot for last lead date. There will be more signed that affects the numbers.

Current billing 807 x 1200/per = 968,400

Modified billing Diagnosed with injury: 371 x 1200 = 445,200 Property owners ONLY (no injury): 436 x 500 = 218,000

Updated total billing = 663,200

Reporting: https://docs.google.com/spreadsheets/d/1N2gX9K2DBf6DCz95AXhLq6SXHwg4bCjSpSR7JERG93g/edit?gid=1445846191#gid=1445846191

Once dash is updated:

  1. Update calculations above to reflect accurate amount through current
  2. Prepare reporting and summary of amount owed, DO NOT SEND UNTIL I GIVE GREEN LIGHT
Malissa (malissa@shield-legal.com)
2025-01-21 16:02:06

@Andy Rogers Just got a text from Kathy at VAM asking that i re-send the AFFF invoice for $450k instead. Making sure you spoke to her and if not reminding you lol.

Malissa (malissa@shield-legal.com)
2025-01-21 16:19:39

@Cameron Rentch we are getting low on budget for LA Wildfires - ACTS. The original cap was 33, we're at 18 but we've spent 95% of the budget. Should I send another invoice to ACTS?

Malissa (malissa@shield-legal.com)
2025-01-22 15:04:55

@Cameron Rentch @Andy Rogers - Scott's email. Wagstaff gave us the ok on the integration tests, LawRuler is setup but LP is paused. Can we get LP turned on?

Malissa (malissa@shield-legal.com)
2025-01-22 15:34:01

also @Andy Rogers @Cameron Rentch DLA is asking for all recordings for signed retainers (past and going forward). Have we been asked for that before? Is that an option?

Malissa (malissa@shield-legal.com)
2025-01-22 15:34:18

first time it's come up while i've been here

Cameron Rentch (cameron@internetthings.com)
2025-01-22 15:42:47

@Malissa aren't they getting copies of all retainers? It is not our policy to provide all recorded calls, if there are calls in question, we are happy to provide them and/or if they would like a scheduled audit we can accomodate that. Who is asking?

Cameron Rentch (cameron@internetthings.com)
2025-01-22 15:42:54

@Andy Rogers ^

Malissa (malissa@shield-legal.com)
2025-01-22 15:43:20

I'll forward you both the email.

Malissa (malissa@shield-legal.com)
2025-01-22 15:45:23

and yeah they get the retainers. they want the calls to go with them? i definitely understand if it's a one-off where they talked to someone and they said something completely different than what we got.

Andy Rogers (andy@shield-legal.com)
2025-01-23 15:52:46

@Greg Owen @Malissa @Cameron Rentch can you please confirm for me that Lakin is running for PA? I am getting a lot of heat that they haven’t got a lead in 2 months

Malissa (malissa@shield-legal.com)
2025-01-23 15:56:09

@Andy Rogers they’re live but leadspedia is paused. The team Has worked through existing leads. We just need to turn lp on again to fill

Cameron Rentch (cameron@internetthings.com)
2025-01-23 15:58:30

thanks @Malissa I was waiting for word that existing leads were exhauseted

Andy Rogers (andy@shield-legal.com)
2025-01-23 15:59:26

Thanks team, I will let the firm know

Cameron Rentch (cameron@internetthings.com)
2025-01-23 15:59:49

@Malissa please have Mark M or you turn Lakin on - make sure it is the RIGHT contract

πŸ‘ Malissa
Malissa (malissa@shield-legal.com)
2025-01-23 16:04:24

*Thread Reply:* yeah they either ghosted us or were disqualified.

Malissa (malissa@shield-legal.com)
2025-01-23 16:00:59

@Andy Rogers is it just lakin or lakin-afg? or both?

Andy Rogers (andy@shield-legal.com)
2025-01-23 16:01:28

Please text or call Craig

πŸ‘ Malissa
Malissa (malissa@shield-legal.com)
2025-01-23 16:08:34

@Andy Rogers @Greg Owen @Cameron Rentch Craig says it needs to be both but we CANNOT go over on Lakin/AFG - Levinson.

Andy Rogers (andy@shield-legal.com)
2025-01-23 16:09:13

I think Levinson only had like two left so I am not as concerned about them

πŸ‘ Malissa
Cameron Rentch (cameron@internetthings.com)
2025-01-23 16:44:02

leave levinson off still for now @Malissa

πŸ‘ Malissa
Greg Owen (gregowen@shield-legal.com)
2025-01-29 16:30:37

@Cameron Rentch @Andy Rogers we are at 75% to cap (14/18) for BG/DLA - IL Juv Hall. We have 25 unconverted leads.

Cameron Rentch (cameron@internetthings.com)
2025-01-29 18:22:26

great @Greg Owen I will pause traffic temporarily. @Andy Rogers please get with Eliot, and Derek - sugest you send them reporting and indicate time for anothe payment

Andy Rogers (andy@shield-legal.com)
2025-01-30 08:27:36

@Malissa @Greg Owen @Cameron Rentch Malissa and Greg, please make sure that all of the appropriate people get the following so that we may get these campaigns ready to go once they are funded.

You may use this line for live transfers: for signed clients. All documentation regarding signed clients should go to Intakes@sgghlaw.com. kasia@sgghlaw.com parker@sgghlaw.com mruggiero@counselfinancial.com felicefcallahan@gmail.com

For updates on existing clients please reach out to the following emails:

IL Clergy Team - ILclergy@sgghlaw.com IL YRTC Team - ILYRTC@sgghlaw.com MI YRTC Team - MIYRTC@sgghlaw.com

The retainers and signed docs are attached:

Malissa (malissa@shield-legal.com)
2025-01-30 10:52:00

@Andy Rogers Do they have a HIPAA form that they need completed as well?

Malissa (malissa@shield-legal.com)
2025-01-30 12:36:33

also, @Andy Rogers, what's the rate per?

Andy Rogers (andy@shield-legal.com)
2025-01-30 12:43:32

Please use β€œtest campaign” for pricing

πŸ‘ Malissa
Malissa (malissa@shield-legal.com)
2025-01-30 12:44:36

@Andy Rogers thanks! Last question - is a there a list of facilities?

Andy Rogers (andy@shield-legal.com)
2025-01-30 12:45:16

I sent to Cam.

Malissa (malissa@shield-legal.com)
2025-01-30 15:12:09

@Andy Rogers @Cameron Rentch Can i get the list of facilities for these new campaigns? And any other criteria if we got it? πŸ™‚ The firm is checking on the HIPAA

Cameron Rentch (cameron@internetthings.com)
2025-01-30 16:00:27

@Malissa I will send shortly

Malissa (malissa@shield-legal.com)
2025-01-30 16:03:04

@Cameron Rentch Thank you!

Cameron Rentch (cameron@internetthings.com)
2025-01-30 16:18:38
Malissa (malissa@shield-legal.com)
2025-01-30 16:19:03

thank you @Cameron Rentch

Cameron Rentch (cameron@internetthings.com)
2025-01-30 16:22:14

welcome

Cameron Rentch (cameron@internetthings.com)
2025-01-30 17:23:32

@Malissa we will use our MI Juv intake template for the MI juv abuse campaign with SGGH. Attached is their clergy intake. Note I am trying to get clearly defined criteria with Clergy as there is alot of ambiguity with their current criteria. @Andy Rogers

πŸ‘ Malissa
Malissa (malissa@shield-legal.com)
2025-02-03 12:21:33

*Thread Reply:* @Cameron Rentch did you get clarity on the criteria for this one?

Cameron Rentch (cameron@internetthings.com)
2025-01-30 17:23:49

Here is their Intake questionairre for Clergy

Malissa (malissa@shield-legal.com)
2025-01-30 17:24:49

Thank you! Are we using IL Juv intake for the IL YRTC? @Cameron Rentch

Cameron Rentch (cameron@internetthings.com)
2025-01-30 17:25:04

no we are not

Cameron Rentch (cameron@internetthings.com)
2025-01-30 17:25:10

I am workiong on that too

Malissa (malissa@shield-legal.com)
2025-01-30 17:25:12

gotcha

Malissa (malissa@shield-legal.com)
2025-01-30 17:35:48

Sending MI and Clergy to the call center in a minute @Cameron Rentch

Greg Owen (gregowen@shield-legal.com)
2025-01-30 17:43:48

@Andy Rogers @Cameron Rentch we are at cap for DLA - IL Juv Hall. Should we pull the retainer or keep in for additional signups?

Andy Rogers (andy@shield-legal.com)
2025-01-30 17:44:18

I have been trying to get ahold of them for two days now

Malissa (malissa@shield-legal.com)
2025-01-30 17:51:03

@Cameron Rentch i'll post IL YRTC but note that we're pending the intake.

Malissa (malissa@shield-legal.com)
2025-01-31 11:19:28

@Cameron Rentch @Andy Rogers Anthony has reached out for some clarity one one of the MI intake questions. It's: .

  1. PC sexually abused by staff member, or another resident at the facility (ideally some type of notice)

He's asking what "ideally some type of notice" means. I'm reading that to mean that the PC reported the abuse through an official channel or has something documented. Wanted to make sure I'm correct there. If i need to reach out to the firm to be sure, just let me know.

Cameron Rentch (cameron@internetthings.com)
2025-01-31 13:44:31

@Malissa this is a standard question/requirement -Claimant must have told a counselor, therapist, family member about the abuse

πŸ‘ Malissa
Malissa (malissa@shield-legal.com)
2025-01-31 13:45:25

Got it. Thanks @Cameron Rentch!

πŸ™Œ Cameron Rentch
Cameron Rentch (cameron@internetthings.com)
2025-01-31 16:43:12

@Malissa let Anthony know to use same medical auths that we use with flatirons for meadow w paraquat

Malissa (malissa@shield-legal.com)
2025-01-31 16:52:24

Will do @Cameron Rentch !

Cameron Rentch (cameron@internetthings.com)
2025-02-03 11:28:00

@Malissa please get reporting run for Kuzyk/ACTS Chowchilla Campaign 1 Campaign 2 (RB)

Make sure you demonstrate/summarize budgets used for each campaign, and remaining budgets

In reporting, ALL e-signed ONLY, all fields.

Please cc me on report. I have a meeting with him at 3pm today need this sent ahead of mtg. thank you

πŸ‘ Malissa
Malissa (malissa@shield-legal.com)
2025-02-03 11:51:57

@Cameron Rentch can we pause Chowchilla Womens Prison Abuse - ACTS/Kuzyk (RB) (TIP) - Contract? we have 1 left now.

Malissa (malissa@shield-legal.com)
2025-02-03 12:10:59

@Andy Rogers @Cameron Rentch Kathy at VAM called. She'd like to change their AFFF to just the top 5. She doesn't want any more thyroid disease.

Malissa (malissa@shield-legal.com)
2025-02-03 12:11:15

Happy to post that change in the call center channel.

Cameron Rentch (cameron@internetthings.com)
2025-02-03 13:16:27

@Andy Rogers @Malissa increase rates to 10500/per

Malissa (malissa@shield-legal.com)
2025-02-03 13:29:15

she was aware of a rate increase. i'll let her know the amount.

Malissa (malissa@shield-legal.com)
2025-02-03 13:29:18

@Cameron Rentch

Cameron Rentch (cameron@internetthings.com)
2025-02-03 14:03:53

@Malissa get with @Andy Rogers for ranges, I would not give her this specific amount

πŸ‘ Malissa
Greg Owen (gregowen@shield-legal.com)
2025-02-03 18:22:43

@Cameron Rentch @Andy Rogers We are at cap for Bay Point - Bard Power Port. Craig has said they aren't continuing this campaign at this time. Can we pull the retainer and transfer leads?

Cameron Rentch (cameron@internetthings.com)
2025-02-03 19:21:43

@Greg Owen yes please pull retainer.

πŸ‘ Greg Owen
Greg Owen (gregowen@shield-legal.com)
2025-02-05 11:09:31

@Cameron Rentch @Andy Rogers We are at 80% (16/20) for Nielsen - Depo. We have 244 unconverted leads

Cameron Rentch (cameron@internetthings.com)
2025-02-05 13:19:00

thanks @Greg Owen

Malissa (malissa@shield-legal.com)
2025-02-05 14:30:01

@Cameron Rentch There's some confusion on our end now with the Wood Pellets campaign. When we received the initial setup info, it was Wood Pellets ETO. ELG told Desiree (who then told Anthony) that they're separate. I know we have Injury and Property damage but it sounds like ELG is saying Wood Pellets is one campaign and ETO is another.

Cameron Rentch (cameron@internetthings.com)
2025-02-05 14:53:44

@Malissa IDK have Andy call Jonathan sharp im tied up meetings. Join the call with him,.

Andy Rogers (andy@shield-legal.com)
2025-02-05 14:55:04

@here I have left a message for him and he is going to call me back

Malissa (malissa@shield-legal.com)
2025-02-05 14:56:36

@Andy Rogers @Cameron Rentch thank you both!

Cameron Rentch (cameron@internetthings.com)
2025-02-05 14:57:23

for the record I have sent them all videos, landiong pages and creatives for the wood pellet campaigns - no changes were requested so IDK what they are talking about

Cameron Rentch (cameron@internetthings.com)
2025-02-05 14:57:29

@Andy Rogers @Malissa ^

Malissa (malissa@shield-legal.com)
2025-02-05 15:02:07

Yeah i'm very confused by it @Cameron Rentch. My thought was "where did this come from" when Anthony told me

Greg Owen (gregowen@shield-legal.com)
2025-02-06 17:15:18

@Cameron Rentch @Andy Rogers We are at cap for BG/Van - IL Juv Hall. Should we pull the retainer or keep in for additional signups?

Greg Owen (gregowen@shield-legal.com)
2025-02-06 20:14:41

@Andy Rogers @Cameron Rentch we are at cap for LegaFi - NEC. OK to pull the retainer or should we keep open for additional signups?

Malissa (malissa@shield-legal.com)
2025-02-07 10:33:25

Good morning @Andy Rogers and @Cameron Rentch. Did we ever get clarity from ELG about the Wood Pellets ETO campaign?

Malissa (malissa@shield-legal.com)
2025-02-07 10:33:45

the wood pellets being one campaign and ETO being separate?

Cameron Rentch (cameron@internetthings.com)
2025-02-07 11:18:31

@Malissa criteria for IL YRTC Abuse

Were you or a loved one sexually abused while a resident at a YRTC Facility?* (must be yes) Facility where abuse occurred:* (must NOT be other) Did abuse occur while 17 or under?* (must be yes) Were you born in 1983 or AFTER?* (must be yes) Do you have a lawyer already?** (must be no)

Abuse occured at one of these facilities

β€’ Timberline Knolls (Lemont, IL) β€’ Montrose Behavioral Health Hospital (Chicago, IL) β€’ The Pavilion (UHS) β€’ Hartgrove Hospital (UHS) β€’ Rock River Academy (UHS) β€’ Riveredge Hospital (UHS) β€’ Streamwood Hospital (UHS) β€’ Turning Point Youth Center (UHS) β€’ Lincoln Prairie Behavioral Health Center (UHS) β€’ Garfield Park Behavioral Hospital (Chicago, IL) β€’ Chicago Lakeshore Hospital (Cook County) β€’ Rice Child and Family Center (Cook County) β€’ Lake Behavioral Hospital (Lake County) β€’ Baptist Children's Home and Family Services (White County) abuse was by facility staff/employee or another resident sexual abuse skin to skin

πŸ‘ Malissa
Malissa (malissa@shield-legal.com)
2025-02-07 11:51:32

@Cameron Rentch @Andy Rogers can we move NEC leads from LegaFi to Dicello/Flatirons?

