deleted-U05496RCQ9M
2024-10-31 14:15:07

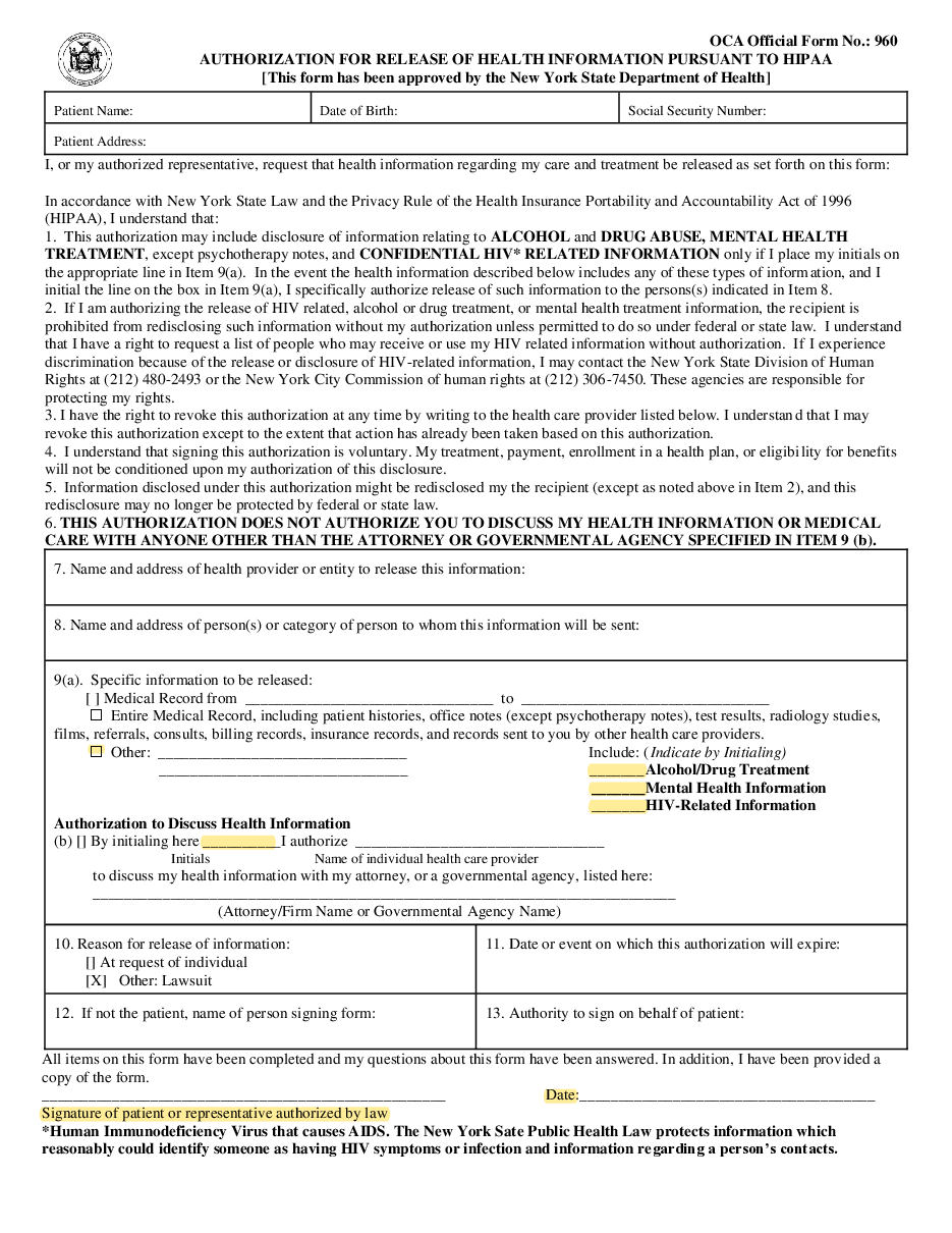
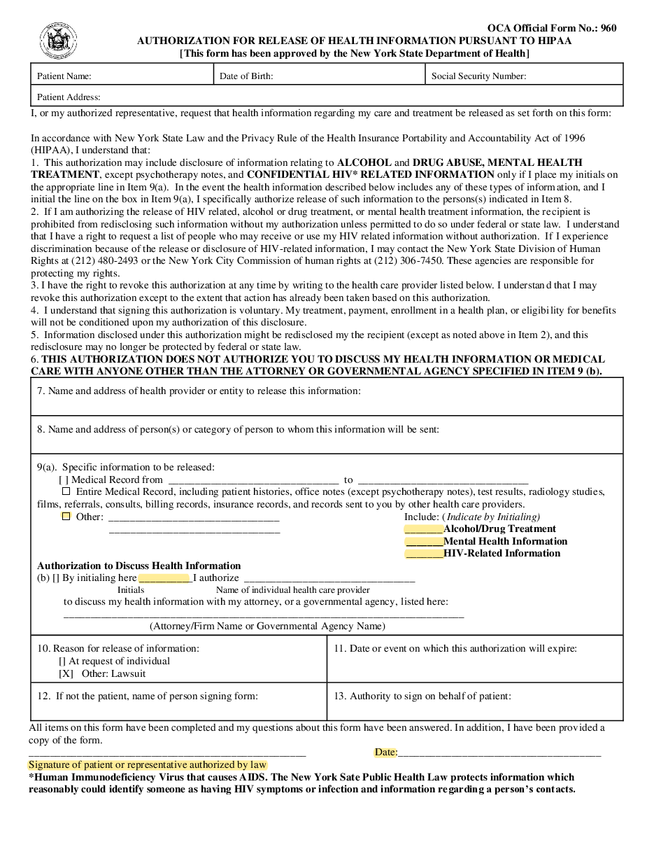
Hello @Malissa, for the Firefighting Foam - VAM Law - ELG/Meadow Law - Shield Legal retainer, do you have any idea if we can change the date format to mm/dd/yyyy? And on the HIPPA, do you think they would want us to put a check mark on "entire record"? Thank you!

Malissa (malissa@shield-legal.com)
2024-10-31 14:36:20

Hi @deleted-U05496RCQ9M. I can check. I think this is a pretty standard ELG retainer/HIPAA. How have we handled them in the past?

deleted-U055HQT39PC
2024-10-31 14:49:09

previously we've left the top blank and then just put the MM/DD/YYYY in that bigger space on page 4

Malissa (malissa@shield-legal.com)
2024-10-31 17:11:13

@deleted-U055HQT39PC @deleted-U05496RCQ9M Per Cam, you guys are good to do the dates as we have in the past.

Malissa (malissa@shield-legal.com)
2024-10-31 17:11:21

for the Hipaa, how have we done that before?

deleted-U055HQT39PC
2024-10-31 17:12:54

for a lot of them we just select "entire record"

Malissa (malissa@shield-legal.com)
2024-10-31 17:31:04

checking with him to be sure. but as for the dates, you'

Malissa (malissa@shield-legal.com)
2024-10-31 17:31:14

re good to do what you've done in the past

✅ deleted-U055HQT39PC
deleted-U05496RCQ9M
2024-11-05 15:57:07

Hi @Malissa we just got this retainer from Dan Abir, this is for LA County Foster Care Abuse - ACTS - DL - Flatirons - Shield Legal and it currently has the wrong year in the contract. Is there any way we can change this and change the format of the day to have mm/dd/yyyy instead of that? Thank you!

Malissa (malissa@shield-legal.com)
2024-11-05 15:58:10

yeah let me see what i can do

Malissa (malissa@shield-legal.com)
2024-11-05 15:58:29

did he email it directly to you guys?

deleted-U05496RCQ9M
2024-11-05 15:58:54

Yes

Malissa (malissa@shield-legal.com)
2024-11-05 15:59:14

can you forward me his email? i'll reply and ask for an updated date

deleted-U055HQT39PC
2024-11-05 16:08:39

Just sent it

Malissa (malissa@shield-legal.com)
2024-11-05 16:10:13

Gracias!

Malissa (malissa@shield-legal.com)
2024-11-05 16:21:28

is 2023 on all the retainers he sent or just that one?

deleted-U05496RCQ9M
2024-11-05 16:21:45

Just that one!

deleted-U05496RCQ9M
2024-11-05 16:22:03

The other two are fine

Malissa (malissa@shield-legal.com)
2024-11-05 16:22:41

Thank you!