Malissa (malissa@shield-legal.com)
2025-02-07 12:08:41

@Cameron Rentch @Andy Rogers We're 7 away from cap on Wood Pellets. Are we going to keep going with it or do we need to slam on some breaks?

Malissa (malissa@shield-legal.com)
2025-02-07 12:31:05

@Cameron Rentch @Andy Rogers we just hit Cap for wood pellets. Should we leave open or pull?

Cameron Rentch (cameron@internetthings.com)
2025-02-07 13:05:35

@Malissa cap is wrong I adjusted rates

1k/injury

500/property only

Ewe have 400k

Cameron Rentch (cameron@internetthings.com)
2025-02-07 13:05:52

@Andy Rogers

Malissa (malissa@shield-legal.com)
2025-02-07 13:06:05

Ok, i'll do some math and see where we are.

Andy Rogers (andy@shield-legal.com)
2025-02-10 10:07:09

@Malissa @Greg Owen @Cameron Rentch Michael Ghozland has a balance of $342,000 in his New Jersey account. Please move $200,000 to Chowchilla with ACTS.

Malissa, I believe we already have all of the documents for Chowchilla with them. If not can you please reach out to get them? Thank you

πŸ‘ Greg Owen
Malissa (malissa@shield-legal.com)
2025-02-10 16:31:25

*Thread Reply:* @Andy Rogers I have acquired the HIPAA and Retainer. I'll send it through for setup now.

Andy Rogers (andy@shield-legal.com)
2025-02-10 10:18:44

@Malissa @Greg Owen Malissa and Greg. I am looking at Adair’s PA Juv Hall campaign and on the report I get from you for the last month it has shown that he is owed only 2 more retainers. Yet when I was reconciling with firms it appears they still have $52,400 left. The firm is upset with us and asking for their balance back.

Can someone please get me the correct info asap? Thank you.

Also, if the 2 remaining is incorrect, if you have any idea how we messed that up, I would appreciate knowing so I can explain. Again thank you!

Andy Rogers (andy@shield-legal.com)
2025-02-10 11:20:02

@Malissa @Cameron Rentch We received another $250,000 from Bay Pointe on Ill Juv Hall. Malissa they need to be taken off of pause. Can someone please confirm once this is done? Thank you

Andy Rogers (andy@shield-legal.com)
2025-02-10 11:22:57

@Malissa @Greg Owen @Cameron Rentch Between Adair and Lakin we have over $150,000 in budget to spend and it looks like we have got next to nothing latley. According to Craig both firms want their balances back. Can I plz get some information on what is happening ASAP?

Thank you

Greg Owen (gregowen@shield-legal.com)
2025-02-10 11:22:58

@Andy Rogers Bay Point - IL is back on

Greg Owen (gregowen@shield-legal.com)
2025-02-10 11:28:36

@Andy Rogers Lakin: 3 signups since 1/24/25 (when we turned LP back on) with 19 new leads and we still have154 unconverted leads Adair: has been paused in LP since October and we have 636 unconverted leads that are being worked

Andy Rogers (andy@shield-legal.com)
2025-02-10 11:35:48

If we have not converted anything in 4 months, how long do we wait to turn it back on?

Greg Owen (gregowen@shield-legal.com)
2025-02-10 13:05:23

@Andy Rogers @Cameron Rentch we are at 90% for ELG/Sandra Neuman - AFFF. We have 138 unconverted leads

Cameron Rentch (cameron@internetthings.com)
2025-02-10 16:42:51

@Mark Maniora @Malissa pause leadspedia

Malissa (malissa@shield-legal.com)
2025-02-12 11:27:15

hey @Cameron Rentch @Andy Rogers for Wood Pellets, we only have $46,000 in the total budget remaining. Do you want to pause LeadsPedia? There are 279 unconverted leads total.

Malissa (malissa@shield-legal.com)
2025-02-12 11:28:02

by the way, conversion rate is around 50%

Cameron Rentch (cameron@internetthings.com)
2025-02-12 11:33:11

@Malissa @Andy Rogers

  1. get TWO reports run a. all time, all fields, e-sign finals only for INJURY claimants b. all time, all fields, e-sign finals only for PROPERTY OWNERS
  2. get link to customer dashboard from Ryan a. Verify the counts of property owners and injury against the dash b. make sure the financials on dashboards MATCH
  3. once verified and matched a. send reporting to Crump team AND ELG b. clearly define everything in a summary that shows funds rec'd, funds used, claimants by property and injury
  4. Andy - request additional budget
πŸ‘ Malissa
Malissa (malissa@shield-legal.com)
2025-02-12 15:52:27

@Cameron Rentch @Andy Rogers Don't worry. I didn't forget. There's a technical issue that came up that I'm trying to fix. These two are no longer showing on the financial dashboard and i alerted Ryan earlier. I have the customer dashboard and will use that. It just lags a day so I'll have to do a little by hand. I'll get everything to the crump and ELG teams by EOD.

πŸ™ Cameron Rentch
Malissa (malissa@shield-legal.com)
2025-02-12 17:29:27

@Cameron Rentch let me know if this works. I used the same format I've used previously to show a breakdown.

Malissa (malissa@shield-legal.com)
2025-02-12 17:29:47

hang on. i'll make a google sheet

Cameron Rentch (cameron@internetthings.com)
2025-02-12 18:02:59

@Malissa could you run a pivot table based on diagnoses for all injury claimants? We may need to adjust the rates down if these are all "sinus infections etc)

Malissa (malissa@shield-legal.com)
2025-02-12 18:03:13

yeah i can do that

Malissa (malissa@shield-legal.com)
2025-02-12 18:13:24

It's a lot of allergies and sinus infections.

Malissa (malissa@shield-legal.com)
2025-02-12 18:13:34

I'll add the info

Cameron Rentch (cameron@internetthings.com)
2025-02-12 18:23:34

thanks @Malissa I am thinking of breaking up the injuries into these TIERS as follows:

TIER 2, 500/per Asthma Allergies, related directly to external environmental exposure Bronchitis Constant Coughing Headaches/migraines, related directly to external environmental exposure Lacrimation (excessive tearing of the eyes) Nose Bleeding Skin Itching/Irritation Sinus Infections, related directly to the external environmental exposure

TIER 1, 1500/per Cardiopulmonary Obstructive Disease Cardiopulmonary Arrest Dermatitis Exacerbation of Lung Cancer Pulmonary Edema Leukemia Blood cancers NHL AML Multiple Myeloma Lung Cancer Birth Defects

Lets see what this does to the numbers. Dont send anything yet but these are my thoughts. @Andy Rogers @Greg Owen

Malissa (malissa@shield-legal.com)
2025-02-12 19:06:44

@Cameron Rentch if you go to the "test - financials" tab you can see the breakdown using tiers. If we do it that way, they'd have a lot more funds remaining

Malissa (malissa@shield-legal.com)
2025-02-12 19:08:29
Cameron Rentch (cameron@internetthings.com)
2025-02-12 19:10:23

copy that @Malissa let me check asap

Cameron Rentch (cameron@internetthings.com)
2025-02-12 19:13:20

@Malissa can I play around with this in the test tab a bit?

Malissa (malissa@shield-legal.com)
2025-02-12 19:13:56

You can play around in it. I have a hard copy saved

Cameron Rentch (cameron@internetthings.com)
2025-02-12 19:14:44

to see how figures work?!

Malissa (malissa@shield-legal.com)
2025-02-12 19:16:30

You should be able to use the Google sheet with no issues. I didn’t do any special formulas with the tiers yet since we were trying it out. So that was a hand count. πŸ˜…

Cameron Rentch (cameron@internetthings.com)
2025-02-12 19:16:54

@Malissa can you give me edit access I cant edit anything

Malissa (malissa@shield-legal.com)
2025-02-12 19:20:51

Try now

Malissa (malissa@shield-legal.com)
2025-02-12 19:25:10

https://docs.google.com/spreadsheets/d/1APCheRiW6gMHTzpgHe1tpZOaqC0wX996lhdvkh4PUWA/edit

If your access didn’t change when you refreshed try this link @Cameron Rentch

Cameron Rentch (cameron@internetthings.com)
2025-02-12 20:25:50

got it @Malissa!

Malissa (malissa@shield-legal.com)
2025-02-13 10:37:18

@Cameron Rentch anything you need me to do with the Wood Pellets file?

Cameron Rentch (cameron@internetthings.com)
2025-02-13 10:38:07

Not yet. I need to do some work still stay tuned for now.

Cameron Rentch (cameron@internetthings.com)
2025-02-13 14:55:07

ok @Malissa can you please update the Wood pellet sheet above to include sign ups from yesterday? I would also like to see if you can into each entry on the e-signs for the inujuries, and label each as a TIER 1 and a TIER 2? This will enable Ryan and Intake to know which ones to move.

By definition, the more serious injury is where the case should be assigned (ie if claimant has Leukemia it goes to Tier 1, regardless of other Tier 2 diagnoses/injuries)

I am going to have Intake and Maniora update systems set up additional contract for Tier 2 and move all of the contracts there, and keep the existing injury contract as the TIER 1. I will update Ryan and everyone on the thread.

We will go with

TIER 1 = 2000 TIER 2 = 600 Property = 500

Cameron Rentch (cameron@internetthings.com)
2025-02-13 14:55:13

note @Andy Rogers ^

Malissa (malissa@shield-legal.com)
2025-02-13 15:00:52

@Cameron Rentch yeah I’ll get that report going and will update the file. I’ll message as soon as it’s ready

Cameron Rentch (cameron@internetthings.com)
2025-02-13 15:03:15

ty

Cameron Rentch (cameron@internetthings.com)
2025-02-13 15:05:15

The good news, I think if you identify the 18 (plus whatever we got yesterday) , and code them as tier 1, everything else will be a Tier 2

Cameron Rentch (cameron@internetthings.com)
2025-02-13 15:05:19

@Malissa

Malissa (malissa@shield-legal.com)
2025-02-13 15:06:48

Yeah it’s mostly tier two it looks like. A lot of allergies, asthma and sinus issues. @Cameron Rentch

Cameron Rentch (cameron@internetthings.com)
2025-02-13 15:21:03

@Malissa when you send the sheet to Anthony, and anyone at Intake make sure no revenue is displayed

Malissa (malissa@shield-legal.com)
2025-02-13 15:34:25

No worries @Cameron Rentch They’ll get just a report of cases with a column for tier added.

πŸ™Œ Cameron Rentch
Malissa (malissa@shield-legal.com)
2025-02-13 15:37:54

@Cameron Rentch we’ve got 2 non Hodgkins lymphomas. Tier 1 correct?

Cameron Rentch (cameron@internetthings.com)
2025-02-13 15:38:27

yes correct!

Malissa (malissa@shield-legal.com)
2025-02-13 15:44:20

How about Hidradenitis Suppurativa? I’d think it would fall into the dermatitis category after googling it. Don’t look at pictures like I did. 🫠

πŸ‘Œ Cameron Rentch
Malissa (malissa@shield-legal.com)
2025-02-13 16:17:31

Good news @Cameron Rentch if you go to the spreadsheet we are using, you’ll see the updated info for today. I’m using a different spreadsheet with no $$s on it that I’ll send to Anthony and co when I get it prettied up a little

Cameron Rentch (cameron@internetthings.com)
2025-02-13 16:44:20

amazing @Malissa!

Cameron Rentch (cameron@internetthings.com)
2025-02-13 16:47:06

When. ready let's send an updated report to ELG and Crump! @Malissa

Malissa (malissa@shield-legal.com)
2025-02-13 16:48:25

Ok I will pretty it up

πŸ™Œ Cameron Rentch
Malissa (malissa@shield-legal.com)
2025-02-13 17:21:31

@Cameron Rentch ok, I've made it look much nicer. Can you take a look and let me know if it's good to send? I have an excel version of it that I can send to both ELG and BCL.

Malissa (malissa@shield-legal.com)
2025-02-13 17:26:59

If you can just double check those $$s i'd appreciate it

Cameron Rentch (cameron@internetthings.com)
2025-02-13 17:31:21

standby

Cameron Rentch (cameron@internetthings.com)
2025-02-13 17:32:14

@Malissa looks good let's add the "TIERS" so they know how we have categorized them? Thank you

Malissa (malissa@shield-legal.com)
2025-02-13 17:39:16

@Cameron Rentch oh i have that on there. Let me move it to the financial tab

Malissa (malissa@shield-legal.com)
2025-02-13 17:39:22

or copy it there

Malissa (malissa@shield-legal.com)
2025-02-13 17:54:49

Have a look now, @Cameron Rentch

Cameron Rentch (cameron@internetthings.com)
2025-02-13 17:59:47

perfect @Malissa

Andy Rogers (andy@shield-legal.com)
2025-02-13 18:00:14

Malissa is the best!

Malissa (malissa@shield-legal.com)
2025-02-13 18:03:13

Fab. I'll send two emails - one to ELG and one to BCL. πŸ™‚

Malissa (malissa@shield-legal.com)
2025-02-13 18:03:22

Thanks @Andy Rogers and @Cameron Rentch!

Cameron Rentch (cameron@internetthings.com)
2025-02-13 18:04:16

well done!!!!

Greg Owen (gregowen@shield-legal.com)
2025-02-14 10:21:55

@Cameron Rentch We are at cap for Nations/Levinson - AFFF Thyroid Only. Should we increase the cap, or pull the retainer.

Cameron Rentch (cameron@internetthings.com)
2025-02-14 10:33:24

No cap for this increase pls

πŸ‘ Greg Owen
Greg Owen (gregowen@shield-legal.com)
2025-02-14 12:45:39

@Andy Rogers @Cameron Rentch We are at cap for BG/Walsh - IL Juv Hall. Should we pull the retainer or keep in for additional signups?

Cameron Rentch (cameron@internetthings.com)
2025-02-15 09:22:03

@Greg Owen pull retainer please.

πŸ‘ Malissa
Malissa (malissa@shield-legal.com)
2025-02-17 15:18:41

Hi @Andy Rogers Do you have the docs and info for Craig Goldenfarb's Chowchilla and VGA Campaigns?

Cameron Rentch (cameron@internetthings.com)
2025-02-17 19:45:33

@Andy Rogers @Malissa everyone Monday, we need to send a report to SGGH for all of their campaigns. NOTE MAKE SURE WE DO NOT EVER SEND ANYTHING TO THEIR FUNDING PARTNERS INADVERTENTLY. THEY DO NOT WANT THE FUNDING PARTNERS TO KNOW ABOUT ONE ANOTHER.

Currently we have:

AWD - Dr Brock IL Clery and YRTC - Gough MI Clergy and TRTC - Gough

We need to send:

  1. FULL reporting. All fields, all time E-sign only
  2. Dashboard links (note see below for Dr Brock, you will need to have Ryan and team add the SGGH team to each respective dash.
πŸ‘ Greg Owen, Malissa
Cameron Rentch (cameron@internetthings.com)
2025-02-17 19:46:23

@Andy Rogers please give team the all SGGH emails^

Andy Rogers (andy@shield-legal.com)
2025-02-17 19:50:02

@Malissa I believe you have all of the emails.

I am out at the closing party of AAJ and won’t be back to my room/computer until late.