Malissa (malissa@shield-legal.com)
2024-11-05 16:25:06

Ok i just talked to Cam

🙌:skin_tone_3: deleted-U05496RCQ9M
Malissa (malissa@shield-legal.com)
2024-11-05 16:25:40

Per Cam, if other ones are correct then we are approved to update this one to same format as others

deleted-U05496RCQ9M
2024-11-05 16:25:55

Excellent, thank you!

Malissa (malissa@shield-legal.com)
2024-11-05 16:26:02

you're welcome

deleted-U055HQT39PC
2024-11-05 16:47:05

Thank you @Malissa I'm not salty at all about you beating me in the league

😂 Malissa
Malissa (malissa@shield-legal.com)
2024-11-05 16:47:30

i totally thought you were going to win that one @deleted-U055HQT39PC

deleted-U05496RCQ9M
2024-12-12 12:42:26

Good morning, @Malissa! It seems we didn't get a HIPAA for the new AFFF Bowersox/ELG, do you happen to have it?

deleted-U05496RCQ9M
2024-12-12 12:42:52

We only have this one from the old campaign

deleted-U05496RCQ9M
2024-12-12 12:43:19

It does say, ELG, is this good to use?

Malissa (malissa@shield-legal.com)
2024-12-12 12:43:33

yeah that's it

Malissa (malissa@shield-legal.com)
2024-12-12 12:43:36

i was about to send it

deleted-U05496RCQ9M
2024-12-12 12:44:29

Excellent, thank you so much! @Malissa, will get this mapped and ready ASAP

❤️ Malissa
Malissa (malissa@shield-legal.com)
2024-12-12 12:49:47

thank you, @deleted-U05496RCQ9M!

deleted-U05496RCQ9M
2024-12-12 13:07:06

@Malissa One more question! for this, can i change this to the standard MM/DD/YYYY format? My concern is also that we are nearing the end of the year and the contract states 2024.

👀 deleted-U055HQT39PC
deleted-U05496RCQ9M
2024-12-12 13:11:28

@Malissa It'll look like this instead and the date will be generated automatically to match the date it was signed once i'm finished mapping it 🙂

Malissa (malissa@shield-legal.com)
2024-12-12 13:25:55

hi @deleted-U05496RCQ9M. I'll ask.

deleted-U05496RCQ9M
2024-12-12 13:40:05

Thanks!

deleted-U05496RCQ9M
2024-12-12 16:19:30

@Malissa For now I've been instructed to map out the contract as is. But it will need to be revised at some point!

Malissa (malissa@shield-legal.com)
2024-12-12 16:19:51

no worries. and that's fine.

Malissa (malissa@shield-legal.com)
2024-12-12 16:20:00

or we get a time machine

😆 deleted-U05496RCQ9M
Malissa (malissa@shield-legal.com)
2024-12-12 17:38:52

@deleted-U05496RCQ9M I have email approval from ELG to update the date line

Malissa (malissa@shield-legal.com)
2024-12-12 17:39:08
deleted-U05496RCQ9M
2024-12-12 17:40:35

ahh thank you!!

deleted-U05496RCQ9M
2024-12-12 17:40:40

Time to edit it again lol

Malissa (malissa@shield-legal.com)
2024-12-12 17:41:34

Lol. But at least it's like... same day and not days later.

deleted-U05496RCQ9M
2024-12-12 17:42:38

Agreed

deleted-U05496RCQ9M
2024-12-18 16:40:36

@Malissa Good afternoon! For the NY Sex abuse retainer, i was wondering if i can remove these fields? I guess they indicate where the initial should go

Malissa (malissa@shield-legal.com)
2024-12-18 16:41:05

yeah that's just showing where stuff should go

Malissa (malissa@shield-legal.com)
2024-12-18 16:41:19

i guess replace it with whatever we use for the initial

deleted-U05496RCQ9M
2024-12-18 16:41:27

got it, thank you so much!

👍 Malissa
deleted-U05496RCQ9M
2025-01-06 18:02:02

@Malissa Hi Malissa! Wanted to know if I can make changes to this retainer for the Wood Pellet Campaign? it still has 2024 on the contract. I would like to change the format to MM/DD/YYYY if possible! Thank you!

deleted-U05496RCQ9M
2025-01-06 18:02:26

It's for Wood Pellet ETO Exposure - Crump - ELG - Shield Legal

Malissa (malissa@shield-legal.com)
2025-01-06 18:04:05

hi @deleted-U05496RCQ9M let me find out. If you don't hear from me by 10 tomorrow, remind me!

deleted-U05496RCQ9M
2025-01-06 18:04:18

Will do! Thank you again!

deleted-U05496RCQ9M
2025-01-07 12:07:27

Good morning @Malissa! Any word on the retainer for the Wood Pellet campaign? Also just wondering, they didn't send us a HIPAA, do we just use the elg Hipaa that we have? Please let me know, thank you!!

Malissa (malissa@shield-legal.com)
2025-01-07 12:07:50

THANK YOU! Let me find out now

deleted-U05496RCQ9M
2025-01-07 12:08:05

Okay!

deleted-U05496RCQ9M
2025-01-08 09:59:54

Good morning @Malissa! Any word on the retainers yet? Thank you again!

Malissa (malissa@shield-legal.com)
2025-01-08 10:28:53

not yet. waiting to hear back

deleted-U05496RCQ9M
2025-01-08 10:32:58

Okay, for sure!

Malissa (malissa@shield-legal.com)
2025-01-08 10:36:16

@deleted-U05496RCQ9M good news. He says that change is fine and we can just use the standard ELG hipaa

Malissa (malissa@shield-legal.com)
2025-01-08 10:36:35

standard ELG HIPAA that is

deleted-U05496RCQ9M
2025-01-08 10:36:35

Excellent! Thank you SO MUCH! 💗

Malissa (malissa@shield-legal.com)
2025-01-08 10:36:43

never a problem.

Malissa (malissa@shield-legal.com)
2025-01-13 18:15:32

hi @here I was wondering if you guys could send me, when ready, the updated retainer and anything else for ACTS LA Wildfires?

deleted-U05496RCQ9M
2025-01-13 18:15:54

Yes! I’ll get that over to you right away

Malissa (malissa@shield-legal.com)
2025-01-13 18:16:01

muchos gracias!

deleted-U05496RCQ9M
2025-01-13 18:17:52

Here you go! @Malissa We just made the fields for date of damage and damaged property address bigger in the first page so those questions in the intake form can be mapped directly!

Malissa (malissa@shield-legal.com)
2025-01-13 18:18:13

awesome!

Malissa (malissa@shield-legal.com)
2025-01-13 18:18:15

Thank you!

deleted-U05496RCQ9M
2025-01-13 18:18:22

No problem!

🙌 deleted-U055HQT39PC
Malissa (malissa@shield-legal.com)
2025-01-13 18:21:24

@deleted-U05496RCQ9M i'm blind. where is it? lol

deleted-U05496RCQ9M
2025-01-13 18:21:59

Oh! Here I'll screenshot it for you lol

deleted-U05496RCQ9M
2025-01-13 18:22:18

like right here

deleted-U05496RCQ9M
2025-01-13 18:22:24

we just made those bigger lol

deleted-U062D2YJ15Y
2025-01-13 18:22:34

Made room for the address and date

Malissa (malissa@shield-legal.com)
2025-01-13 18:23:24

GOT IT! Thank you!

🙌 deleted-U062D2YJ15Y
🙌:skin_tone_3: deleted-U05496RCQ9M
deleted-U05496RCQ9M
2025-01-13 18:23:38

You're welcome!

deleted-U05496RCQ9M
2025-01-14 16:16:17

@Malissa Good afternoon! Do you by any chance, have the contact number for Levinson?

Malissa (malissa@shield-legal.com)
2025-01-14 16:16:42

What's up?