Cameron Rentch (cameron@internetthings.com)
2025-02-17 19:53:10

also @Andy Rogers I need you to make sure you communicate the financial pieces of the SGGH /Gough campaigns ASAP. We need them to know the current spend and acquisition rates. We told them we would be very mindful of the spend (Felice). All dashes are updated with correct spend to date

Andy Rogers (andy@shield-legal.com)
2025-02-17 19:53:52

I will get with them tomorrow morning

Cameron Rentch (cameron@internetthings.com)
2025-02-17 19:56:41

cool

Greg Owen (gregowen@shield-legal.com)
2025-02-19 13:14:17

@Andy Rogers @Cameron Rentch We are at cap for ACTS/Loghmana - Chowchilla. Are we ok to pull the retainer and move leads?

Andy Rogers (andy@shield-legal.com)
2025-02-19 13:15:10

Pull it

πŸ‘ Greg Owen
Cameron Rentch (cameron@internetthings.com)
2025-02-19 14:36:23

@Greg Owen yes pull retainer, have leads moved to ACTS Ghozland

πŸ‘ Malissa, Greg Owen
Greg Owen (gregowen@shield-legal.com)
2025-02-21 10:09:45

@Andy Rogers @Cameron Rentch We are at 72% (20/27) for Meadow/DL - Paraquat, and we have 545 unconverted leads.

Andy Rogers (andy@shield-legal.com)
2025-02-21 10:10:12

Do not stop I will ask for more money

πŸ†— Greg Owen
Cameron Rentch (cameron@internetthings.com)
2025-02-23 19:07:47

@Andy Rogers @Malissa we need full reconciliation with ELG/Crump on MI Pullution and Wood Pellet.

Please:

  1. Request all time report, all fields, e-sign final only
  2. ensure that the claimants are tiered properly in each respective category (ie injury vs property and/or tier 1/2 injury and property
  3. any claimants that need to be reclassified please alert Ryan asap, cc me in slack
  4. create financial summary for ELG/Crump with backup reporting
  5. once approved, please send to ELG /Crump (summary/reporting/payments made/balance due) We need this to be sent out first thing in am please. Thank you both!
πŸ‘ Malissa
Malissa (malissa@shield-legal.com)
2025-02-24 14:06:36

@Cameron Rentch @Andy Rogers I have an update on MI Pollution.

I found a lot of possible mis-classifications in the property account. I've reached out to Tony and Anthony after doing an audit of both Illness and Property. I also found a handful that could be problematic due to SOL. They're going to review and let me know what is an error on their end and what Ryan needs to fix.

Malissa (malissa@shield-legal.com)
2025-02-24 17:19:08

@Cameron Rentch @Andy Rogers

Ok, my eyes are numb. Please see attached. Here's the google doc link. You should be able to edit it if needed. https://docs.google.com/spreadsheets/d/1Jcp3O9HRm3-N0YKdPVTtSIiqZBXs-RfsgKti73XWvXk/edit?usp=sharing

Malissa (malissa@shield-legal.com)
2025-02-24 17:19:48

The counts are manual. I've alerted Anthony and Tony and they're going to let me know what needs to go to Ryan.

Cameron Rentch (cameron@internetthings.com)
2025-02-24 17:38:22

thank you @Malissa

Cameron Rentch (cameron@internetthings.com)
2025-02-24 17:39:54

@Andy Rogers @Malissa lets meet on this and get everything sent out today to Crump & ELG.

πŸ‘ Malissa
Cameron Rentch (cameron@internetthings.com)
2025-02-24 18:46:21

@Malissa @Mark Maniora @Andy Rogers FYI these are the two initial campaigns for AWKO with their sex abuse campaigns we are testing:

  1. St Helens Sexual Abuse , 20K budget test
  2. Hudsons Bay High School Abuse, 20K budget test
Cameron Rentch (cameron@internetthings.com)
2025-02-24 18:46:46

(they paid 100k invoice but these are the the first two we will test)

Malissa (malissa@shield-legal.com)
2025-02-24 19:03:48

@Andy Rogers Here is the excel file for Wood Pellets. They owe 105k now for it.

Malissa (malissa@shield-legal.com)
2025-02-24 19:04:02
Cameron Rentch (cameron@internetthings.com)
2025-02-24 19:20:00

@Andy Rogers let’s get this out tonight. Please. We need to make sure we get current with them.

Cameron Rentch (cameron@internetthings.com)
2025-02-25 10:51:20

@Malissa @Andy Rogers need retainer docs for St Helens and Hudson Bay abuse. We can "clone" prior intake from Redlands high school abuse.

πŸ‘ Malissa
Malissa (malissa@shield-legal.com)
2025-02-25 12:58:27

@Cameron Rentch @Andy Rogers We are at cap for DL/Meadow Paraquat FYI. I did invoice another $500k yesterday but wanted to let you know. Andy, did Jon say when we can expect that payment?

Cameron Rentch (cameron@internetthings.com)
2025-02-25 13:37:25

@Malissa Andy said we are getting 1mil from them on paraquat. Should be here by tomorrow. @Andy Rogers give them a nudge pls

❀️ Malissa
Cameron Rentch (cameron@internetthings.com)
2025-02-25 13:51:47

@Andy Rogers please send over to AWKO for their records/review:

St. Helens Abuse https://shieldjusticewatch.com/st-helens-abuse-lawsuits

SL St. Helens SA-Female AI-25069-JA-CAP-https://f.io/z7eh6A9w SL St. Helens SA-Male AI-25069-JA-CAP-https://f.io/Zgj0smAj SL St. Helens SA-STOCK-25069-JA-CAP-https://f.io/h2bgAVR5

Hudson Bay High School Abuse https://shieldjusticewatch.com/hudsons-bay-high-school-abuse-lawsuits

SL Hudson Bay SA-Female AI-25070-CP-CAP-https://f.io/kLwQpxIf SL Hudson Bay SA-Male AI-25070-CP-CAP-https://f.io/6y2SKIdl SL Hudson Bay SA-STOCK-25070-CP-CAP-https://f.io/Zmh_9OSg

We need retainers/hippa

Malissa (malissa@shield-legal.com)
2025-02-25 13:55:00

@Cameron Rentch I reached out to the firm for the retainer and hipaa. I'm just waiting for them to send those over

Malissa (malissa@shield-legal.com)
2025-02-25 13:55:50

They did send me an intake form they use. I've attached it here if you want it. They said, "We typically use the same intake form for all Sexual Assault cases- you would just include or omit the second page depending on if it was LDS related."

Cameron Rentch (cameron@internetthings.com)
2025-02-25 13:57:00

@Malissa ok go ahead and get submitted to call center. Remind Anthony to use drop downs for all

πŸ‘ Malissa
Malissa (malissa@shield-legal.com)
2025-02-25 13:57:04

@Cameron Rentch Tony is ready to rock and roll with the new Dublin campaign. We don't have a HIPAA though. Do you have one or is there someone at the firm i can contact?

Cameron Rentch (cameron@internetthings.com)
2025-02-25 13:59:18

@Malissa just emailed Norma

πŸ‘ Malissa
Cameron Rentch (cameron@internetthings.com)
2025-02-25 14:01:12

and copied you

Malissa (malissa@shield-legal.com)
2025-02-26 12:51:59

@Cameron Rentch Legafi has about 7 retainers left in their Paraquat campaign. We've paused leadspedia but it looks like the team has worked through all the leads. Since 2/3, only one has signed and that one was flagged. The majority of leads aren't responding or are disqualified. Can we turn Leadspedia back on for a few days to get some fresh leads?

Malissa (malissa@shield-legal.com)
2025-02-26 12:52:59

Thanks @Andy Rogers!

Cameron Rentch (cameron@internetthings.com)
2025-02-26 12:55:52

@Malissa I will tmrw

πŸ‘ Malissa
Malissa (malissa@shield-legal.com)
2025-02-26 12:56:39

@Cameron Rentch @Andy Rogers We received $100k from Meadow yesterday for MD Juv Hall Abuse. Do i need to submit an invoice for this campaign? Also, are we doing 7500 per? Asking for setup reasons

Andy Rogers (andy@shield-legal.com)
2025-02-26 12:57:45

Yes and yes

Andy Rogers (andy@shield-legal.com)
2025-02-26 12:58:09

We should also have received $250k for Foreman on MD as well

Malissa (malissa@shield-legal.com)
2025-02-26 12:59:59

We got one from Iustus Capital. I thought that was Forman but wasn't 100% sure. THanks Andy! I'll let Rose know.

Andy Rogers (andy@shield-legal.com)
2025-02-26 13:00:22

Who is it?

Malissa (malissa@shield-legal.com)
2025-02-26 13:01:47

I'll reach out to Forman's office and confirm

Malissa (malissa@shield-legal.com)
2025-02-26 13:36:17

@Cameron Rentch @Andy Rogers for these campaigns, do we have the criteria or are we going to clone a campaign?

St Helens Sexual Abuse - AWKO - AWKO - Shield Legal Hudsons Bay High School Abuse - AWKO - AWKO - Shield Legal

Cameron Rentch (cameron@internetthings.com)
2025-02-26 17:47:27

@Malissa @Andy Rogers confirm with AWKO

Child that was/is a student at _ school Sexually abused by teacher or staff Do not have a lawyer

Should be pretty straight forward but please confirm^

πŸ‘ Malissa
Cameron Rentch (cameron@internetthings.com)
2025-02-26 18:02:08

@Malissa did you get criteria, intake and retainers for Dr Scott Lee and Dr Todd from SGGH/AWD?

Malissa (malissa@shield-legal.com)
2025-02-26 18:02:55

I did. About to send that through the call center channel.

Malissa (malissa@shield-legal.com)
2025-02-26 18:03:32

is there a rate to use? @Cameron Rentch

Malissa (malissa@shield-legal.com)
2025-02-26 18:04:03

if not i can use the Barry Brock rate as aplaceholder

Cameron Rentch (cameron@internetthings.com)
2025-02-26 18:04:42

@Malissa yes use placeholder of 6000k/per

πŸ‘ Malissa
Malissa (malissa@shield-legal.com)
2025-02-26 18:05:06

sounds good

Cameron Rentch (cameron@internetthings.com)
2025-02-26 18:05:30

Make sure we have CLEAR criteria for either current age claimant CAN BE and when abuse occured for them to qualify

πŸ‘ Malissa
Cameron Rentch (cameron@internetthings.com)
2025-02-27 11:39:15

@Malissa @Andy Rogers can you all please confirm the VGA criteria for the new order, and also let me know that we have submitted everything to intake?

Malissa (malissa@shield-legal.com)
2025-02-27 11:41:58

@Cameron Rentch for AWKO/Goldlaw, correct? That was submitted on the 19th using AWKO's exisiting VGA criteria.

Malissa (malissa@shield-legal.com)
2025-02-27 11:42:21

I don't have a tier breakdown for intake though.

Cameron Rentch (cameron@internetthings.com)
2025-02-27 11:43:07

@Andy Rogers confirming we can NOT have any reference of microsoft in the ads, right? Also @Malissa can you confirm when this is ready?

πŸ‘ Malissa
Malissa (malissa@shield-legal.com)
2025-02-27 11:47:10

@Cameron Rentch it is now ready to go

Cameron Rentch (cameron@internetthings.com)
2025-02-27 12:29:23

@Malissa where are we with caps on Depo Provera ML LAN campaign? I feel like it is very close

Malissa (malissa@shield-legal.com)
2025-02-27 12:39:32

@Cameron Rentch We are! Greg is checking the exact number right now

Greg Owen (gregowen@shield-legal.com)
2025-02-27 12:41:57

@Cameron Rentch we are at 33/36. They have $17,400 left in their budget

Cameron Rentch (cameron@internetthings.com)
2025-02-27 12:45:58

great, I am pausing traffic

Cameron Rentch (cameron@internetthings.com)
2025-02-27 12:53:25

@Andy Rogers @Malissa what was the latest VGA campaign we ran? (not including the Microsoft only campaigns

Malissa (malissa@shield-legal.com)
2025-02-27 12:58:23

The most recent setup is Gaming Addiction VGA 2 for AWKO (Gaming Addiction - Kiley Grombacher/Bryan Aylstock 2)

the Meadow/Levinson and Meadow/Crump campaigns still have signups coming in. Both are paused in LP.

Malissa (malissa@shield-legal.com)
2025-02-27 12:58:27

@Cameron Rentch

Malissa (malissa@shield-legal.com)
2025-02-27 12:58:47

regarding microsoft, i found this slack message from Andy. Sent 12/5

Cameron Rentch (cameron@internetthings.com)
2025-02-27 13:00:34

@Malissa for the Gaming Addiction VGA 2 for AWKO campaign can you pls run a report (you may need to get with Alan or Alex) that shows total signed count, as well as a breakdown of counts by Tier 1,2,3 cases. Also I need total budget used.

Cameron Rentch (cameron@internetthings.com)
2025-02-27 13:00:47

I dont need the data just the counts please

Malissa (malissa@shield-legal.com)
2025-02-27 13:01:59

I don't think that one had a secondary intake request. I'll double check. I'll have that report of signed retainers and budget asap.

Malissa (malissa@shield-legal.com)
2025-02-27 13:02:03

@Cameron Rentch

Malissa (malissa@shield-legal.com)
2025-02-27 13:05:19

Yeah there was no request for VSS with their VGA campaign.

Cameron Rentch (cameron@internetthings.com)
2025-02-27 13:06:12

Run a report and have Alex tier them asap for you.

Cameron Rentch (cameron@internetthings.com)
2025-02-27 13:06:21

@Malissa need this asap pls

Malissa (malissa@shield-legal.com)
2025-02-27 13:06:36

was just about to ask. On it!

πŸ™Œ Cameron Rentch
Malissa (malissa@shield-legal.com)
2025-02-27 13:46:50

@Cameron Rentch Alex is working on getting tier info. I have the total signed and amount of budget used. Just waiting on that last piece

Cameron Rentch (cameron@internetthings.com)
2025-02-27 13:57:56

thank you!

Malissa (malissa@shield-legal.com)
2025-02-27 14:01:25

While she's doing that, I'm putting together a tier list similar to the injury ones we have

Cameron Rentch (cameron@internetthings.com)
2025-02-27 14:05:25

great thank you!

Malissa (malissa@shield-legal.com)
2025-02-27 15:05:29

@Cameron Rentch VGA almost ready. standy by

Malissa (malissa@shield-legal.com)
2025-02-27 15:05:31

stand by

Cameron Rentch (cameron@internetthings.com)
2025-02-27 17:09:11

thanks @Malissa this is perfect

πŸ‘ Malissa
Malissa (malissa@shield-legal.com)
2025-02-27 17:09:45

@Cameron Rentch never a problem

Malissa (malissa@shield-legal.com)
2025-03-03 10:16:56

@Andy Rogers @Cameron Rentch @Greg Owen This wasn't posted in the invoice channel. We just got another $500k from Meadow for Paraquat

Malissa (malissa@shield-legal.com)
2025-03-03 10:17:44

have we gotten anything from Focused Litigation for their marketing invoices?

Cameron Rentch (cameron@internetthings.com)
2025-03-03 11:19:27

@Malissa send another invoice to Meadow. Also, expecting 1 mil from Flatirons today, send invoice when rec'd

Malissa (malissa@shield-legal.com)
2025-03-03 11:19:44

1mil from Flatirons pending

Malissa (malissa@shield-legal.com)
2025-03-03 11:20:24

The Meadow invoice, is that for the Paraquat payment or something else? @Cameron Rentch

Cameron Rentch (cameron@internetthings.com)
2025-03-03 12:00:38

yes that should be for paraquat

πŸ‘ Malissa
Malissa (malissa@shield-legal.com)
2025-03-03 12:27:29

FYI @Cameron Rentch and @Andy Rogers, Craig said we should be seeing that $300k from BayPoint come in this week. Hopefully today or tomorrow.

πŸ™Œ Cameron Rentch
Cameron Rentch (cameron@internetthings.com)
2025-03-04 20:47:42

@Malissa can you please try to clear the filters in the "2025 contracts" I can only see the five customers that someone selected

Cameron Rentch (cameron@internetthings.com)
2025-03-04 20:49:19

or @Greg Owen or @Andy Rogers ^

Cameron Rentch (cameron@internetthings.com)
2025-03-04 20:49:35

thank you

Greg Owen (gregowen@shield-legal.com)
2025-03-04 20:49:42

YOu should be all set @Cameron Rentch

Cameron Rentch (cameron@internetthings.com)
2025-03-04 20:49:43

could not tell what was sorted

Malissa (malissa@shield-legal.com)
2025-03-04 20:50:03

Thanks @Greg Owen!

Malissa (malissa@shield-legal.com)
2025-03-05 12:00:58

@Andy Rogers @Cameron Rentch I just sent you via email a copy of the updated Wood Pellets document. Here is the google docs link too: https://docs.google.com/spreadsheets/d/1oLrPm6eeJHvpdpCI3vTIZILU5ukj3XK8WQFMGb-RwyA/edit?usp=sharing

Malissa (malissa@shield-legal.com)
2025-03-06 12:49:54

@Cameron Rentch Quick question on NV - any facility is accepted right? Not just the ones on the list. Those are known facilities

Malissa (malissa@shield-legal.com)
2025-03-06 13:30:00

also @Cameron Rentch will DL/Flatirons take resident on resident abuse with NV and AZ?

Cameron Rentch (cameron@internetthings.com)
2025-03-06 14:51:11

@Malissa for AZ does Meadow take inmate in inmate abuse?

Malissa (malissa@shield-legal.com)
2025-03-06 14:51:41

@Cameron Rentch it does. That's why the question came up for DL

Cameron Rentch (cameron@internetthings.com)
2025-03-06 15:31:16

Then yes @Malissa

πŸ‘ Malissa
Greg Owen (gregowen@shield-legal.com)
2025-03-07 10:08:15

@Andy Rogers @Cameron Rentch We are at 77% (64/83) for Meadow/DL - Paraquat with 1979 unconverted leads.

Greg Owen (gregowen@shield-legal.com)
2025-03-10 11:45:27

@Andy Rogers @Cameron Rentch We are at 70% (35/50) for AWKO/Gold Law - VGA. We have 138 unconverted leads and are converting at 20%

Cameron Rentch (cameron@internetthings.com)
2025-03-10 11:47:26

Thanks @Greg Owen - Paraquat will be funded with another 1 mil tomorrow. @Andy Rogers will confirm.

I will pause VGA traffic today.

πŸ‘ Greg Owen
Greg Owen (gregowen@shield-legal.com)
2025-03-10 13:33:18

@Cameron Rentch We are only 4 from cap now on AWKO/Gold Law VGA. Should I have Mark pause LP?

Andy Rogers (andy@shield-legal.com)
2025-03-10 13:35:05

Yes they are not adding more at this time

πŸ‘ Greg Owen
Greg Owen (gregowen@shield-legal.com)
2025-03-10 16:51:25

@Andy Rogers @Cameron Rentch we are at cap for AWKO/Gold Law - VGA. Having retainer pulled as they are not going to add to the campaign.

Cameron Rentch (cameron@internetthings.com)
2025-03-10 17:15:27

got it @Greg Owen

Greg Owen (gregowen@shield-legal.com)
2025-03-12 09:47:00

@Andy Rogers @Cameron Rentch We are at cap for BG/DLA - IL Juv Hall. Should we keep open or pull the retainer?

Cameron Rentch (cameron@internetthings.com)
2025-03-12 11:26:44

@Andy Rogers we need to get out in front of this so we dont have to pause. @Greg Owen I would keep signing, but I will pause traffic temporarily

Malissa (malissa@shield-legal.com)
2025-03-13 16:57:00

@Andy Rogers @Cameron Rentch Sobo just sent me the new criteria AWKO requested for their VGA campaigns. they've added A LOT of games and there are several changes to criteria than what we currently have. I think we should create a new campaign with this new criteria and close out the current VGA (which has a balance due at this point). Please advise if you think that would be a good idea.

Malissa (malissa@shield-legal.com)
2025-03-17 10:28:41

@Cameron Rentch @Andy Rogers Good morning! We've got $500k pending. I'm assuming Meadow, correct? To which campaign should we apply if so?

Andy Rogers (andy@shield-legal.com)
2025-03-17 10:31:47

Paraquat

Andy Rogers (andy@shield-legal.com)
2025-03-17 10:31:53

With DL

Malissa (malissa@shield-legal.com)
2025-03-17 10:32:08

YAY money

Malissa (malissa@shield-legal.com)
2025-03-17 10:32:19

Thanks Andy!

Cameron Rentch (cameron@internetthings.com)
2025-03-17 11:32:08

@Malissa FYI - I am working on paid vs spent all day today, I need to have it 100% complete, updated and accurate by EOD.

πŸ‘ Malissa
Malissa (malissa@shield-legal.com)
2025-03-17 11:33:39

working on that now too.

Cameron Rentch (cameron@internetthings.com)
2025-03-17 17:32:21

@Malissa @Andy Rogers waiting to be let into the zoom

Malissa (malissa@shield-legal.com)
2025-03-17 17:33:09

Same. Andy's the host. Let me create a google meet for today. He's travelling to LV and his messages might be slow getting to him

Cameron Rentch (cameron@internetthings.com)
2025-03-17 17:40:51

@Malissa can you send a google invite?

Malissa (malissa@shield-legal.com)
2025-03-17 17:41:54
Malissa (malissa@shield-legal.com)
2025-03-17 17:42:36

@Cameron Rentch

Malissa (malissa@shield-legal.com)
2025-03-17 17:44:13

also sent via email

Greg Owen (gregowen@shield-legal.com)
2025-03-18 12:19:23

@Andy Rogers @Cameron Rentch We are at cap for AWKO/Gold Law - Chowchilla. Should we keep open or pull the retainer?

Cameron Rentch (cameron@internetthings.com)
2025-03-18 12:21:06

@Andy Rogers they are going to have to pay/cover overages, nobody gave enough notice for us to stop and we cant move the leads. @Greg Owen I have paused leadsepdia

Andy Rogers (andy@shield-legal.com)
2025-03-18 12:22:43

I will get them to pay overage

Malissa (malissa@shield-legal.com)
2025-03-18 12:23:32

@Andy Rogers I believe I have a template still that I sent to Crystal at AWKO that showed what they owe. I can update it for you and add golf law

Malissa (malissa@shield-legal.com)
2025-03-18 12:23:36

Goldlaw

Andy Rogers (andy@shield-legal.com)
2025-03-18 12:24:09

Don’t send yet until we know

Malissa (malissa@shield-legal.com)
2025-03-18 12:24:22

No worries!

Greg Owen (gregowen@shield-legal.com)
2025-03-18 12:30:41

@Andy Rogers @Cameron Rentch We are at 80% (27/34) for BG/Bowersox - NJ Juv Hall. We have 167 unconverted leads

Malissa (malissa@shield-legal.com)
2025-03-18 12:33:09

@Cameron Rentch we are over the original test cap for Gomez Instant Soup Cup Burns. Should we keep going?

Cameron Rentch (cameron@internetthings.com)
2025-03-18 12:36:11

@Greg Owen also pelase check Bowersox IL abuse, we signed 5 yesterday (note that pricing is 7000/per average so factor that into remaining budgets

Cameron Rentch (cameron@internetthings.com)
2025-03-18 12:37:24

@Malissa we can keep signing Gomez talking to him in 30 min, will forward you reporting I sent him earlier

Malissa (malissa@shield-legal.com)
2025-03-18 12:37:51

ok great! Thanks @Cameron Rentch. Right now it's about 7150 over original budget.

Greg Owen (gregowen@shield-legal.com)
2025-03-18 12:41:46

@Cameron Rentch we are at cap for Bowersox - IL with the updated pricing

Greg Owen (gregowen@shield-legal.com)
2025-03-19 13:19:45

@Andy Rogers @Cameron Rentch We are at 75% for Gough/SGGH - IL YTC. We have 191 unconverted leads

Cameron Rentch (cameron@internetthings.com)
2025-03-19 13:21:10

@Andy Rogers please secure more budget here asap

Greg Owen (gregowen@shield-legal.com)
2025-03-20 09:35:34

@Andy Rogers @Cameron Rentch We are at 80% for Meadow/DL - Paraquat (111/138). We have 2,877 unconverted leads.

Malissa (malissa@shield-legal.com)
2025-03-20 10:43:56

Hey @Andy Rogers speaking of meadow, we still haven’t seen that additional $500k for the week. The one we received earlier this week went towards Paraguay

Malissa (malissa@shield-legal.com)
2025-03-20 10:44:06

Paraquat.

Andy Rogers (andy@shield-legal.com)
2025-03-20 10:45:08

The Depo money will be early next week. They had a hiccup

Malissa (malissa@shield-legal.com)
2025-03-20 10:45:20

Ok cool. Thank you!

Greg Owen (gregowen@shield-legal.com)
2025-03-21 09:37:19

@Andy Rogers @Cameron Rentch We are at cap for Nielsen/Meadow - Depo Provera. Should we pull the retainer and transfer leads, or keep in for additional signups?

Cameron Rentch (cameron@internetthings.com)
2025-03-21 10:07:48

@Greg Owen yes, pull retainer, we will move any leads to new meadow campaig starting next week

πŸ‘ Greg Owen
Greg Owen (gregowen@shield-legal.com)
2025-03-21 18:04:27

@Andy Rogers @Cameron Rentch We are at cap for Bay Point/Simmons - Bard PowerPort. Should we pull the retainer and move leads, or keep open for additional signups?

Malissa (malissa@shield-legal.com)
2025-03-21 18:32:09

We are pending $250k in the bank but no name is reported with it yet. It’s more than likely baypoint - IL

πŸ™Œ Cameron Rentch
Greg Owen (gregowen@shield-legal.com)
2025-03-24 10:06:24

@Cameron Rentch @Andy Rogers We are at cap for Bay Point/Simmons - Bard PowerPort. Should we pull the retainer and move leads, or keep open for additional signups?

Andy Rogers (andy@shield-legal.com)
2025-03-24 10:10:28

Plz reach out to Craig ASAp

Greg Owen (gregowen@shield-legal.com)
2025-03-24 15:37:48

@Andy Rogers Bay Point is not extending the Bard PowerPort campaign.

Cameron Rentch (cameron@internetthings.com)
2025-03-24 15:38:18

@Greg Owen we can pull retainer, we can also move any open leads to Crump/Simmons

πŸ‘ Greg Owen
Greg Owen (gregowen@shield-legal.com)
2025-03-24 17:06:23

@Andy Rogers @Cameron Rentch We are at 75% for BG/Meadow - MD Juv Hall

Malissa (malissa@shield-legal.com)
2025-03-25 13:13:14

@Cameron Rentch @Andy Rogers I just emailed you both the updated BCL/ELG report for your review showing the amount owed for their Wood Pellet and MI Pollution campaigns.

Malissa (malissa@shield-legal.com)
2025-03-25 13:13:36

trying to attach it here wasn't working.

Malissa (malissa@shield-legal.com)
2025-03-25 14:08:44

hey @Andy Rogers am i good to invoice Meadow for more paraquat $$$

Andy Rogers (andy@shield-legal.com)
2025-03-25 14:09:34

Yes but let’s hold off until my call with them and Cam tomorrow morning

πŸ‘ Malissa
Greg Owen (gregowen@shield-legal.com)
2025-03-26 15:28:31

@Andy Rogers @Cameron Rentch We are at 80% (24/29) for Ghozland/ACTS - Chowchilla, with 268 unconverted leads

Greg Owen (gregowen@shield-legal.com)
2025-03-27 10:05:08

@Andy Rogers @Cameron Rentch We are at 75% (67/90) for Meadow/ELG - AFFF, with 2083 unconverted leads

Malissa (malissa@shield-legal.com)
2025-03-27 13:26:38

@Andy Rogers you got any more of that money for Meadow Paraquat?

Greg Owen (gregowen@shield-legal.com)
2025-03-27 14:49:10

@Andy Rogers @Cameron Rentch We are at 75% for AWD/SGGH - Dr Scott Lee. We only have 6 unconverted leads, but we have had 3 signups today.

Malissa (malissa@shield-legal.com)
2025-03-27 16:12:37

@Andy Rogers @Cameron Rentch I noticed the retainer for Paraquat Wagstaff Meadow is still open. Per Jon's email, they aren't accepting anymore on that campaign. I'm going to have the retainer pulled. Should leads be transferred to Meadow/Dicello or LegaFi/Dicello when it goes live?

Malissa (malissa@shield-legal.com)
2025-03-27 16:14:52

same with AWD/Wagstaff

Cameron Rentch (cameron@internetthings.com)
2025-03-27 17:08:09

@Malissa yes pull retainer and rtansfer to DL Meadow

πŸ‘ Malissa
Greg Owen (gregowen@shield-legal.com)
2025-03-28 10:13:10

@Cameron Rentch @Andy Rogers We are at cap for BG/Bowersox - NJ Juv Hall. Should we pull the retainer or keep open for additional signups? We area also at 80% (8/10) for VAM Law/BG/Meadow - NH YDC, and we have 52 unconverted leads.

Andy Rogers (andy@shield-legal.com)
2025-03-28 10:13:34

Pull Bowersox.

πŸ‘ Greg Owen
Cameron Rentch (cameron@internetthings.com)
2025-03-28 11:41:41

@Greg Owen please have Bowersox open leads moved to VAM and have mark Maniora or Malissa pause traffic on VAM

Greg Owen (gregowen@shield-legal.com)
2025-03-28 11:44:47

@Andy Rogers @Cameron Rentch We are at cap now for AWD/SGGH - Dr Scott Lee Abuse. Should we pull the retainer or keep open for additional signups?

Cameron Rentch (cameron@internetthings.com)
2025-03-28 11:45:16

Ok to continue. I will get more funds from AWD

Malissa (malissa@shield-legal.com)
2025-03-28 11:54:48

@Cameron Rentch Little confused on the leads part. VAM only has a NH Campaign. We could move Bowersox NJ leads to one of these: New Jersey Juv Hall Abuse - Flatirons/DL New Jersey Juvenile Detention Abuse - Crump/BG (TIP)

Cameron Rentch (cameron@internetthings.com)
2025-03-28 15:16:01

sorry @Malissa please move open NJ leads to NJ DL/Flatirons, let's pause traffic on VAM NH in leadspedia

πŸ‘ Malissa
Malissa (malissa@shield-legal.com)
2025-03-28 16:14:05

@Andy Rogers $500k just popped up in the account. No name yet but that looks like Meadow Depo money. Right?