Malissa (malissa@shield-legal.com)
2025-01-14 16:16:47

i'll see

deleted-U05496RCQ9M
2025-01-14 16:17:29

There's a very difficult PNC that wants to call the law firm but when I checked their website, the contact us page only leads to a form that you have to fill out so they can contact the client themselves

Malissa (malissa@shield-legal.com)
2025-01-14 16:17:43

What campaign?

deleted-U05496RCQ9M
2025-01-14 16:17:47

Oh!

deleted-U05496RCQ9M
2025-01-14 16:17:58

For Firefighting Foam - Nations - Levinson (TC) - Shield Legal

deleted-U05496RCQ9M
2025-01-14 16:18:04

Apologies

Malissa (malissa@shield-legal.com)
2025-01-14 16:18:06

They'll need to contact nations

Malissa (malissa@shield-legal.com)
2025-01-14 16:18:10

no worries.

deleted-U05496RCQ9M
2025-01-14 16:18:28

Yes, apparently the PNC did call nations and they told her that Levinson is the one handling it

Malissa (malissa@shield-legal.com)
2025-01-14 16:18:36

interesting.

deleted-U05496RCQ9M
2025-01-14 16:18:41

and now she wants to get a hold of them lol

Malissa (malissa@shield-legal.com)
2025-01-14 16:18:52

she's so difficult that nations doesnt want to deal with her? lol

Malissa (malissa@shield-legal.com)
2025-01-14 16:18:56

j/k

deleted-U05496RCQ9M
2025-01-14 16:19:11

Hahaha I mean.... 😗

Malissa (malissa@shield-legal.com)
2025-01-14 16:19:42

if she wants her cash now she needs to call JG Wentworth

🤣 deleted-U05496RCQ9M
Malissa (malissa@shield-legal.com)
2025-01-14 16:22:38

it's weird but i don't have a number for them. let me see if i can find one

deleted-U05496RCQ9M
2025-01-14 16:35:09

Okay!

deleted-U05496RCQ9M
2025-01-14 16:35:14

Thank you so much

Malissa (malissa@shield-legal.com)
2025-01-14 16:37:36

yeah i can't find one. O.o

Malissa (malissa@shield-legal.com)
2025-01-14 16:37:40

it's weird

deleted-U05496RCQ9M
2025-01-14 16:41:56

Okay! I'll just let the agent know to tell the PNC that if they want to contact the firm, they'd have to input their information in their website lol thank you again, @Malissa!!

Malissa (malissa@shield-legal.com)
2025-01-14 16:44:22

no prob!

Malissa (malissa@shield-legal.com)
2025-01-14 16:44:28

weird it's not on her retainer

deleted-U05496RCQ9M
2025-01-14 16:47:47

That's what I thought too

deleted-U055HQT39PC
2025-01-14 19:16:42

@Malissa Firefighting Foam - VAM Law - ELG/Meadow Law - Shield Legal The date is hardcoded as 2024 Can we remove the date part and just have it auto post MM/DD/YYYY

Malissa (malissa@shield-legal.com)
2025-01-14 19:17:54

I’ll ask and get back to you. I’d bet it’s ok.

🙌 deleted-U055HQT39PC
deleted-U055HQT39PC
2025-01-14 19:18:08

This agreement (“Agreement”) is made the _ day of __, 2024 TO This agreement ("Agreement" is made MM/DD/YYYY

EXECUTED effective on this _ day of _, 2024. TO EXECUTED effective on MM/DD/YYYY.

deleted-U055HQT39PC
2025-01-14 19:18:18

Those would be the changes we'd make

Malissa (malissa@shield-legal.com)
2025-01-14 19:18:43

Ok cool.

deleted-U05496RCQ9M
2025-01-14 19:19:29

but mine has 2025, so if you want me to just use this one for now i can also do that

Malissa (malissa@shield-legal.com)
2025-01-15 10:35:24

*Thread Reply:* yeah use this one for now.

deleted-U05496RCQ9M
2025-01-15 10:36:07

*Thread Reply:* Okay! Will you let me know if they'll allow me to change the format?

deleted-U05496RCQ9M
2025-01-15 10:36:15

*Thread Reply:* Thank you again!

👍 Malissa
Malissa (malissa@shield-legal.com)
2025-01-15 10:40:15

ELG is fast. Yes, we can make the change to MM/DD/YYYY

🫡 deleted-U055HQT39PC
Malissa (malissa@shield-legal.com)
2025-01-15 10:40:17

on both

Malissa (malissa@shield-legal.com)
2025-01-15 10:43:40

@deleted-U055HQT39PC @deleted-U062D2YJ15Y @deleted-U05496RCQ9M ^

deleted-U05496RCQ9M
2025-01-15 10:45:04

Brilliant thank you @Malissa !!

👍 Malissa
Malissa (malissa@shield-legal.com)
2025-01-16 13:02:19

where'd it go? lol

Malissa (malissa@shield-legal.com)
2025-01-16 13:02:24

I saw that Christian

deleted-U062D2YJ15Y
2025-01-16 13:02:31

@Malissa Good morning! For the ACTS Wildfire retainers there is not a specified spot for the injured party's name and the Singer's name there is a spot for the Clients name what do they want there?

deleted-U062D2YJ15Y
2025-01-16 13:02:40

Sorry I wasnt done typing lol

Malissa (malissa@shield-legal.com)
2025-01-16 13:02:48

lol no worries. Can you send me a screenshot?

Malissa (malissa@shield-legal.com)
2025-01-16 13:03:18

i'm listening to a conversation about video gaming so it's hard to visualize lol

🤣 deleted-U062D2YJ15Y
deleted-U062D2YJ15Y
2025-01-16 13:03:47

Got you heres the whole retainer as well

deleted-U062D2YJ15Y
2025-01-16 13:03:50

its on page one

Malissa (malissa@shield-legal.com)
2025-01-16 13:08:43

The injured party in this case would be the client. And they would be the ones signing/initialing. They have to be the homeowner iirc. We need to make sure their damaged property address is in the retainer too. It seems hard to see in the one attached.

deleted-U062D2YJ15Y
2025-01-16 13:11:06

So for cases with wrongful death we still want the injured party as the client there is just no spot for the singers name on the retainer also yes we made room I sent you the original one my bad

deleted-U062D2YJ15Y
2025-01-16 13:11:28

Are we okay to put signers name under the signature

Malissa (malissa@shield-legal.com)
2025-01-16 13:12:02

dangit Christian. You just reminded me that people died in that fire. Let me double check before you guys make any updates

deleted-U062D2YJ15Y
2025-01-16 13:12:19

Sorry 😮‍💨

Malissa (malissa@shield-legal.com)
2025-01-16 13:12:24

I have a contact that will reply pretty quick

Malissa (malissa@shield-legal.com)
2025-01-16 13:12:27

no worries!

Malissa (malissa@shield-legal.com)
2025-01-16 13:13:07

I used to live in Altadena so i'm all for these intakes. I'll get back to you asap.

deleted-U062D2YJ15Y
2025-01-16 13:14:00

Cali raised as well i have friends close to LA so so am I

❤️ Malissa
Malissa (malissa@shield-legal.com)
2025-01-16 13:16:42

does this sound ok?

Malissa (malissa@shield-legal.com)
2025-01-16 13:16:47

"I have a quick question for you about the retainer. We haven't encountered it yet, but I'm sure it's going to come up. If we have an instance where the homeowner died and the person contacting us is with the estate/family, how should that be shown on the retainer? Right now it reads just as the injured party is the one calling in and signing. Should there be a section if the injured party is deceased?"

deleted-U062D2YJ15Y
2025-01-16 13:17:12

That sounds perfect!

Malissa (malissa@shield-legal.com)
2025-01-16 13:17:22

sweet. I'll let you know

🙌 deleted-U062D2YJ15Y
Malissa (malissa@shield-legal.com)
2025-01-16 13:37:42

sounds like we got an updated retainer comin

👀 deleted-U062D2YJ15Y
🙌 deleted-U055HQT39PC, deleted-U062D2YJ15Y
Malissa (malissa@shield-legal.com)
2025-01-17 10:43:50

@deleted-U062D2YJ15Y They got back to me kind of late: "if a claim is being made on behalf of someone who is deceased, you can put “Estate of [Deceased’s Name]” in place of the client name"

Malissa (malissa@shield-legal.com)
2025-01-17 10:44:12

so if someone dies in the fire, it's the estate that becomes the client

deleted-U062D2YJ15Y
2025-01-21 13:42:06

@Malissa For PFAS - Levinson (TC/MC) - ELG - Shield Legal The contract needs to be updated. Are we able to change "the day of__ 2024" to just allow us to put the date that it is being singed in a "DD/MM/YYYY" format for pages 1 and 3 of the contract

Malissa (malissa@shield-legal.com)
2025-01-21 14:51:48

@deleted-U062D2YJ15Y I just reached out.

Malissa (malissa@shield-legal.com)
2025-01-21 14:51:50

will let you know

🫡 deleted-U062D2YJ15Y
Malissa (malissa@shield-legal.com)
2025-01-21 15:04:35

@deleted-U062D2YJ15Y yeah we're good

deleted-U062D2YJ15Y
2025-01-21 15:04:56

Okay we will make changes

deleted-U055HQT39PC
2025-01-27 13:57:31

@Malissa This has the date issue. Can we change this to just populate the date MM/DD/YYYY i

Malissa (malissa@shield-legal.com)
2025-01-27 14:01:48

@deleted-U055HQT39PC he's been approving those requests. I'll give him a heads up we're doing this one too.

🙌 deleted-U062D2YJ15Y, deleted-U055HQT39PC
deleted-U05496RCQ9M
2025-01-27 16:13:41

@Malissa Hi! Just for clarification, all of these ML campaigns: • Firefighting Foam 2 - VAM Law - ELG - Meadow Law - Shield Legal • Firefighting Foam - Douglas London - ML - Shield Legal • Firefighting Foam - ELG - ML - Shield Legal No thyroid disease? or is Firefighting foam 2 not included? and would it also be the same for the original Firefighting Foam - VAM Law - ELG/Meadow Law - Shield Legal?

Malissa (malissa@shield-legal.com)
2025-01-27 16:18:54

I’ll get clarification on VAM 2. ELG and Douglas London exclude thyroid disease

✅ deleted-U05496RCQ9M
Malissa (malissa@shield-legal.com)
2025-01-27 16:37:45

@deleted-U05496RCQ9M VAM is going to still be the top 6

deleted-U05496RCQ9M
2025-01-27 16:38:19

gotcha! also i don't have a HIPAA for the Douglas london campaign, do you happen to have it?

deleted-U05496RCQ9M
2025-01-27 16:38:24

and thank you!!

Malissa (malissa@shield-legal.com)
2025-01-27 16:39:38

That's weird. It got posted. Hang on a second. It's got 2 parts

deleted-U05496RCQ9M
2025-01-27 16:39:49

Okay!

Malissa (malissa@shield-legal.com)
2025-01-27 16:40:40

There are two medical Authorizations for this one

deleted-U05496RCQ9M
2025-01-27 17:01:58

Thank you!!

👍 Malissa
deleted-U05496RCQ9M
2025-01-27 17:31:42

@Malissa Hi again! So i'm trying to work on the AFFF Douglas London. We were told to just clone the intake and criteria, which we did from Nations-Van cause it's the most recent non-elg, but we realized that they also sent us an intake form (it has completely different questions). Which direction should we follow?

Additionally, can I modify these in the retainer? I would like to make the name field a bit longer and to get rid of 2025 so we can use the MM/DD/YYYY format if possible. Thank you again, Malissa!

Malissa (malissa@shield-legal.com)
2025-01-27 17:56:08

@deleted-U05496RCQ9M We were going to clone it originally but they sent the intake file. We need to use what they sent. If there's something that makes no sense, let me know and i'll get clarity.

Malissa (malissa@shield-legal.com)
2025-01-27 17:56:12

i'll check on the date change

Malissa (malissa@shield-legal.com)
2025-01-27 18:16:06

Good to go on the date @deleted-U05496RCQ9M

Malissa (malissa@shield-legal.com)
2025-01-27 18:16:15

Can you send me a copy of the intake when done)

👍:skin_tone_3: deleted-U05496RCQ9M
Malissa (malissa@shield-legal.com)
2025-01-28 10:58:43

Good morning team! Is anything else needed for Chowchilla Womens Prison Abuse - ACTS - AWD - Shield Legal? @here

deleted-U05496RCQ9M
2025-01-28 10:59:54

@Malissa That one is already live but we do need retainer and hipaa for Chowchilla Womens Prison Abuse - ACTS - Loghmana - Shield Legal

Malissa (malissa@shield-legal.com)
2025-01-28 11:00:15

Literally just got that one. Will be sending in a second. I want to read it over lol

🙌 deleted-U062D2YJ15Y
🙌:skin_tone_3: deleted-U05496RCQ9M
deleted-U05496RCQ9M
2025-01-28 11:00:22

gotcha!

deleted-U05496RCQ9M
2025-01-28 11:01:27

I'm working on the Douglas London AFFF, will have that done and sent over to you later today! @Malissa

❤️ Malissa
Malissa (malissa@shield-legal.com)
2025-01-28 11:03:11

Here's the Loghmana retainer. Let's double check everything on it it make sure all the i's are dotted and t's are crossed. The wildfire stuff has been a headache lol.

deleted-U05496RCQ9M
2025-01-28 11:03:18

Thank you!!

Malissa (malissa@shield-legal.com)
2025-01-28 11:09:46

no prob

deleted-U05496RCQ9M
2025-01-28 13:46:03

@Malissa So sorry to bother you again 😭. I'm working on the AFFF Douglas London Intake form and it's significantly different from what we have done before, is there a criteria that goes along with it? Because with how they want their intake form to be, the criteria is going to have to change as well since it won't match with the intake form.

Malissa (malissa@shield-legal.com)
2025-01-28 13:46:53

Hmmmmmmmm let me review. Put that aside for now. If you can send me the biggest issues

Malissa (malissa@shield-legal.com)
2025-01-28 13:47:30

And no worries at all

deleted-U05496RCQ9M
2025-01-28 13:49:24

Okay! Just let me know. Because in their intake form, there are sections asking for PFAS, along with residencies regarding PFAS contaminated waters, brands of firefighting foam, and turnout gear exposure. Just completely different from our other firefighting foams lol

Malissa (malissa@shield-legal.com)
2025-01-28 13:54:15

HHHHHHM they might not know that's there. i'll find out

deleted-U05496RCQ9M
2025-01-28 13:55:02

Our other firefighting foams make it clear that they need to have significant number exposures that the client can describe and no PFAS/TOG questions. The questions they have on their form kind of have the client break them up into more detail but no kind of actual qualifiers/criteria for the agents to follow correctly. It's hard for me to really explain lol

Malissa (malissa@shield-legal.com)
2025-01-28 13:56:11

That's ok, basically their AFFF has PFAS as well and we treat that differently and will take extra time to setup if they want to use the PFAS part

deleted-U05496RCQ9M
2025-01-28 13:58:22

Yes, I just really need a solid criteria that go along with their intake form since I need to highlight specific areas of the file that will be "qualifiers" and if we use the current criteria we have (a clone from AFFF Nations-Van) it's not going to essentially make sense or match up to their form

deleted-U05496RCQ9M
2025-01-28 13:58:46

I apologize 😭

Malissa (malissa@shield-legal.com)
2025-01-28 13:58:51

gotcha. How are we with ELG/Meadows?

Malissa (malissa@shield-legal.com)
2025-01-28 13:58:58

no worries! Nothing to apologize for.

deleted-U05496RCQ9M
2025-01-28 14:00:07

I believe ELG/Meadows has been opened!

Malissa (malissa@shield-legal.com)
2025-01-28 14:00:32

cool. And if I convince them to use the regular intake for AFFF we can get Douglas and London done today?

deleted-U05496RCQ9M
2025-01-28 14:01:44

Yeah! Or just an actual criteria, I pretty much have all the questions built out for the API already from their intake form, just need to put them in the actual campaign which wont take too long

deleted-U05496RCQ9M
2025-01-28 14:02:58

The questions didn't take me that long and they're all already built, I just need to put them in LR campaign 🙂

Malissa (malissa@shield-legal.com)
2025-01-28 14:23:52

Ok, per Jon Becker re Douglas & London, "Please setup with standard AFFF intake/criteria using the 5 injuries (no thyroid disease) and send a test lead."

Malissa (malissa@shield-legal.com)
2025-01-28 14:25:22

I'm going to loop Mark in so we can get that test sent.

Malissa (malissa@shield-legal.com)
2025-01-29 14:00:26

@here just FYI you guys, i know this one is weird

Malissa (malissa@shield-legal.com)
2025-01-29 14:01:18

AFFF VAM 2 - We've paused leadspedia for #1 and turned on #2. We can start signing on #2 and finish up signing whatever came in for #1. We can do that until Friday noon/afternoon-ish

✅ deleted-U055HQT39PC, deleted-U05496RCQ9M
Malissa (malissa@shield-legal.com)
2025-01-29 14:01:43

i know that one is weird. and so is Chowchilla Kuzyk RB. sorry for the weird ones

deleted-U05496RCQ9M
2025-01-29 15:33:19

@Malissa thank you!!

👍 Malissa
deleted-U05496RCQ9M
2025-01-31 13:48:21

@Malissa Hi! Just wondering, have we gotten the hipaa for the MI YTC Abuse campaign yet?