Andy Rogers (andy@shield-legal.com)
2025-03-28 16:14:36

Paraquat

πŸ‘ Malissa
Andy Rogers (andy@shield-legal.com)
2025-03-28 18:41:01

@Malissa can you repost the VGA new criteria for AWKO here? Plz

Malissa (malissa@shield-legal.com)
2025-03-28 18:58:01

Let me know if this works for everyone

Cameron Rentch (cameron@internetthings.com)
2025-03-29 12:08:55

got it thanks @Malissa

πŸ‘ Malissa
Greg Owen (gregowen@shield-legal.com)
2025-03-31 10:16:41

@Andy Rogers @Cameron Rentch We are at cap for LegaFi/DiCello - Paraquat. Should we pull the retainer or keep in for additional signups?

Andy Rogers (andy@shield-legal.com)
2025-03-31 11:02:00

@Malissa Please see the attached spreadsheet for Jeff Bowersox. He still has a total of $243,364 open. Due to personal health reasons we need to shut down all of his campains and we need to wire him $200,000. Keeping $43k back to cover any overages.

@Cameron Rentch we spoke about this last month when it was about $400k but we kept it going for as long as possible. He called me over the weekend. He is not sure that he makes it another couple of months and he needs to get all of his affairs in order.

Please let me know if there are any questions…. Andy

😨 Malissa
Cameron Rentch (cameron@internetthings.com)
2025-03-31 12:17:10

*Thread Reply:* got it @Andy Rogers unbelievable feel terrible for him

Greg Owen (gregowen@shield-legal.com)
2025-03-31 11:05:22

I will get the retainers pulled for the open campaigns with NH and PA. @Cameron Rentch where should we transfer leads?

Malissa (malissa@shield-legal.com)
2025-03-31 15:00:06

@Cameron Rentch Noodle Soup - We are at 203 signups with 1455 unconverted leads. The conversion rate is 12%. I invoiced another 50k previously but we haven't gotten that payment yet. Do you want to keep LP going?

Cameron Rentch (cameron@internetthings.com)
2025-03-31 15:21:45

Yes @Malissa for now

πŸ‘ Malissa
Malissa (malissa@shield-legal.com)
2025-03-31 16:29:11

@Andy Rogers @Cameron Rentch $500k pending in the bank. just popped up. Meadow? Depo?

πŸ™Œ Cameron Rentch
Malissa (malissa@shield-legal.com)
2025-04-01 10:31:11

@Cameron Rentch @Andy Rogers That $500k is definitely Meadow. Should i apply it towards Depo and send an invoice?

Malissa (malissa@shield-legal.com)
2025-04-02 12:52:50

@Cameron Rentch @Andy Rogers Following up on application of the 500k from Meadow. I'm guessing Depo but want to be sure

Malissa (malissa@shield-legal.com)
2025-04-02 12:53:00

also still pending $100k from them for MD

Cameron Rentch (cameron@internetthings.com)
2025-04-02 14:39:29

@Andy Rogers ^

Cameron Rentch (cameron@internetthings.com)
2025-04-03 15:33:53

@Malissa @Greg Owen where are we with Paraquat Meadow/DL budget? Also we have really limited budget remaining with Legafi/DL too. We need to stay really far ahead we are pushing harder with traffic

Andy Rogers (andy@shield-legal.com)
2025-04-03 15:35:59

@Malissa please send me an email to me with everything you need from meadow

Malissa (malissa@shield-legal.com)
2025-04-03 15:37:08

@Andy Rogers on it. I just talked to Jon and he said he wanted to meet tomorrow too.

Greg Owen (gregowen@shield-legal.com)
2025-04-03 15:49:17

@Cameron Rentch We are over budget for Meadow/DL by $168k. We just talked to Jon Becker and he wasn't sure if the payment of $500k we received this week was for Paraquat or not. He had Malissa reach out to Kyle to verify what campaign that was to be applied to.

Malissa (malissa@shield-legal.com)
2025-04-03 15:49:43

@Andy Rogers the $500k payment is on the email i sent you btw

Cameron Rentch (cameron@internetthings.com)
2025-04-03 16:39:15

@Andy Rogers @Malissa we need 1mil on Paraquat

Cameron Rentch (cameron@internetthings.com)
2025-04-03 16:39:17

Pls

Malissa (malissa@shield-legal.com)
2025-04-03 16:47:24

@Cameron Rentch @Andy Rogers Just let me know when to invoice. πŸ™‚

Greg Owen (gregowen@shield-legal.com)
2025-04-07 10:34:31

@Andy Rogers @Cameron Rentch We are at 80% (24/29) for Ghozland/ACTS - Chowchilla with 387 unconverted leads. We are also at 85% (43/50) for AWD/ACTS - Chowchilla with 227 unconverted leads.

Cameron Rentch (cameron@internetthings.com)
2025-04-07 10:42:42

thanks @Greg Owen, please have Mark Maniora pause these both in leadspedia ASAP

πŸ‘ Greg Owen
Malissa (malissa@shield-legal.com)
2025-04-07 17:56:41

@Andy Rogers can you double check this invoice for meadow? Want to make sure i got that amount right. πŸ™‚

Malissa (malissa@shield-legal.com)
2025-04-07 18:00:32

Thanks @Greg Owen!

@Andy Rogers you mentioned just Rick on the call. Should i send to Kyle and/or Jon as well?

Malissa (malissa@shield-legal.com)
2025-04-07 18:01:38

Thanks @Greg Owen!

@Andy Rogers you mentioned just Rick on the call. Should i send to Kyle and/or Jon as well?

Andy Rogers (andy@shield-legal.com)
2025-04-07 20:31:58

Yes

πŸ‘ Malissa
Greg Owen (gregowen@shield-legal.com)
2025-04-08 17:26:33

@Andy Rogers @Cameron Rentch We are at cap for Ghozland/ACTS - Chowchilla. Should we pull the retainer or keep it going for additional signups?

Andy Rogers (andy@shield-legal.com)
2025-04-08 17:27:20

Let’s pull and go elsewhere. Just let me know the overage

πŸ‘ Greg Owen
Greg Owen (gregowen@shield-legal.com)
2025-04-09 11:46:42

@Andy Rogers @Cameron Rentch We are at 90% (134/149) for Bay Point - IL Juv Hall, with 232 unconverted leads

Andy Rogers (andy@shield-legal.com)
2025-04-09 11:49:57

I do not believe they are going to renew that. As they are working in that other Illinois campaign with SGGH. I will reach out myself now to get confirmation

Andy Rogers (andy@shield-legal.com)
2025-04-17 11:13:40

@Malissa @Cameron Rentch @Greg Owen Malissa, attached you will find the Retainer Doc’s and approved facilities for a new campaign for Meadow/Levy Koningsberg.

Please make sure that you get this to Cam and who ever else needs it for a new campaign.

πŸ‘ Greg Owen
Malissa (malissa@shield-legal.com)
2025-04-17 11:23:32

@Andy Rogers budget? And do you have a distro for Levy Koningsberg or should I reach out?

Andy Rogers (andy@shield-legal.com)
2025-04-17 11:24:16

Please reach out for the distro list. I will have the budget amount by end of day today or tomorrow at the latest.

Malissa (malissa@shield-legal.com)
2025-04-17 11:24:22

Sounds good!

Malissa (malissa@shield-legal.com)
2025-04-17 17:06:11

@Cameron Rentch @Andy Rogers We've got two transactions that have popped up as pending in the bank. One is $1.8m which i know is Flatirons. The other is $500k and I'm guessing Meadow but.... what's that for?

πŸ™Œ Cameron Rentch
Malissa (malissa@shield-legal.com)
2025-04-18 10:16:26

@Cameron Rentch @Andy Rogers The 500k is confirmed to be Meadow. Is this for Depo? Happy to reach out to Kyle if need be

Andy Rogers (andy@shield-legal.com)
2025-04-18 10:16:50

No it’s for AFFF

Malissa (malissa@shield-legal.com)
2025-04-18 10:17:49

k i'll send an invoice for it.

Malissa (malissa@shield-legal.com)
2025-04-18 10:17:54

thanks @Andy Rogers!

Greg Owen (gregowen@shield-legal.com)
2025-04-18 11:34:22

@Andy Rogers @Cameron Rentch 1. We are at 75% (25/33) for AWD/Weiss - TVM with 166 Unconverted leads. 2. We are at 80% (50/60) for Forman/BG - MD Juv Hall with 127 Unconverted leads.

Cameron Rentch (cameron@internetthings.com)
2025-04-18 15:38:28

@Malissa @Mark Maniora if we haven’t yet please pause traffic in LeadsPedia on BG Meadow Maryland abuse. Also let’s pause BG Foreman Maryland

πŸ‘ Malissa
Malissa (malissa@shield-legal.com)
2025-04-18 15:53:52

they're paused @Cameron Rentch

πŸ™Œ Cameron Rentch
Cameron Rentch (cameron@internetthings.com)
2025-04-21 10:51:06

@Greg Owen @Malissa where are we with Kuzyk BG Maryland abuse?

Greg Owen (gregowen@shield-legal.com)
2025-04-21 10:53:36

@Cameron Rentch we are at 55% (11/20) with 26 unconverted leads

Cameron Rentch (cameron@internetthings.com)
2025-04-21 12:09:24

thank you @Greg Owen ^

Greg Owen (gregowen@shield-legal.com)
2025-04-22 12:50:46

@Cameron Rentch @Andy Rogers We are at cap for AWD/Weiss - TVM. Should we keep campaign open for additional signups, or pull the retainer?

Cameron Rentch (cameron@internetthings.com)
2025-04-22 12:51:55

@Greg Owen did we send reporting and financial summary to AWD this morning? @Malissa ^

Greg Owen (gregowen@shield-legal.com)
2025-04-22 12:52:09

I have it to send right now @Cameron Rentch

Cameron Rentch (cameron@internetthings.com)
2025-04-22 12:52:43

Please send and cc me

Greg Owen (gregowen@shield-legal.com)
2025-04-22 12:52:51

@Cameron Rentch just sent it

Greg Owen (gregowen@shield-legal.com)
2025-04-23 10:57:10

@Cameron Rentch @Andy Rogers We are at cap for AWD/ACTS - Chowchilla. Should we pull the retainer or keep open for additional signups?

Cameron Rentch (cameron@internetthings.com)
2025-04-23 13:55:06

@Greg Owen @Malissa we just got more funds, can we please update cap?

πŸ‘ Greg Owen
Malissa (malissa@shield-legal.com)
2025-04-23 14:11:12

@Cameron Rentch It's fixed!

Cameron Rentch (cameron@internetthings.com)
2025-04-23 14:47:20

ty

Malissa (malissa@shield-legal.com)
2025-04-24 10:24:03

@Andy Rogers @Cameron Rentch $500k pending in the bank. I know it's meadow but to which campaign should it be applied? The last payment was for AFFF.

Malissa (malissa@shield-legal.com)
2025-04-24 10:24:14

@Andy Rogers @Cameron Rentch $500k pending in the bank. I know it's meadow but to which campaign should it be applied? The last payment was for AFFF.

Malissa (malissa@shield-legal.com)
2025-04-24 10:24:45

also $250k pending. pretty sure AWKO but will confirm

Malissa (malissa@shield-legal.com)
2025-04-25 10:51:06

@Andy Rogers @Cameron Rentch Just a reminder - we received 500k and just wondering which campaign i should apply it to (meadow)

Cameron Rentch (cameron@internetthings.com)
2025-04-25 11:19:51

Paraquat @Malissa

πŸ‘ Malissa
Malissa (malissa@shield-legal.com)
2025-04-25 11:20:21

thanks @Cameron Rentch!

Malissa (malissa@shield-legal.com)
2025-04-25 11:20:40

i'll get an invoice out to them this morning

Malissa (malissa@shield-legal.com)
2025-04-25 16:33:49

@Andy Rogers @Cameron Rentch $500k just popped up in the bank. No name yet but i'm assuming Meadow.

Cameron Rentch (cameron@internetthings.com)
2025-04-25 19:01:46

@Malissa @Greg Owen @Mark Maniora note I paused Maryland Juv abuse in leadspedia for BG/Kuzyk, as we signed another 3 today and I think we are pretty close to being filled. Please make sure we do not go over on this campaign.

πŸ‘ Malissa
Malissa (malissa@shield-legal.com)
2025-04-25 19:07:51

@Cameron Rentch with the signup we just had, we are at 80% to Cap.

Malissa (malissa@shield-legal.com)
2025-04-25 19:07:59

So yeah just like 3 or 4 left

Malissa (malissa@shield-legal.com)
2025-04-28 11:55:49

@Andy Rogers @Cameron Rentch Sandy Van has requested that we no longer accept lower valued leads for her AFFF campaign with Nations. Andy you're cc'd on the email she sent yesterday afternoon.

Malissa (malissa@shield-legal.com)
2025-04-28 13:49:37

@Cameron Rentch @Andy Rogers we're at 75% to cap for Dr Scott Lee FYI

Malissa (malissa@shield-legal.com)
2025-04-28 13:53:36

also we are at 79% to cap on Illinois Youth Treatment Abuse - SGGH/Gough (TIP) - Contract

Andy Rogers (andy@shield-legal.com)
2025-04-28 13:55:02

Do NOT let Gough go over. We have money for Baypoint with SGGH on Illinois so manage accordingly

πŸ‘ Malissa
Malissa (malissa@shield-legal.com)
2025-04-28 13:56:46

@Andy Rogers everything else they have is under 45%. the next biggest is Dr Brock at 44% to cap. I'll keep an eye on them. I've asked for a report on the MI clergy and YRTC so i can work out the $$.

Malissa (malissa@shield-legal.com)
2025-05-01 17:48:23

@Cameron Rentch will Dicello be doing any more Instant Soup after this current run? We're at 90%. It's been a busy noodle soup day

Cameron Rentch (cameron@internetthings.com)
2025-05-01 18:31:39

yes @Malissa but we are not getting final approval until next week for larger budget

Malissa (malissa@shield-legal.com)
2025-05-02 10:36:42

@Cameron Rentch It wasn't requested in the invoice channel - $25k received from Crump

Cameron Rentch (cameron@internetthings.com)
2025-05-02 10:40:18

thank you

Malissa (malissa@shield-legal.com)
2025-05-02 11:44:22

@Cameron Rentch following up on Greg's message from last week about TVM - AWD/Anapol. Will they be sending more funds? We are over cap on that campaign and i didn't see any updates.

Cameron Rentch (cameron@internetthings.com)
2025-05-02 12:12:14

@Malissa run reporting ASAP, with Summary, send to AWD right away and cc me, make sure Carter is copied

Malissa (malissa@shield-legal.com)
2025-05-02 12:22:49

On it

Cameron Rentch (cameron@internetthings.com)
2025-05-02 12:36:44

@Andy Rogers @Malissa can we please jump on a call to talk about some campaigns I need some updates

AWKO LDS MI YRTC MI Juv Abuse

Andy Rogers (andy@shield-legal.com)
2025-05-02 12:38:56

@Cameron Rentch @Malissa @Greg Owen I am on my way to a doctor appointment.

MI YRTC and Juv Abuse are what Becker wants to cover on our call this afternoon. They have the funds and he wants to start early next week. But we need to discuss

AWKO LDS we have their funds and after meeting this week I am supposed to get an updated retaineer agreement. THe team is working on the intake now.

Malissa (malissa@shield-legal.com)
2025-05-02 12:39:39

@Cameron Rentch with AWKO LDS, once we get the updated retainer and confirmation on criteria we'll be good to go.

Cameron Rentch (cameron@internetthings.com)
2025-05-02 12:40:04

ok

Malissa (malissa@shield-legal.com)
2025-05-02 12:40:26

@Andy Rogers will Meadow be working with SGGH on those?