Malissa (malissa@shield-legal.com)
2025-01-31 13:48:34

not yet

Malissa (malissa@shield-legal.com)
2025-01-31 13:48:36

still waiting

deleted-U05496RCQ9M
2025-01-31 13:48:40

okay!

deleted-U05496RCQ9M
2025-01-31 13:48:44

Thank you!!

deleted-U05496RCQ9M
2025-02-03 12:18:34

@Malissa Good morning! Is there criteria for IL Clergy Abuse - SGGH - GLF - Shield Legal?

Malissa (malissa@shield-legal.com)
2025-02-03 12:18:49

yeah i thought i posted that. hang on a sec

Malissa (malissa@shield-legal.com)
2025-02-03 12:21:48

@deleted-U05496RCQ9M i just bugged cam

deleted-U05496RCQ9M
2025-02-03 12:22:02

Oh, okay! Thank you!

deleted-U05496RCQ9M
2025-02-03 16:52:24

https://docs.google.com/spreadsheets/d/1Qz5a-qCAPq4MFu74l5aVdjBdzfeP3pitxFoQ4Q7EzDw/edit?gid=0#gid=0 @Malissa Hi! I made a sheet with our current pending new campaigns, i've listed what else we need for our side to complete on our part!

❤️ Malissa
🙌 deleted-U055HQT39PC
Malissa (malissa@shield-legal.com)
2025-02-03 16:55:49

I LOVE IT

:heartpool: deleted-U055HQT39PC
Malissa (malissa@shield-legal.com)
2025-02-03 16:55:55

i haven't even looked yet but i love it

deleted-U05496RCQ9M
2025-02-03 16:56:40

it isn't much! but Sobo figured it'll be helpful!

Malissa (malissa@shield-legal.com)
2025-02-03 16:58:02

for sure

Malissa (malissa@shield-legal.com)
2025-02-04 10:55:06

@deleted-U05496RCQ9M @deleted-U055HQT39PC Update on Paraquat DL-ML - we're going to use the same HIPAA that we're using for Paraquat DL - Flatirons.

Malissa (malissa@shield-legal.com)
2025-02-04 11:26:29

also! @deleted-U05496RCQ9M @deleted-U055HQT39PC @deleted-U062D2YJ15Y Douglas & London has approved of our intake for AFFF. we don't have to use theirs with all the PFAS stuff.

deleted-U05496RCQ9M
2025-02-04 11:27:02

excellent thank you!

Malissa (malissa@shield-legal.com)
2025-02-04 11:29:01

no problem. Can you guys let me know when that one is good to go? well both of those?

deleted-U05496RCQ9M
2025-02-04 11:29:52

yes

❤️ Malissa
deleted-U05496RCQ9M
2025-02-04 11:52:03

@Malissa may i also use the hipaa for dl flatirons in Hair Salon Bladder Cancer - DL - Flatirons - Shield Legal?

Malissa (malissa@shield-legal.com)
2025-02-04 11:52:39

I think we've got one from a similar campaign. Hang on a second let me look

Malissa (malissa@shield-legal.com)
2025-02-04 11:56:40

@deleted-U05496RCQ9M yes, that's their standard hipaa. it's the same one we used on Salon Bladder Cancer

deleted-U05496RCQ9M
2025-02-04 11:56:49

excellent, thank you!!

deleted-U05496RCQ9M
2025-02-04 11:56:59

This one will be good to go today as well ❤️

deleted-U05496RCQ9M
2025-02-04 11:57:09

i'll let you know when i'm done with all of them

Malissa (malissa@shield-legal.com)
2025-02-04 12:12:45

@deleted-U055HQT39PC @deleted-U05496RCQ9M I don't see it on the spreadsheet. are we missing anything for Chowchilla - ACTS- Loghmana?

deleted-U05496RCQ9M
2025-02-04 12:16:11

@Malissa Chowchilla Womens Prison Abuse - ACTS - Loghmana - Shield Legal went live on the 28th!

Malissa (malissa@shield-legal.com)
2025-02-04 12:16:41

hmmmmmmmmmmmmm i think Cam didn't turn on the leads. Thanks!

deleted-U05496RCQ9M
2025-02-04 12:16:58

Okay!!

Malissa (malissa@shield-legal.com)
2025-02-04 13:31:12

@deleted-U05496RCQ9M leads are on! We turned on Paraquat - Dicello - Meadow too

Malissa (malissa@shield-legal.com)
2025-02-04 13:35:08

just fyi @here Cam wants Paraquat DL/Meadow on today

🙌 deleted-U055HQT39PC
deleted-U05496RCQ9M
2025-02-04 13:42:10

Okay! I'm working on that now

deleted-U05496RCQ9M
2025-02-04 15:32:14

@Malissa Here's what I got! Firefighting Foam - Douglas London - ML - Shield Legal (Went live on Jan 29) Paraquat - DL - ML - Shield Legal - Integrations (Finished and retainer mapped, I just asked for API for this)

deleted-U05496RCQ9M
2025-02-04 15:33:28

Finishing up Hair Salon Bladder Cancer

Malissa (malissa@shield-legal.com)
2025-02-04 15:38:21

nice.

deleted-U055HQT39PC
2025-02-05 14:26:20

Hey @Malissa Desiree from BCL called me and said ELG told her that Wood Pallet and ETO are two different campaigns?

Malissa (malissa@shield-legal.com)
2025-02-05 14:26:47

????????????????????????????????????????????????????????????????????????????????????????

deleted-U055HQT39PC
2025-02-05 14:26:56

that's what i said lol

Malissa (malissa@shield-legal.com)
2025-02-05 14:27:13

Let me see what i can find out

Malissa (malissa@shield-legal.com)
2025-02-05 14:30:43

if Cam sends me question marks i will laugh

😂 deleted-U055HQT39PC
Malissa (malissa@shield-legal.com)
2025-02-05 15:09:26

Cam used actual words but it was still ?????????????????????????????????????????????????????

🫠 deleted-U055HQT39PC
Malissa (malissa@shield-legal.com)
2025-02-05 15:09:33

Andy is calling

deleted-U05496RCQ9M
2025-02-05 17:57:00

Hi @Malissa! I just have a few questions on the IL Clergy abuse intake form, do you have time for me to go over there and show you?

Malissa (malissa@shield-legal.com)
2025-02-05 17:58:44

sure

Malissa (malissa@shield-legal.com)
2025-02-05 17:58:50

i'm still here. all by myself lol

Malissa (malissa@shield-legal.com)
2025-02-05 18:06:46

@deleted-U055HQT39PC @deleted-U05496RCQ9M @deleted-U062D2YJ15Y Ok, we have criteria for IL Clergy. I posted this in the call center channel too but i'm taking out the links because that was a jump scare when i posted it.

1) was PC sexually abused as a minor. No physical abuse (only) cases. 2) was the perp a Catholic priest. 3) ideally no one over age 70 either.

If PC born after 7/24/1983, SOL is good. But we’re signing cases where SOL gone as well, and will try to work tolling theory. Where abuse occurred, nature of abuse, whether a known perp, etc. are all also relevant to value, but that’s not part of criteria at initial signing stage. Best cases are those involving Archdiocese of Chicago, Diocese of Joliet, and religious orders in the Chicagoland / Cook County, Will County, and Lake County areas… and a known perp.

Some known perps identified below.

  1. Archdiocese of Chicago: a. Holy Angels Catholic Church b. Fr. John Calicott c. Fr. George Clements d. Fr. Paul smith e. Fr. Kenneth Brigham f. Fr. Thomas Swade g. Father Raymond Francis Skriba h. Father John James Keehan i. Father William Lupo j. Father John Calicott k. Father Daniel McCormack l. Father Robert Boley m. Father James M. Ray
  2. Will County : a. Arch Dioceses of Joliet i. Fr. Donald O’Connor (top known) ii. Fr. John Slown (top known) iii. Fr. Lawrence Mullins iv. Fr. Mark Menezes v. Fr. Myles White vi. Fr. Simoneli
👀 deleted-U05496RCQ9M, deleted-U062D2YJ15Y
🇺🇸 deleted-U055HQT39PC
deleted-U05496RCQ9M
2025-02-06 12:50:51

Good morning @Malissa! I cant' help but get stuck on the criteria for IL Clergy abuse. It looks like the only non negotiable MUSTS in the criteria are: 1) Sexually abused as a minor 2) Abuser is a Catholic Priest 3) No one over age 70.