Cameron Rentch (cameron@internetthings.com)
2025-05-02 12:40:35

is there anyone RIGHT now we can send MI YRTC to? We have bunch of leads that havent sold beciase I was never told we needed to pause traffic

Cameron Rentch (cameron@internetthings.com)
2025-05-02 12:40:44

@Andy Rogers @Malissa

Cameron Rentch (cameron@internetthings.com)
2025-05-02 12:41:06

it si REALLY hard to restart this campaign, so tryoing to avoid any pausing

Malissa (malissa@shield-legal.com)
2025-05-02 12:41:58

It might not be kosher but if i get basic info i could send the new MI YRTC campaign to the team for setup. Then leads could go straight to that one right away. They'd sit but they'd get worked?

Malissa (malissa@shield-legal.com)
2025-05-02 12:43:20

@Cameron Rentch @Andy Rogers

Andy Rogers (andy@shield-legal.com)
2025-05-02 12:46:02

@Cameron Rentch I am calling Jon right now, to see if we can start sending to Meadow/SGGH. They are πŸ’― doing it

Malissa (malissa@shield-legal.com)
2025-05-02 12:47:32

@Andy Rogers Do you know the budget?

Malissa (malissa@shield-legal.com)
2025-05-02 12:47:56

or at least - don't forget to ask him about the budget lol

Malissa (malissa@shield-legal.com)
2025-05-02 12:55:31

@Cameron Rentch @Andy Rogers I'll go ahead and send the basics to the call center setup team to get the ball rolling. That way when we do have the retainer etc we'll be able to start quickly

Cameron Rentch (cameron@internetthings.com)
2025-05-02 14:45:31

@Malissa can you resend the financial TVM ASAP and break out the campaigns by the two rates on the summary page? Also, if you can move to google sheet easier to share without having to open. Thank you

πŸ‘ Malissa
Malissa (malissa@shield-legal.com)
2025-05-02 14:47:11

@Cameron Rentch Yeah after i hit send i realized i forgot the google sheet.

Malissa (malissa@shield-legal.com)
2025-05-02 14:47:36

we actually just got a couple of more signups. I'm going to re-run

Cameron Rentch (cameron@internetthings.com)
2025-05-02 14:48:25

also @Malissa the sent contracts is missing one the the TVM payments, how much did AWD send in total?

Cameron Rentch (cameron@internetthings.com)
2025-05-02 14:48:40

I thiught it was 500k

Malissa (malissa@shield-legal.com)
2025-05-02 14:50:12

it was 400

Malissa (malissa@shield-legal.com)
2025-05-02 14:50:52

TVM they wanted me to send as GFO

Malissa (malissa@shield-legal.com)
2025-05-02 14:51:40

1 invoice was 250 and the other was 150

Cameron Rentch (cameron@internetthings.com)
2025-05-02 14:51:51

thank you

Cameron Rentch (cameron@internetthings.com)
2025-05-02 14:51:58

got it

Andy Rogers (andy@shield-legal.com)
2025-05-02 14:52:00

That is correct

Cameron Rentch (cameron@internetthings.com)
2025-05-02 15:03:10

@Malissa do you have the google link handy for TVM I want to send an email right now

Malissa (malissa@shield-legal.com)
2025-05-02 15:04:18

almost. 2min

Malissa (malissa@shield-legal.com)
2025-05-02 15:06:37

@Cameron Rentch

Malissa (malissa@shield-legal.com)
2025-05-02 15:06:46

you can share that with Carter. He'll have access

Cameron Rentch (cameron@internetthings.com)
2025-05-02 15:10:32

awesome thank you

πŸ‘ Malissa
Malissa (malissa@shield-legal.com)
2025-05-02 15:15:30

FYI @Cameron Rentch @Andy Rogers we're at 80% combined for Bard PowerPort - Crump/Lanier - Shield Legal Bard Powerport Catheter - Crump/Simmons (TIP) - Contract

Since they share a budget i wanted to give a heads up on both

Cameron Rentch (cameron@internetthings.com)
2025-05-02 18:00:45

@Malissa thank you, can we get a report together and circulate to Jon Wright with summary?

Cameron Rentch (cameron@internetthings.com)
2025-05-02 18:01:31

not needed today! Monday is fine

πŸ‘ Malissa
Malissa (malissa@shield-legal.com)
2025-05-02 18:01:35

Yeah I can work on that @Cameron Rentch. I’ll ask the reporting team for a current report for both

Greg Owen (gregowen@shield-legal.com)
2025-05-05 15:35:33

@Andy Rogers @Cameron Rentch We are at cap for Bay Point - IL Juv Hall. Pulling retainer now. Where should we move the 238 unconverted leads?

Malissa (malissa@shield-legal.com)
2025-05-06 10:30:47

@Andy Rogers @Cameron Rentch Re IL Juv Hall BG - Bay Point. Can we move the leads somewhere else? I believe the only other open IL Juv Hall campaigns are DL/Flatirons and Crump

Cameron Rentch (cameron@internetthings.com)
2025-05-06 10:41:56

@Andy Rogers we need to know asap if they are going to renew or continue on IL

Andy Rogers (andy@shield-legal.com)
2025-05-06 10:43:45

@Malissa please email Sean Coleman direct and copy me. I’ll follow up with a call from that

πŸ‘ Malissa
Malissa (malissa@shield-legal.com)
2025-05-06 10:44:49

@Andy Rogers on it

Malissa (malissa@shield-legal.com)
2025-05-06 12:22:08

@Cameron Rentch Did you ever hear back from Carter regarding TVM? Should we pause or keep going? We're currently over cap.

Cameron Rentch (cameron@internetthings.com)
2025-05-06 13:21:23

Keep signing for now, have traffic paused, but have a call with AWD later today - will forward you an email later

πŸ‘ Malissa
Malissa (malissa@shield-legal.com)
2025-05-07 13:11:07

@Andy Rogers re SGGH/Meadow MI YRTC - do we have a retainer yet? Budget? I'm ready to get it going.

Cameron Rentch (cameron@internetthings.com)
2025-05-07 13:16:02

not yet @Malissa

Malissa (malissa@shield-legal.com)
2025-05-07 13:16:32

thanks @Cameron Rentch

Greg Owen (gregowen@shield-legal.com)
2025-05-13 12:58:25

@Andy Rogers @Cameron Rentch we are at cap for AWKO/Gold Law - Chowchilla. Are we ok to pull the retainer and move the 91 unconverted leads?

Cameron Rentch (cameron@internetthings.com)
2025-05-14 00:09:15

Yes @Greg Owen pull retainer pls

Andy Rogers (andy@shield-legal.com)
2025-05-19 14:38:36

@Cameron Rentch @Malissa Please see the attached Spreadsheet. This is what we have active for Meadow Law. As you can see the only two campaogns that cannot go over are Paraquat and Maryland. You can see that we still have funds in all of the AFFF/PFAS campaigns as well as Depo. What we will need to do is have @Malissa abd @Greg Owen look at cadence so I can stay ahead of them for funding.

Please call if you have any questions

πŸ‘ Greg Owen
Andy Rogers (andy@shield-legal.com)
2025-05-19 14:39:37

@Cameron Rentch @Malissa Please see the attached Spreadsheet. This is what we have active for Meadow Law. As you can see the only two campaogns that cannot go over are Paraquat and Maryland. You can see that we still have funds in all of the AFFF/PFAS campaigns as well as Depo. What we will need to do is have @Malissa abd @Greg Owen look at cadence so I can stay ahead of them for funding.

Please call if you have any questions

Andy Rogers (andy@shield-legal.com)
2025-05-19 14:39:59
Greg Owen (gregowen@shield-legal.com)
2025-05-20 10:19:33

@Cameron Rentch We received a payment from Bay Point to continue their IL Juv Hall campaign. Are we ok to put the retainer back in and turn LP back on?

Greg Owen (gregowen@shield-legal.com)
2025-05-21 12:33:59

@Andy Rogers @Cameron Rentch We are at 70% 42/60 for Meadow/SGGH - MI Foster Care. Campaign is moving fast, we had 19 sign ups yesterday and 8 already today.

Cameron Rentch (cameron@internetthings.com)
2025-05-21 12:35:59

@Greg Owen MI is "uncapped" - we need to move collective budget around bewteen all MI campaigns (Juv, YRTC,Foster). When we get to 100k balance next 500k invoice needs to be sent

Cameron Rentch (cameron@internetthings.com)
2025-05-21 12:36:07

@Andy Rogers @Malissa ^

Greg Owen (gregowen@shield-legal.com)
2025-05-21 12:37:57

Thank you @Cameron Rentch

Malissa (malissa@shield-legal.com)
2025-05-21 12:39:44

@Greg Owen @Cameron Rentch @Andy Rogers I was looking at that. I'll move the money around so we're good. : )

Malissa (malissa@shield-legal.com)
2025-05-22 10:12:11

@Cameron Rentch we received $250k from Crump this morning but I don’t see an open invoice for that amount or anything in slack. How should I apply? I can reach out to Jon if need be.

Cameron Rentch (cameron@internetthings.com)
2025-05-22 10:47:05

@Malissa yes please reach out to Jon. thank you

Malissa (malissa@shield-legal.com)
2025-05-22 10:48:40

Will do!

Malissa (malissa@shield-legal.com)
2025-05-22 11:28:45

@Cameron Rentch @Andy Rogers @Greg Owen the 250k received from Crump is for wood pellets. Jon informed me that elg should be sending the same about this week.

Malissa (malissa@shield-legal.com)
2025-05-22 13:03:54

*Thread Reply:* Wood Pellets/MI

Malissa (malissa@shield-legal.com)
2025-05-30 09:58:46

@Andy Rogers @Cameron Rentch @Greg Owen It wasn't requested in the invoicing channel so i wasn't sure if i should post there or not.

$100k received from Wright & Schulte.

Malissa (malissa@shield-legal.com)
2025-06-03 10:28:48

@Cameron Rentch $269,400 received from Pride Law. Sending here since all of the stuff with that invoice that was outside of the invoicing channel.

πŸ™Œ Cameron Rentch
Greg Owen (gregowen@shield-legal.com)
2025-06-09 10:28:53

@Andy Rogers @Cameron Rentch We are 2 from cap on Meadow/DL - Paraquat. Are we pulling the retainer when we reach cap?

Andy Rogers (andy@shield-legal.com)
2025-06-09 10:29:16

Yes we cannot go over

Greg Owen (gregowen@shield-legal.com)
2025-06-09 10:29:22

Got it

Cameron Rentch (cameron@internetthings.com)
2025-06-09 10:54:32

@Malissa please check this as last week we still had 1mil remaning in Meadow Paraqiuat^^^

Cameron Rentch (cameron@internetthings.com)
2025-06-09 10:54:37

check ASAP

Malissa (malissa@shield-legal.com)
2025-06-09 10:59:50

according to Paid vs Spent, we've spent $6,624,500 and $51,500 is remaining.

Here's where we were on Friday (i haven't updated this chart yet for this morning)

@Cameron Rentch

Malissa (malissa@shield-legal.com)
2025-06-09 11:01:06

we had 12 signups since EOD Friday

Malissa (malissa@shield-legal.com)
2025-06-09 11:08:54

on Friday we had a total of 6 signups.

Cameron Rentch (cameron@internetthings.com)
2025-06-09 11:17:07

got it @Malissa

Greg Owen (gregowen@shield-legal.com)
2025-06-09 18:55:16

@Andy Rogers @Cameron Rentch We have reached cap for Meadow/DL - Paraquat. Pulling the retainer. Should we move leads?

Cameron Rentch (cameron@internetthings.com)
2025-06-09 19:15:30

no we can not move them

Greg Owen (gregowen@shield-legal.com)
2025-06-12 15:14:10

@Andy Rogers @Cameron Rentch We are at 80% for AWKO - Mormon Victim Abuse. We have $50,000 left for both In-SOL and OSOL of their $250,000 budget.

Andy Rogers (andy@shield-legal.com)
2025-06-12 15:15:37

Okay let’s keep close on that as they are reviewing

πŸ‘ Greg Owen
Greg Owen (gregowen@shield-legal.com)
2025-06-13 09:58:22

@Andy Rogers @Cameron Rentch We are at cap for AWKO - Mormon Victim Abuse. Should we keep open or pull the retainer?

Cameron Rentch (cameron@internetthings.com)
2025-06-13 12:04:34

@Andy Rogers ^

Andy Rogers (andy@shield-legal.com)
2025-06-13 12:11:31

I just messaged Justin again, this time I copied Bryan and told him I was going to just send an invoice. I’ll let you know as soon as I hear back. I have been trying to get Justin for three days now

Cameron Rentch (cameron@internetthings.com)
2025-06-13 12:19:37

@Andy Rogers in the meantime, I will pause the traffic. We will still sign up existing leads, but they won’t get any new leads until you give a greenlight.

Cameron Rentch (cameron@internetthings.com)
2025-06-13 12:20:18

Also you should prep Wrighr and Schulte their budget will go fast like done by tmrw or Sunday

Cameron Rentch (cameron@internetthings.com)
2025-06-13 12:20:24

At this pace

Andy Rogers (andy@shield-legal.com)
2025-06-13 12:20:31

Okay

Greg Owen (gregowen@shield-legal.com)
2025-06-16 15:44:25

@Cameron Rentch the new Ghozland/Meadow/SGGH - MI Campaigns are all set up. Can we turn on LP? Also, we are almost at cap for Meadow/SGGH - MI campaigns, should we pause them in LP and transfer leads to the Ghozland campaign?

Cameron Rentch (cameron@internetthings.com)
2025-06-16 15:59:12

@Greg Owen get with @Mark Maniora to ensure the priority of contracts in LeadsPedia is set

  1. In SOL = 1
  2. OSOL = 2 Also need to ensure filters are cloned for EACH CONTRACT.

Once he has verified validated this, then I will go in and triple check before we activate anything

Greg Owen (gregowen@shield-legal.com)
2025-06-16 16:05:46

@Cameron Rentch Mark has set the priority levels and verified the filters are cloned for each contract.

Greg Owen (gregowen@shield-legal.com)
2025-06-17 10:15:03

@Cameron Rentch `any update on the above?

Cameron Rentch (cameron@internetthings.com)
2025-06-17 11:05:59

@Mark Maniora please turn on^

πŸ‘ Greg Owen
Greg Owen (gregowen@shield-legal.com)
2025-06-20 11:41:05

@Andy Rogers @Cameron Rentch

We are at 75% (15/20) for Wright Schulte - Gaming Sextortion. We have 104 unconverted leads and are converting 12%. Averaging 3 signups a day the last 5 days.

Malissa (malissa@shield-legal.com)
2025-06-20 12:00:42

@Cameron Rentch @Andy Rogers

We are at 80% to budget for AWD - Anapol Weiss TVM. There are 2569 unconverted leads with a 5% conversion rate. We're averaging about 2 a day so we'll hit cap in about 10-11 days.

I'll send them an email with the % to cap and a report.

Malissa (malissa@shield-legal.com)
2025-06-20 12:46:15

@Cameron Rentch @Andy Rogers @Greg Owen

I just had a call with Jon Becker. He said that they are sending $250k for Depo next week along with other funds to pay off balances, add to campaigns, etc. He stated he'd get me the retainer and everything for intake for Kansas and Arizona. Funds for Kansas will be coming next week. I'm kind of shocked about Arizona.

He also said that AFFF/PFAS is winding down and asked to move $200,000 to Michigan Abuse. I had him email me that request.

Malissa (malissa@shield-legal.com)
2025-06-20 12:56:55

Let me know if moving that is ok or if either of you would like to give him a call about that. πŸ™‚

Andy Rogers (andy@shield-legal.com)
2025-06-20 12:58:37

I believe Cam was going to be speaking with Jon today so let’s wait to hear from Cam

Malissa (malissa@shield-legal.com)
2025-06-20 12:58:48

Sounds good to me! thanks @Andy Rogers

Andy Rogers (andy@shield-legal.com)
2025-06-20 12:58:49

@Cameron Rentch @Malissa ^

Andy Rogers (andy@shield-legal.com)
2025-06-20 13:50:32

@Malissa @Cameron Rentch I just spoke with Cam and Jon. It is okay to move the money to Michigan but leave some in AFFF. We are going to pause new traffic but through the weekend we need to continue to work the AFFF campaign and not pull any retainers

πŸ‘ Malissa
Malissa (malissa@shield-legal.com)
2025-06-20 13:53:32

on it @Andy Rogers!

Malissa (malissa@shield-legal.com)
2025-06-20 13:56:02

If i move the $200k he requested, that will leave about $22k left for AFFF

Malissa (malissa@shield-legal.com)
2025-06-20 13:58:13

out of an abundance of caution going into the weekend, i'll move $150k and leave $72500 in their AFFF campaigns. I can move the rest on Monday. @Andy Rogers @Cameron Rentch

Malissa (malissa@shield-legal.com)
2025-06-20 14:36:28

@Cameron Rentch Becker just sent me the MSA for the new Depo campaign with SGGH. Let me know when you'd like for me to send it via pandadoc for signatures.

Malissa (malissa@shield-legal.com)
2025-06-20 14:37:19

@Andy Rogers @Cameron Rentch Becker also sent me the intake docs for Depo with SGGH FYI. He said $250k is being sent today. Since it's afternoon, we'll probably see that Monday

Greg Owen (gregowen@shield-legal.com)
2025-06-23 09:34:48

@Andy Rogers @Cameron Rentch We are at cap for Wright & Schulte - Gaming Sextortion. Should we pull the retainer or keep open for additional signups?

Cameron Rentch (cameron@internetthings.com)
2025-06-23 09:48:31

@Malissa where are we with AWD/Anapol and Sextortion?

Malissa (malissa@shield-legal.com)
2025-06-23 09:51:07

It’s ready in LR/intake

Malissa (malissa@shield-legal.com)
2025-06-23 09:51:13

@Cameron Rentch

Cameron Rentch (cameron@internetthings.com)
2025-06-23 09:51:48

@Malissa what about the AWD/Cooper campaign?

Malissa (malissa@shield-legal.com)
2025-06-23 09:52:21

@Cameron Rentch I need the distro for cooper and I haven’t gotten that yet. AWD gave me a contact but he hasn’t answered yet

Cameron Rentch (cameron@internetthings.com)
2025-06-23 09:52:37

please email them this morning, cc me

πŸ‘ Malissa
Malissa (malissa@shield-legal.com)
2025-06-23 09:52:52

Currently driving. Will do when I get in

Malissa (malissa@shield-legal.com)
2025-06-23 09:53:16

Well I’m parked right now. I’m not slacking and actually steering my car

Cameron Rentch (cameron@internetthings.com)
2025-06-23 09:56:57

ok

Cameron Rentch (cameron@internetthings.com)
2025-06-23 10:20:30

@Malissa please make sure ALL AWD reporting gets sent out today exactly as I rewuested it to be sent, with the budget screenshot in the body of the text, and the cadence of budget. You can send all to me for reviee if you like

Greg Owen (gregowen@shield-legal.com)
2025-06-23 10:22:56

@Andy Rogers @Cameron Rentch We are at 80% (128/160) for AWD - TVM. We have 2,568 unconverted leads. Current pacing puts us at cap in about 10 days

Cameron Rentch (cameron@internetthings.com)
2025-06-23 10:38:16

@Malissa @Greg Owen make sure this gets into the reporting that Malissa will send today, but factor in the return/replacement requests

πŸ‘ Malissa
Malissa (malissa@shield-legal.com)
2025-06-23 10:56:01

@Cameron Rentch @Andy Rogers We've received the distro email for Cooper Masterman. I double checked with Sobo - that's all we needed. Once Mark updates the list we're good to go

Malissa (malissa@shield-legal.com)
2025-06-23 13:24:53

@Cameron Rentch @Andy Rogers Depo Provera - SGGH/Meadow is now live in LR. We've received $500k this morning from Meadow to apply towards the open Seeger balance and use the rest towards the SGGH campaign.

Can we pull the retainer for Seeger and move the leads to SGGH?

Malissa (malissa@shield-legal.com)
2025-06-23 16:36:08

@Cameron Rentch @Andy Rogers Gaming Sextortion AWD - Cooper Masterman is ready

Malissa (malissa@shield-legal.com)
2025-06-24 12:37:39

@Cameron Rentch did you see Matt's reply to your email regarding Roblox Sextortion with Anapol that we're approved to launch? I'm about to send a similar email regarding Cooper Masterman. FYI @Andy Rogers

Cameron Rentch (cameron@internetthings.com)
2025-06-24 15:24:34

@Malissa I will activate leadspedia now. Note @Mark Maniora

Cameron Rentch (cameron@internetthings.com)
2025-06-24 15:25:54

@Malissa let me know as soon as the Ghozland/SGGH/Meadow sextortion campaign is ready

πŸ‘ Malissa
Andy Rogers (andy@shield-legal.com)
2025-06-24 15:38:28

@Cameron Rentch @Greg Owen @Malissa attached are the LDS campaigns for AWKO and for DL. The glaring issue is that DL has 40 ISOL cases from Utah and that AWKO only has 3. And AWKO has 38 OSOL from Utah and DL has 17. I believe one way to resolve this temporarily would be to not accept OSOL from Utah for AWKO.

If we cant resolve this, then just be aware that we will most likley need to stop the campaign when we reach the $500k spend as they are okay with a 40-60 ratio but not 88% OSOL

Malissa (malissa@shield-legal.com)
2025-06-24 16:25:46

@Cameron Rentch Gaming Sextortion Ghozland/SGGH/Meadow is ready!

Cameron Rentch (cameron@internetthings.com)
2025-06-24 21:45:38

@Malissa @Mark Maniora please activate and ensure filters in LeadsPedia match exactly, and priority matches exactly to Wright Schulte

Cameron Rentch (cameron@internetthings.com)
2025-06-25 09:47:27

Reminder @Mark Maniora ^ @Malissa

Malissa (malissa@shield-legal.com)
2025-06-25 11:30:54

@Cameron Rentch @Andy Rogers Following up on my Depo Provera Meadow message from Monday. Depo with SGGH is ready. Can we pull the retainer for Seeger and transfer leads to the new SGGH campaign? We've received payment.

Greg Owen (gregowen@shield-legal.com)
2025-06-25 11:40:05

@Andy Rogers @Cameron Rentch Wright Schulte - Sextortion is at 80% (32/40). Pacing is about 4 signed contracts a day (2 days remaining). Are we pulling retainer when we reach cap and moving leads to Ghozland - Sextortion? Mark has confirmed filters and priority for Ghozland - Sextortion matches Wright Schulte in LP.

Cameron Rentch (cameron@internetthings.com)
2025-06-25 12:26:18

@Malissa Levinson is going to put some more money into PFAS campaign with ELG. I think we already have a contract on it? Criteria should be same as flatirons most recent. Campaign should be ELG Levinson TC, 300k. Also we have some funds remaking in ELG Levinson TCMC (approx 30k). Need to make sure criteria same too.

We have funds on both. Please get set up asap. Should be already existing just need to update.

πŸ‘ Malissa
Cameron Rentch (cameron@internetthings.com)
2025-06-25 12:26:32

@Mark Maniora ^

Malissa (malissa@shield-legal.com)
2025-06-25 12:39:56

@Cameron Rentch Just confirming the new ELG Levinson TC is for AFFF/PFAS Military Base Exposure (Same as Flatirons).

Malissa (malissa@shield-legal.com)
2025-06-25 12:45:05

also do we have a hard stop when we hit those budgets?

Malissa (malissa@shield-legal.com)
2025-06-25 13:00:59

Also i don't see a PFAS ELG/Levinson TC, just TCMC. Getting it posted in the call center channel shortly

Malissa (malissa@shield-legal.com)
2025-06-25 13:01:02

@Cameron Rentch

Malissa (malissa@shield-legal.com)
2025-06-25 14:07:45

@Andy Rogers I just saw Jake's message about sending them another 50k invoice for Sextortion. Working on it now.

Malissa (malissa@shield-legal.com)
2025-06-25 15:10:24

@Andy Rogers @Cameron Rentch I got a call from Brendan about San Bernardino. I'm sending the invoices now. πŸ™‚

Malissa (malissa@shield-legal.com)
2025-06-25 15:10:32

one is for the overage, the other is for the continuation

Andy Rogers (andy@shield-legal.com)
2025-06-25 15:12:15

Thank you you

πŸ‘ Malissa
Malissa (malissa@shield-legal.com)
2025-06-25 15:12:27

never a problem @Andy Rogers!

Malissa (malissa@shield-legal.com)
2025-06-25 16:21:59

@Cameron Rentch @Andy Rogers FYI, Brendan @ GFO said they're sending $325k tomorrow to re-up Chowchilla.

Malissa (malissa@shield-legal.com)
2025-06-25 16:22:53

@Cameron Rentch @Andy Rogers FYI, Brendan @ GFO said they're sending $325k tomorrow to re-up Chowchilla.

Andy Rogers (andy@shield-legal.com)
2025-06-26 11:48:48

Yes

Cameron Rentch (cameron@internetthings.com)
2025-06-26 13:18:15

Also turn on PFAS Brent Carson soon as it is ready @Malissa

πŸ‘ Malissa
Malissa (malissa@shield-legal.com)
2025-06-26 13:24:34

@Cameron Rentch It's ready.

Malissa (malissa@shield-legal.com)
2025-06-26 13:24:57

We will get it turned on in LP

Greg Owen (gregowen@shield-legal.com)
2025-06-27 12:13:19

@Andy Rogers @Cameron Rentch John Ye/ELG - AFFF is at 70% (14/20). Current pacing is about 1 signup a day. We have 221 unconverted leads.

Andy Rogers (andy@shield-legal.com)
2025-06-27 12:15:11

I have a call with him today. If it’s one per day keep it open until I speak with him

πŸ‘ Greg Owen
Greg Owen (gregowen@shield-legal.com)
2025-06-29 14:31:45

@Andy Rogers @Cameron Rentch We are at 70% (15/21) for Carson/ELG - AFFF-PFAS Military Base. Campaign is pacing at about 5 signups a day. It has only been running since Friday. 4 signups Friday, 6 yesterday and 5 today.

Andy Rogers (andy@shield-legal.com)
2025-06-29 14:43:06

It needs to be pulled as he has no more money to invest

Cameron Rentch (cameron@internetthings.com)
2025-06-29 17:18:43

@Mark Maniora please pause LeadsPedia

Malissa (malissa@shield-legal.com)
2025-06-29 17:29:12

It’s paused @Cameron Rentch

Greg Owen (gregowen@shield-legal.com)
2025-06-30 12:47:58

@Cameron Rentch We are at 85% (34/40) for ELG/Levinson (TC) - PFAS Military Base. We are pacing at about 7 signups a day

Cameron Rentch (cameron@internetthings.com)
2025-06-30 12:53:52

@Greg Owen we can add another 30 to cap

πŸ‘ Greg Owen
Malissa (malissa@shield-legal.com)
2025-06-30 13:01:00

fyi @Andy Rogers @Cameron Rentch we are at 85% to budget for Transvaginal Mesh AWD/Anapol Weiss. We are pacing at about 2 signups a day.

Cameron Rentch (cameron@internetthings.com)
2025-06-30 14:07:18

@Malissa include in your Monday summary, be sure tyo reach out to Jackson for latest return requests and ensure that gets updated in your reporting

πŸ‘ Malissa
Malissa (malissa@shield-legal.com)
2025-06-30 14:13:38

Made myself a reminder @Cameron Rentch for next week. Just got to get into the habit of that. I did check his report this AM.

πŸ™Œ Cameron Rentch
Greg Owen (gregowen@shield-legal.com)
2025-07-02 14:19:49

@Cameron Rentch We are at 85% (60/70) for ELG/Levinson (TC) - PFAS Military Base. Pacing has picked up the last 2 days, we signed 31 contracts on Monday and Tuesday.

Cameron Rentch (cameron@internetthings.com)
2025-07-02 14:20:36

@Greg Owen we are ok to add another 40

πŸ‘ Greg Owen
Malissa (malissa@shield-legal.com)
2025-07-02 14:28:03

@Andy Rogers Carson is asking that the CPC be added to the invoice. Is it the same as it was when the campaign was live previously? It was $8300. The CPC was not on previous invoices.

Andy Rogers (andy@shield-legal.com)
2025-07-02 14:28:47

Please put $7500 - $8200

Malissa (malissa@shield-legal.com)
2025-07-02 14:28:57

will do. Thanks Andy!

Greg Owen (gregowen@shield-legal.com)
2025-07-02 15:50:51

@Andy Rogers @Cameron Rentch We are at 70% to budget on Wright Schulte - Mormon Victim Abuse. Of the 51 signups, 48 have been OSOL. They have $62,000 left in their budget, about 24 OSOL signups. Pacing is about 2 a day, so about 12 days of funding left if they are all OSOL cases.

Malissa (malissa@shield-legal.com)
2025-07-02 16:57:48

@Cameron Rentch Re Wright Schulte - Mormon Victim Abuse. We have 267 unconverted leads. Should you or Mark pause LP until we get a funding update?

Cameron Rentch (cameron@internetthings.com)
2025-07-02 17:00:28

@Malissa that’s a question for @Andy Rogers

Andy Rogers (andy@shield-legal.com)
2025-07-02 17:04:14

@Cameron Rentch we spoke, she will reply here momentarily

Andy Rogers (andy@shield-legal.com)
2025-07-02 17:04:36

But the answer is yes we need to, at least until after you and I speak later

Malissa (malissa@shield-legal.com)
2025-07-02 17:05:36

@Cameron Rentch Here are the details- We've got 111 being worked right now (contact attempts with vms left). We're getting about 2-3 signups a day right now and we don't know if they'll want to re-up/add funds. We should pause leadspedia to work the leads we have for now.

Malissa (malissa@shield-legal.com)
2025-07-02 17:10:26

@Cameron Rentch Here are the details- We've got 111 being worked right now (contact attempts with vms left). We're getting about 2-3 signups a day right now and we don't know if they'll want to re-up/add funds. We should pause leadspedia to work the leads we have for now.

Malissa (malissa@shield-legal.com)
2025-07-03 10:41:49

@Cameron Rentch We've gotten more signups for Wright Schulte - Mormon Abuse. We don't know if they'll add funding. Can we have Mark pause this campaign in LP?

Cameron Rentch (cameron@internetthings.com)
2025-07-03 11:14:59

yes @Malissa

Malissa (malissa@shield-legal.com)
2025-07-03 11:16:27

thank you @Cameron Rentch!