The way I'm reading it is that these bullet points are preferred but not a MUST: • Born after 07/24/1983 but still sign out of SOL (because they can potentially try and argue for these people to be included in the litigation) • Where the abuse occurred, nature of abuse, whether the abuser is known • Best cases involve the archdiocese of chicago, diocese of joliet, and other religious orders in chicagoland and a known abuser, but not a disqualifier if they don't know who or where it occurred. Is this correct? I guess I'm just a little confused, I haven't come across criteria yet that isn't matter of fact and just black and white. For me it looks like there's a bit more wiggle room, like as long as it was a Priest in Chicago that abused them when they were a minor, they will qualify and they don't have to necessarily know the location, who, nor are they required to share the nature of abuse like in our other SA campaigns.

If you can offer more clarity on this I would be so grateful cause I've been giving myself a headache trying to properly build the criteria and intake the way they want it lol

Malissa (malissa@shield-legal.com)
2025-02-06 12:57:31

@deleted-U05496RCQ9M go take a break! Don't get a headache because those suck.

Let's create a sheet and run it by Cam. it can be:

  1. Sexually abused as a minor
  2. Abuser is a Catholic Priese
  3. No one over the age of 70.
  4. Archdiocese of Chicago, Diocese of Joliet, religious orders in the Chicagoland / Cook County, Will County, and Lake County areas and a known perp preferred This sounds like it might be for secondary: Where abuse occurred, nature of abuse, whether a known perp, etc. are all also relevant to value, but that’s not part of criteria at initial signing stage.
deleted-U05496RCQ9M
2025-02-06 13:01:46

@Malissa This is what I have so far lol: IL Clergy Abuse - SGGH - GLF - Shield Legal - Criteria I got stuck after listing the priests

Malissa (malissa@shield-legal.com)
2025-02-06 13:07:37

@deleted-U05496RCQ9M i made a couple of edits

Malissa (malissa@shield-legal.com)
2025-02-06 13:08:13

let's clean it up a bit and i'll send to Cam. their criteria was kinda vague lol

deleted-U05496RCQ9M
2025-02-06 13:09:11

Oh yeah, I updated it

deleted-U05496RCQ9M
2025-02-06 13:09:12

lol

deleted-U05496RCQ9M
2025-02-06 13:09:13

sorry

Malissa (malissa@shield-legal.com)
2025-02-06 13:10:52

No worries!

Malissa (malissa@shield-legal.com)
2025-02-06 16:02:15

@deleted-U05496RCQ9M So Cam is trying to get less ambiguous criteria out of them. you can put it aside for now. Don't stress it!

🙌 deleted-U055HQT39PC, deleted-U062D2YJ15Y
🙌:skin_tone_3: deleted-U05496RCQ9M
deleted-U055HQT39PC
2025-02-06 16:02:33

Thank you @Malissa

deleted-U05496RCQ9M
2025-02-06 16:04:08

i appreciate you!! @Malissa

Malissa (malissa@shield-legal.com)
2025-02-07 11:23:20

@here

criteria for IL YRTC Abuse

Were you or a loved one sexually abused while a resident at a YRTC Facility?* (must be yes) Facility where abuse occurred:* (must NOT be other) Did abuse occur while 17 or under?* (must be yes) Were you born in 1983 or AFTER?* (must be yes) Do you have a lawyer already?** (must be no)

Abuse occured at one of these facilities

• Timberline Knolls (Lemont, IL) • Montrose Behavioral Health Hospital (Chicago, IL) • The Pavilion (UHS) • Hartgrove Hospital (UHS) • Rock River Academy (UHS) • Riveredge Hospital (UHS) • Streamwood Hospital (UHS) • Turning Point Youth Center (UHS) • Lincoln Prairie Behavioral Health Center (UHS) • Garfield Park Behavioral Hospital (Chicago, IL) • Chicago Lakeshore Hospital (Cook County) • Rice Child and Family Center (Cook County) • Lake Behavioral Hospital (Lake County) • Baptist Children's Home and Family Services (White County) abuse was by facility staff/employee or another resident sexual abuse skin to skin

🙌 deleted-U062D2YJ15Y
🙌:skin_tone_3: deleted-U05496RCQ9M
deleted-U062D2YJ15Y
2025-02-07 11:23:57

Thank you! @Malissa

Malissa (malissa@shield-legal.com)
2025-02-07 11:28:19

no problem @deleted-U062D2YJ15Y. I hope that helps That's hot off the press from Cam

deleted-U05496RCQ9M
2025-02-07 11:28:51

I got excited i thought it was gonna be IL Clergy lol @Malissa but thank you! Working on this one now

Malissa (malissa@shield-legal.com)
2025-02-07 11:29:39

lol working on that one @deleted-U05496RCQ9M. i have a draft i need approved.

deleted-U05496RCQ9M
2025-02-07 11:29:51

all good!!

deleted-U05496RCQ9M
2025-02-07 11:33:19

@Malissa Do they have a specific intake form they want me to follow for the IL YTC? Or did they want me to clone MI YTC?

Malissa (malissa@shield-legal.com)
2025-02-07 11:37:14

Use that one as a base, mark it confidential and send me a copy to share with cam. 🙂

deleted-U05496RCQ9M
2025-02-07 11:37:38

Oki doki

deleted-U05496RCQ9M
2025-02-07 11:37:40

one moment

Malissa (malissa@shield-legal.com)
2025-02-07 11:39:00

Cam has approved the criteria for IL Clergy

Malissa (malissa@shield-legal.com)
2025-02-07 11:39:57

Note, this is the draft i made. i marked it as a draft at the top. 🙂

deleted-U05496RCQ9M
2025-02-07 11:39:57

Oh, so the one i have currently is good?

Malissa (malissa@shield-legal.com)
2025-02-07 11:40:04

just attached @deleted-U05496RCQ9M

deleted-U05496RCQ9M
2025-02-07 11:40:16

excellent, thank you!!!

Malissa (malissa@shield-legal.com)
2025-02-07 11:40:26

no problem. i'll let you know if we need to make any updates

👍:skin_tone_3: deleted-U05496RCQ9M
Malissa (malissa@shield-legal.com)
2025-02-07 11:41:15

if they can't ID their abuser, that's ok. but it won't be a strong case.

Malissa (malissa@shield-legal.com)
2025-02-07 11:41:18

just FYI

deleted-U05496RCQ9M
2025-02-07 11:41:34

Okay!

deleted-U05496RCQ9M
2025-02-07 11:42:50

oh wait

deleted-U05496RCQ9M
2025-02-07 11:42:58

it's not showing the confidential one moment

Malissa (malissa@shield-legal.com)
2025-02-07 11:43:41

no worries. It's Cam so i'm not too worried but i also don't want him thinking i just download the forms without it lol

Malissa (malissa@shield-legal.com)
2025-02-07 11:43:58

or you guys just pass it around without it lol

deleted-U05496RCQ9M
2025-02-07 11:44:08

This should have it!

deleted-U05496RCQ9M
2025-02-07 11:44:36

did it work... i don't even see it 😭

Malissa (malissa@shield-legal.com)
2025-02-07 11:44:46

eh it's ok. I might be able to add it

deleted-U05496RCQ9M
2025-02-07 11:44:55

okay!!

Malissa (malissa@shield-legal.com)
2025-02-07 11:45:00

it's there!

Malissa (malissa@shield-legal.com)
2025-02-07 11:45:14
deleted-U05496RCQ9M
2025-02-07 11:45:22

NICE

deleted-U05496RCQ9M
2025-02-07 13:59:42
deleted-U062D2YJ15Y
2025-02-07 15:38:09

Heyyyyyyyyyyyyyyyyyyyyyy @Malissa For IL Clergy Abuse - SGGH - GLF - Shield Legal We know the retainer is the same as MI YTC but there is a field that's asking for the facility and the date of the abuse but on the criteria says "Preferably a known perpetrator and location. Unknown perpetrator and location are still okay, but the case won’t be as strong." So what are we supposed to put on the retainer if the PNC does not know the Location.

Malissa (malissa@shield-legal.com)
2025-02-07 15:46:54

@deleted-U062D2YJ15Y i'll find out

deleted-U055HQT39PC
2025-02-07 15:48:18

right above that @Malissa the retainer does say youth residential treatment center too.

Malissa (malissa@shield-legal.com)
2025-02-07 15:49:38

this firm is on my nerves

Malissa (malissa@shield-legal.com)
2025-02-07 15:49:40

lol

deleted-U055HQT39PC
2025-02-07 15:50:10

same - Sunnie

Malissa (malissa@shield-legal.com)
2025-02-07 17:35:03

@deleted-U055HQT39PC @deleted-U062D2YJ15Y @deleted-U05496RCQ9M Here's what the firm sent me about Clergy Abuse:

Preferably, please have your team ask where the church/facility was located. Ask them the streets, city. That way your team can Google and help them find the name. If they can’t remember leave it blank but please put city and state and date of abuse. Thanks.