Malissa (malissa@shield-legal.com)
2025-07-03 12:53:29

@Cameron Rentch of the approx 30k you said was left on Levinson TCMC, we've got about $7500 left which is about 5 retainers if my math is right. Do you want us to keep it going or stop when we hit those five?

Malissa (malissa@shield-legal.com)
2025-07-03 12:56:26

Dashboard has a rate of 1500

Cameron Rentch (cameron@internetthings.com)
2025-07-03 17:17:49

@Malissa I will review and let you know

πŸ‘ Malissa
Malissa (malissa@shield-legal.com)
2025-07-04 15:52:44

@Cameron Rentch we are 1 away from that cap on levinson tc mc

Malissa (malissa@shield-legal.com)
2025-07-04 15:52:55

@Cameron Rentch we are 1 away from that cap on levinson tc mc

Cameron Rentch (cameron@internetthings.com)
2025-07-04 15:53:52

Ok @Malissa pull retainer after. I will pause traffic asaap

πŸ‘ Malissa
Malissa (malissa@shield-legal.com)
2025-07-07 10:13:58

@Cameron Rentch Pulling the retainer for Levinson TCMC.

Malissa (malissa@shield-legal.com)
2025-07-07 10:14:11

per previous instructions

Greg Owen (gregowen@shield-legal.com)
2025-07-07 10:30:07

@Andy Rogers @Cameron Rentch We are at 85% (17/20) for Ye/ELG - AFFF. We are pacing at 2 signups a week with 322 unconverted leads. Should we pause LP?

Greg Owen (gregowen@shield-legal.com)
2025-07-07 11:47:18

@Cameron Rentch @Andy Rogers We are at 90% (100/110) for ELG/Levinson (TC) - PFAS Military Base. Pacing is about 9 signups a day

Malissa (malissa@shield-legal.com)
2025-07-07 11:53:43

@Cameron Rentch We are at 98% now of the total Flatirons budget for Chowchilla. That's about 14 retainers. We're pacing at about 6 signups a day. We will use the budget by ~ EOD tomorrow.

Malissa (malissa@shield-legal.com)
2025-07-07 11:54:00

@Cameron Rentch We are at 98% now of the total Flatirons budget for Chowchilla. That's about 14 retainers. We're pacing at about 6 signups a day. We will use the budget by ~ EOD tomorrow.

Cameron Rentch (cameron@internetthings.com)
2025-07-07 12:18:00

thank you @Malissa

Malissa (malissa@shield-legal.com)
2025-07-07 15:14:48

@Cameron Rentch we're getting pretty tight on the DL/Flatirons budget for NEC. I think i mentioned it last week but can't find the slack.

Malissa (malissa@shield-legal.com)
2025-07-07 15:15:05

do you know if they'll increase that one?

Greg Owen (gregowen@shield-legal.com)
2025-07-07 16:32:45

@Cameron Rentch we are now at cap for ELG/Levinson (TC) - PFAS Military Base. Should we keep open for additional signups?

Malissa (malissa@shield-legal.com)
2025-07-10 18:17:08

@Andy Rogers @Cameron Rentch

FYI We are now at 77% to budget for AWD's San Bernardino campaign. Yes, they paid their most recent invoice and it was applied.

We have 108 in SOL 194 OSOL They're averaging about 8 signups a day. However, they've had 19 signups today so far.

Andy Rogers (andy@shield-legal.com)
2025-07-11 16:59:31

I spoke with Ben and they do not want to go over. They want to stop unless we can only deliver in statue. I might have another buyer if we want

@Cameron Rentch @Malissa

πŸ‘ Greg Owen
Cameron Rentch (cameron@internetthings.com)
2025-07-11 21:42:03

@Andy Rogers we spoke after and to clarify we want to sign remaining in SOL leads only, charging 7000/per

Cameron Rentch (cameron@internetthings.com)
2025-07-11 21:42:24

Please let us know if this is good

Andy Rogers (andy@shield-legal.com)
2025-07-11 21:42:58

They have NOT confirmed. Matt is going to let me know in the morning. @Cameron Rentch

Cameron Rentch (cameron@internetthings.com)
2025-07-11 22:06:30

thanks @Andy Rogers just making sure we are keeping our teams updated

Andy Rogers (andy@shield-legal.com)
2025-07-11 22:07:31

@Cameron Rentch yup, sorry I texted Malissa and Greg. Trying not to bother you while you are in wonderland

Cameron Rentch (cameron@internetthings.com)
2025-07-11 22:11:08

all good no bother thank you brother@

Cameron Rentch (cameron@internetthings.com)
2025-07-11 22:11:21

@Andy Rogers

slackbot
2025-07-13 12:37:58

Greg Owen moved some of the messages from this conversation to one with #mpdm-malissa--markmaniora--gregowen--cameron--andy-1.

Malissa (malissa@shield-legal.com)
2025-07-16 10:22:20

Good news @Andy Rogers @Cameron Rentch. With the recent payments for MI Pollution/Wood Pellets from BCL and ELG, the balance for Wood Pellets is now paid in full. We still have about $289k left on Michigan Pollution. I'll send an updated report today.

πŸ™Œ Cameron Rentch
Malissa (malissa@shield-legal.com)
2025-07-17 11:30:07

@Andy Rogers Did Matt ever get back to you about the $7000 rate for SOL San Bernardino leads?

Malissa (malissa@shield-legal.com)
2025-07-17 11:31:08

i dug around and didn't see an update

Andy Rogers (andy@shield-legal.com)
2025-07-17 11:31:38

I didnt. I left him another message yesterday. I will get on that right now again

Malissa (malissa@shield-legal.com)
2025-07-17 11:34:12

Thanks @Andy Rogers

Malissa (malissa@shield-legal.com)
2025-07-17 11:52:16

oh @Andy Rogers we got 3 Barry Brock signups yesterday. First time since May.

Andy Rogers (andy@shield-legal.com)
2025-07-17 13:37:51

Wow

Malissa (malissa@shield-legal.com)
2025-07-17 13:38:03

i know, right???

Cameron Rentch (cameron@internetthings.com)
2025-07-17 14:15:24

All part of the plan. New campaigns

Malissa (malissa@shield-legal.com)
2025-07-18 10:38:14

@Cameron Rentch @Andy Rogers Just FYI, we got another Barry Brock yesterday.

Malissa (malissa@shield-legal.com)
2025-07-18 10:38:44

I'm sharing because they were talking about stopping it.

Andy Rogers (andy@shield-legal.com)
2025-07-18 10:39:23

Malissa, send them an email letting them know we have signed up 4 the last couple days

πŸ‘ Malissa
Malissa (malissa@shield-legal.com)
2025-07-21 10:25:46

Good morning @Cameron Rentch and @Andy Rogers

FYI, we are at about 82.5% to budget for Depo - Meadow SGGH. I will reach out to Jon this morning to see if they will be sending more funds. We are pacing at 2 to 3 signups a day with 8 signups left.

Andy Rogers (andy@shield-legal.com)
2025-07-21 13:01:36

It looks like they are not able to fund more so plz don’t go over. If we barley go over they will reconcile

πŸ‘ Greg Owen, Malissa
Greg Owen (gregowen@shield-legal.com)
2025-07-21 13:19:20

@Cameron Rentch should we pause LP?

Greg Owen (gregowen@shield-legal.com)
2025-07-21 13:20:11

we have 741 unconverted leads

Cameron Rentch (cameron@internetthings.com)
2025-07-21 14:58:13

@Malissa let's let it run through end of the day please, then we can pause leadspedia. Please let Mark Maniora know EOD leadspedia pause.

πŸ‘ Malissa
Malissa (malissa@shield-legal.com)
2025-07-22 12:32:13

@Andy Rogers @Cameron Rentch FYI, we have 2 signups left for Depo - SGGH./Meadow. We'll pull it when we hit cap based on yesterday's messages.

That will leave DL/Flatirons and Crump/Napoli as the only open Depo campaigns. (Crump/Napoli is paused in LP but still open)

Cameron Rentch (cameron@internetthings.com)
2025-07-23 02:54:29

@Malissa Crump Napoli should be closed and retainer pulled this has been off for some time now

πŸ‘ Malissa
Andy Rogers (andy@shield-legal.com)
2025-07-28 15:24:21

@Greg Owen @Malissa @Cameron Rentch we need to get a cadence on the TVM campaign with AWD. Looks like they have about $290,000 letf and we need to keep Cam up to date so we do NOT overshoot

Malissa (malissa@shield-legal.com)
2025-07-28 15:25:54

@Andy Rogers @Greg Owen @Cameron Rentch here's their report for quick access: https://docs.google.com/spreadsheets/d/1NFAktRftnMfv73fe9JGKo2pK_oWiY7eWWsXCGlm6T9U/edit?gid=579107334#gid=579107334

at the current pace we should be at budget in 12 days.

πŸ™Œ Cameron Rentch
Andy Rogers (andy@shield-legal.com)
2025-08-05 13:41:26

@Malissa @Greg Owen Can you look at the Mormon spend for Schulte Wright?

πŸ‘ Malissa
Andy Rogers (andy@shield-legal.com)
2025-08-05 13:50:56

Is it even still on?

Malissa (malissa@shield-legal.com)
2025-08-05 13:52:31

we paused it. I'll get mark to turn them back on now.

Andy Rogers (andy@shield-legal.com)
2025-08-05 13:53:04

@Malissa Is Arizona lanuched?

Malissa (malissa@shield-legal.com)
2025-08-05 13:56:35

@Andy Rogers mormon is on. long story short, there were filter issues and it had to be redone. It's good and they should see some good leads coming through now

Malissa (malissa@shield-legal.com)
2025-08-05 13:56:41

@Andy Rogers mormonis on. long story short, there were filter issues and it had to be redone. It's good and they should see some good leads coming through now

Malissa (malissa@shield-legal.com)
2025-08-05 13:56:48

@Andy Rogers mormon is on. long story short, there were filter issues and it had to be redone. It's good and they should see some good leads coming through now

Malissa (malissa@shield-legal.com)
2025-08-05 13:57:33

AZ is on but there's pretty much no traffic. That might be something @Cameron Rentch can help with.

Cameron Rentch (cameron@internetthings.com)
2025-08-05 13:58:40

IT's been paused intentionally. @Malissa @Mark Maniora also please pause DL Flatirons AZ in leadspedia and Intake. Ok to sign any remaining leads.

Malissa (malissa@shield-legal.com)
2025-08-05 13:59:16

Ok i'll let intake know @Cameron Rentch

Cameron Rentch (cameron@internetthings.com)
2025-08-05 14:59:45

@Malissa NEC status for AWKO???

Cameron Rentch (cameron@internetthings.com)
2025-08-05 14:59:54

When is intake ready?

Malissa (malissa@shield-legal.com)
2025-08-05 15:03:19

@Cameron Rentch Getting an update on intake. standby

Malissa (malissa@shield-legal.com)
2025-08-05 15:06:57

I reached out to Carter to see how things are going. We have sent AWKO the intake questionnaire back for approval. We also secondary questions to review so we have secondary set up properly. Integrations is in communication with their tech dept, and we are setting up a meeting for MR to work with them on medical record retrieval.

Once we get the intake questionnaire back approved, we should be able to finish intake setup pretty fast. Sunnie already has the intake 95% done.

Cameron Rentch (cameron@internetthings.com)
2025-08-05 15:11:19

@Malissa deadline EOD, make it happen. No excuses! @Andy Rogers!!!

πŸ‘ Malissa
Malissa (malissa@shield-legal.com)
2025-08-05 15:13:58

We will get it done.

Malissa (malissa@shield-legal.com)
2025-08-05 15:14:05

@Cameron Rentch

Malissa (malissa@shield-legal.com)
2025-08-05 15:32:56

@Cameron Rentch I just met with Carter. He's been reaching out to AWKO for an update on the intake questionnaire and is hoping to hear back soon. Justin is being very particular with this campaign and he's wanting to ensure that we get it right to put our best foot forward. He's pushing them as much as he can for their approval, but realistically thinks it might not be today because of that wait.

I will continue to monitor and follow up.

Malissa (malissa@shield-legal.com)
2025-08-05 15:33:00

@Andy Rogers

Malissa (malissa@shield-legal.com)
2025-08-05 19:16:48

@Cameron Rentch @Andy Rogers update: met with Carter again. We got the intake back from AWKO and sunnie is making the adjustments.

I’ll alert Mark and Brittany that this campaign going live is a rush and high priority, that way they can do their portions of the setup process asap. Carter and I both agree we should be good to start taking intakes at some point tomorrow. (Assuming all the testing goes well). I’ll continue to monitor.

Cameron Rentch (cameron@internetthings.com)
2025-08-05 19:38:56

Great!

Malissa (malissa@shield-legal.com)
2025-08-05 19:40:15

Brittany said she will meet with Carter to go over the reporting Justin and the AWKO team are looking for.

Malissa (malissa@shield-legal.com)
2025-08-06 14:09:44

@Cameron Rentch Are we able to move the DL/Flatirons NEC leads? Sunnie wanted to check

Cameron Rentch (cameron@internetthings.com)
2025-08-06 15:17:53

no @Malissa

πŸ‘ Malissa
Malissa (malissa@shield-legal.com)
2025-08-14 14:03:42

@Andy Rogers @Cameron Rentch Can you make sure i've got the updated criteria for Chowchilla - ACTS/AWD correct? I want to make sure i got all of the physical abuse mentions out.

Updated Case Qualification Criteria:

  1. Type of Abuse
  2. Abuse must involve serious sexual abuse
  3. Sexual Abuse Definition (for qualification purposes):
  4. Sexual abuse includes any of the following acts, when committed by a correctional officer: a. Rape or sodomy b. Digital penetration (vaginal or anal) c. Oral copulation (oral-genital contact)
  5. Skin-to-skin contact involving manipulation or masturbation of the genitals, anus, or female breasts a. Note: Over-the-clothes touching or non-contact sexual misconduct does not qualify
  6. Perpetrator Identification a. Claimant must be able to identify the perpetrator who was a correctional officer at the time of the abuse
  7. Timing a. The abuse must have occurred within the last 10 years
Malissa (malissa@shield-legal.com)
2025-08-14 15:50:36

@Andy Rogers @Cameron Rentch just following up to make sure i got the criteria updates correct for Chowchilla - ACTS/AWD ^

Andy Rogers (andy@shield-legal.com)
2025-08-14 15:51:42

It is not serious sex abuse it’s just sex abuse

πŸ‘ Malissa
Malissa (malissa@shield-legal.com)
2025-08-14 15:52:20

edited: Type of Abuse

  1. Abuse must involve sexual abuse
Andy Rogers (andy@shield-legal.com)
2025-08-20 10:24:11

@Malissa please start the Matt Aaron/SGGH Chowchilla

Malissa (malissa@shield-legal.com)
2025-08-21 11:15:01

hi @Cameron Rentch and @Andy Rogers. I need some help with a situation that just popped up.

SGGH said that they have Chowchilla retainers that should be classified as Dr. Lee Abuse. In the criteria Meadow gave us, Dr. Lee is not called out in any way, shape, or form. I'm not sure what the correct handling here would be. Should I get with Jon Becker and see what he advises, have the team resign under Dr. Lee Abuse, or something else entirely.

I'd like to get back to the SGGH team asap today. Thanks.

Malissa (malissa@shield-legal.com)
2025-08-21 11:17:43

^just to clarify, they were at Chowchilla and were treated by Dr. Lee.

Greg Owen (gregowen@shield-legal.com)
2025-08-21 11:43:34

@Andy Rogers ^^