Malissa (malissa@shield-legal.com)
2025-02-07 17:35:15

They also said to use the same retainer for IL YRTC and IL Clergy

deleted-U05496RCQ9M
2025-02-07 17:40:40

Thank you!!

deleted-U05496RCQ9M
2025-02-10 12:50:27

@Malissa Good morning! Any word on the IL YTC Abuse template?

Malissa (malissa@shield-legal.com)
2025-02-10 12:52:25

nothing yet @deleted-U05496RCQ9M

deleted-U05496RCQ9M
2025-02-10 12:53:00

Gotcha

deleted-U055HQT39PC
2025-02-10 13:13:46

@Malissa can we clarify that the criteria we have for Wood Pellet is valid? I know that one kinda got jumbled together with ETO, we just want to make sure that what we got was valid for Wood Pellet

Malissa (malissa@shield-legal.com)
2025-02-10 13:14:13

Can you send me the criteria we have?

Malissa (malissa@shield-legal.com)
2025-02-10 13:14:18

like what you guys are using right now

Malissa (malissa@shield-legal.com)
2025-02-11 11:07:18

Buenos dias @here

I'm looking at your pending campaigns spreadsheet. I have some updates (Not for wood pellets tho)

Paraquat - DL - ML - Shield Legal Pending HIPAA - For the HIPAA, use the same one we use for DL/Flatirons Paraquat.

MI YTC Abuse - SGGH - GLF - Shield Legal Pending HIPAA -

deleted-U05496RCQ9M
2025-02-11 11:08:17

I'm updating the sheet rn @Malissa!

👍 Malissa
deleted-U05496RCQ9M
2025-02-11 11:11:07

@Malissa Can you please send me the updated retainer for the IL Clergy and YTC abuse? Thank you!!

Malissa (malissa@shield-legal.com)
2025-02-11 11:12:45
Malissa (malissa@shield-legal.com)
2025-02-11 11:13:21

@deleted-U05496RCQ9M

deleted-U05496RCQ9M
2025-02-11 11:14:20

TY! Do you know what they changed?

Malissa (malissa@shield-legal.com)
2025-02-11 11:14:39

They created a separate retainer for clergy

Malissa (malissa@shield-legal.com)
2025-02-11 11:14:48

I would just replace what we have and use these instead

deleted-U05496RCQ9M
2025-02-11 13:29:33

@Malissa Hi Malissa, for the MI Clergy one, did they give us a list of known locations and perpetrators like they did for IL?

Malissa (malissa@shield-legal.com)
2025-02-11 13:32:29

they did not

deleted-U05496RCQ9M
2025-02-11 13:32:44

shoot

Malissa (malissa@shield-legal.com)
2025-02-11 13:32:48

i asked for it too and they sent over everything they wanted us to use.

deleted-U05496RCQ9M
2025-02-11 13:33:01

Interesting lol

Malissa (malissa@shield-legal.com)
2025-02-11 13:33:10

i'll bug again but i'm going to give it a bit.

Malissa (malissa@shield-legal.com)
2025-02-11 13:33:16

they were a little irritated this morning lol

deleted-U05496RCQ9M
2025-02-11 13:33:23

LOL

deleted-U05496RCQ9M
2025-02-11 13:33:32

okay just lmk! Thank you so much!

Malissa (malissa@shield-legal.com)
2025-02-11 13:33:46

will do

deleted-U05496RCQ9M
2025-02-11 13:33:46

For now the criteria is itty bitty

Malissa (malissa@shield-legal.com)
2025-02-11 13:34:00

i just set a reminder to check in before 2pm

deleted-U05496RCQ9M
2025-02-11 13:34:08

okay!

Malissa (malissa@shield-legal.com)
2025-02-11 16:10:56

@deleted-U05496RCQ9M i just asked for a current list of MI perps.

🙌 deleted-U062D2YJ15Y
Malissa (malissa@shield-legal.com)
2025-02-11 16:18:22

I got it!

Malissa (malissa@shield-legal.com)
2025-02-11 16:18:32
deleted-U05496RCQ9M
2025-02-11 16:18:45

Oh Sweet!! Thank you!

deleted-U055HQT39PC
2025-02-12 14:57:35

@Malissa for MI Clergy we have a Firm Review, abuser was a Brother (monk) not a Father (priest), are they willing to take something like this?

Malissa (malissa@shield-legal.com)
2025-02-12 15:02:31

@deleted-U055HQT39PC do they name the Brother?

Malissa (malissa@shield-legal.com)
2025-02-12 15:03:52

Monks are typically considered clergy

deleted-U055HQT39PC
2025-02-12 15:04:22

yes, just not an ordained priest

deleted-U055HQT39PC
2025-02-12 15:05:32

abuse ended up being over the clothes, so we wont push it. however, would be good to know if we can send over like Nuns, (sisters, brothers)

Malissa (malissa@shield-legal.com)
2025-02-12 15:05:44

oh yeah no. it's gotta be skin on skin

Malissa (malissa@shield-legal.com)
2025-02-12 15:06:13

i'll double check but i think it's going to be the typical clergy (nuns, monks, bishops, priests, etc.)

deleted-U055HQT39PC
2025-02-12 15:06:40

thank you @Malissa right now our criteria reads Must be a priest

Malissa (malissa@shield-legal.com)
2025-02-12 15:07:47

can you send me that criteria? i read over IL and the only exclusion i saw was that they don't want teachers.

Malissa (malissa@shield-legal.com)
2025-02-12 15:08:11

But i am REALLY frazzled right now. lol

deleted-U05496RCQ9M
2025-02-12 15:10:29

Yeah for that one, it said to just clone IL and just change it to MI

deleted-U05496RCQ9M
2025-02-12 15:10:40

and IL said must be a priest

deleted-U05496RCQ9M
2025-02-12 15:10:55

@Malissa Take a breather!!!

Malissa (malissa@shield-legal.com)
2025-02-12 15:11:00

lol @deleted-U05496RCQ9M

Malissa (malissa@shield-legal.com)
2025-02-12 15:11:04

NEVER! lol

deleted-U05496RCQ9M
2025-02-12 15:11:17

NOOO TAKE A BREAK

Malissa (malissa@shield-legal.com)
2025-02-12 15:11:21

Yeah says "must be a known perpetrator" that might get updated to "member of clergy" i'll find out

deleted-U05496RCQ9M
2025-02-12 15:11:29

okay!

Malissa (malissa@shield-legal.com)
2025-02-12 15:11:54

no skin on skin was instant disqualification for monk dude tho

deleted-U05496RCQ9M
2025-02-12 15:12:04

do they want a known perpetrator? cause for IL they just stated it would be stronger if they know who it is

Malissa (malissa@shield-legal.com)
2025-02-12 15:12:05

man that sounds insensitive... I'm sorry y'all lol

deleted-U05496RCQ9M
2025-02-12 15:12:14

no you're fine hahaha

Malissa (malissa@shield-legal.com)
2025-02-12 15:12:31

yeah it's always stronger if it's someone they already know about. But if the person can name their abuser, that's pretty strong too

deleted-U05496RCQ9M
2025-02-12 15:12:52

i just cloned the IL one

Malissa (malissa@shield-legal.com)
2025-02-12 15:13:59

hmmm that's a little different than what i sent for IL. BUT i think all we need to do is update "by a Catholic Priest" to "a member of the Clergy". I'll let you know what the firm says

deleted-U05496RCQ9M
2025-02-12 15:14:19

okay!

Malissa (malissa@shield-legal.com)
2025-02-12 15:14:46

IMHO monks and nuns shouldn't get away with the same stuff but you never know what the firm says

💯 deleted-U055HQT39PC
deleted-U05496RCQ9M
2025-02-12 15:14:54

same

Malissa (malissa@shield-legal.com)
2025-02-12 15:25:14

@deleted-U05496RCQ9M @deleted-U055HQT39PC i don't think the attorney is catholic or even studied it:

"Any member of the clergy such as priest, bishop would qualify. Monks are not part of the Catholic group." She's gotta be thinking Buddhist.

Anywho, Any member of the clergy.

deleted-U05496RCQ9M
2025-02-12 15:25:36

Gotcha! Would this apply to IL too?

Malissa (malissa@shield-legal.com)
2025-02-12 15:26:13

si

Malissa (malissa@shield-legal.com)
2025-02-12 15:26:20

go get those nuns

Malissa (malissa@shield-legal.com)
2025-02-12 15:26:21

lol

deleted-U05496RCQ9M
2025-02-12 15:27:13

let’s get these nuns!

deleted-U05496RCQ9M
2025-02-12 15:28:35

also, for both IL and MI, do you want me to change the criteria to MUST be a known perpetrator?

deleted-U05496RCQ9M
2025-02-12 15:28:54

or should we keep it open to no need to be known but must be able to identify by name and physical description?

Malissa (malissa@shield-legal.com)
2025-02-12 15:34:54

The original criteria was super vague. Andy and i had to put it together. Known perp is ideal. However if the person named isn't on the list, we can send it to the firm to review.

deleted-U05496RCQ9M
2025-02-12 15:36:19

Okay, I'll do that then: If perpetrator is not on the list, send for firm review

Malissa (malissa@shield-legal.com)
2025-02-12 15:36:44

sounds good

deleted-U05496RCQ9M
2025-02-12 15:37:06

and that list you sent me for michigan that's all priests, do you know?

deleted-U05496RCQ9M
2025-02-12 15:37:13

or is it a mix of clergy members?

deleted-U05496RCQ9M
2025-02-12 15:37:35

i'm so sorry, so many questions

Malissa (malissa@shield-legal.com)
2025-02-12 15:37:35

Those are the known perps they have. They might all be priests - i haven't had a chance to look

deleted-U05496RCQ9M
2025-02-12 15:37:39

okay!

Malissa (malissa@shield-legal.com)
2025-02-12 15:37:41

lol no worries

deleted-U05496RCQ9M
2025-02-12 15:41:49

i was able to, it looks like they're all priests lol

Malissa (malissa@shield-legal.com)
2025-02-12 15:43:01

i wanted to reply with "nice."

deleted-U05496RCQ9M
2025-02-12 15:43:13

xD

deleted-U05496RCQ9M
2025-02-12 15:43:24

it's so funny

deleted-U05496RCQ9M
2025-02-12 15:43:35

cause they want people in the clergy but only gave us a list of priests..

deleted-U055HQT39PC
2025-02-12 15:43:45

this is fine

😂 Malissa
deleted-U05496RCQ9M
2025-02-12 15:43:50

NO SERIOUSLY

Malissa (malissa@shield-legal.com)
2025-02-12 15:43:59

I mean......... priests are pretty terrible it looks like

deleted-U05496RCQ9M
2025-02-12 15:44:07

oh yeah definitely lol

Malissa (malissa@shield-legal.com)
2025-02-12 15:45:13

not all priests but definitely a lot of them

🙌:skin_tone_3: deleted-U05496RCQ9M
deleted-U05496RCQ9M
2025-02-17 10:20:32

@Malissa Good morning! I wanted to ask you about one of the diagnoses given to us with the Wood Pellet criteria. One of the diagnoses is Cardio pulmonary Obstructive Disease, but upon research, this is not a real diagnosis whatsoever. Did the attorneys actually mean Chronic obstructive pulmonary disease (COPD)? It's confusing the agents a bit lol and it's a tier 1 condition

Malissa (malissa@shield-legal.com)
2025-02-17 10:21:44

Probably. COPD makes sense.

Malissa (malissa@shield-legal.com)
2025-02-17 10:22:39

@deleted-U05496RCQ9M I'll bug Cam.

deleted-U05496RCQ9M
2025-02-17 10:22:50

Thank you so much!

Malissa (malissa@shield-legal.com)
2025-02-17 11:11:02

@deleted-U05496RCQ9M Yes, it's COPD

Malissa (malissa@shield-legal.com)
2025-02-17 11:11:07

it was a typo

deleted-U05496RCQ9M
2025-02-17 11:11:19

okay, thank you!

Malissa (malissa@shield-legal.com)
2025-02-17 11:11:33

It would be Tier 1.

🙌:skin_tone_3: deleted-U05496RCQ9M
deleted-U05496RCQ9M
2025-02-17 12:37:27

@Malissa Hi! I was looking at the documents for the AZ SA campaign, there's two hipaas and both of them are for Douglas London. Do we have other documents since the campaign is actually for Burg Simpson and Meadow?

deleted-U055HQT39PC
2025-02-17 12:39:30

@Malissa I know Meadow and Douglas London have worked together in the past, just want to make sure these docs are good to use

deleted-U05496RCQ9M
2025-02-17 12:40:59

Yeah and no actual retainer, they're both HIPAA

👀 deleted-U055HQT39PC
Malissa (malissa@shield-legal.com)
2025-02-17 12:43:09

Those aren’t for AZ YTC

Malissa (malissa@shield-legal.com)
2025-02-17 12:43:17

I don’t have them yet

Malissa (malissa@shield-legal.com)
2025-02-17 12:43:27

@deleted-U05496RCQ9M @deleted-U055HQT39PC

Malissa (malissa@shield-legal.com)
2025-02-17 12:44:02

I think Becker was tired when he named those or it means something else. Those are just for the afff campaign with Douglass London

Malissa (malissa@shield-legal.com)
2025-02-17 12:45:02

They're not going to give us documents for AZ YTC until we get the intake form ready for review. Then they'll make updates to it and will send the docs later

Malissa (malissa@shield-legal.com)
2025-02-19 11:15:54

hi @deleted-U05496RCQ9M! Some good news - Meadow has reviewed your draft AZ intake and they've only got little change requests. Please see attached. Their edits are in red.

Malissa (malissa@shield-legal.com)
2025-02-19 11:16:30

@deleted-U055HQT39PC they had some other requests regarding intake that's more technical. Cam's asking for clarifications and I'll pass that along to you as soon as i can

deleted-U05496RCQ9M
2025-02-19 11:18:16

Got it! Will work on this ASAP, thank you @Malissa!!

Malissa (malissa@shield-legal.com)
2025-02-19 16:58:26

@deleted-U05496RCQ9M Jon wants to add dropdowns - heads up. Before i get all that though, we need to add something to the AZ intake: For the Abuser 1-4+ sections. Please ask which facility the abuser was located.

👀 deleted-U05496RCQ9M
deleted-U05496RCQ9M
2025-02-19 17:28:49

@Malissa Does he want that question as a dropdown or an open text box? Is that what you mean?

deleted-U05496RCQ9M
2025-02-19 17:29:26

Or are the dropdowns you're referring to different questions?

Malissa (malissa@shield-legal.com)
2025-02-19 17:29:49

He doesn't have that in the dropdown list.

Malissa (malissa@shield-legal.com)
2025-02-19 17:29:56

Here's the list @deleted-U05496RCQ9M

Dropdowns • Question 5 ◦ Oasis Behavioral Health (Acadia) ◦ Sonora Behavioral Health (Acadia) ◦ Palo Verde Behavioral Health (UHS) ◦ Quail Run Behavioral Health Hospital (UHS) ◦ Devereux Advanced Behavioral Health AZ ◦ Mingus Mountain Academy (Sequel/Vivant) ◦ Casa Grande Academy (Sequel/Vivant) • Questions 36, 53, and 70 ◦ Penetration ◦ Oral Copulation ◦ Masturbation ◦ Unlawful Touching (Groping)

Numeric only Fields • Question 9 • Question 10 • Question 34 • Question 51 • Question 68

Malissa (malissa@shield-legal.com)
2025-02-19 17:30:02

hot off the press

deleted-U05496RCQ9M
2025-02-19 17:37:16

So @Malissa • #5 is already a dropdown with all the facilities, the only change would be adding casa grande cause that wasn't part of the criteria they sent us so it wasn't added. • 36, 53, and 70 are also already dropdowns. i have unlawful touching as "Skin-to-skin contact of intimate parts" but I can change that to Unlawful Touching (Groping) if they want? • I'm confused on the Numeric only Fields lol

Malissa (malissa@shield-legal.com)
2025-02-19 17:38:52

I'd stick with whatever they have on the redlined intake that i posted earlier. What we can do is when you get that done, we can send them another copy with the updates. we can just highlight what's a dropdown or something.

Malissa (malissa@shield-legal.com)
2025-02-19 17:39:20

as for the numeric only, i'm guessing he wants a field that will only take a number. like no attempts at typing in a sentence

Malissa (malissa@shield-legal.com)
2025-02-19 17:41:13

yeah that's definitely what he means by numeric. For example: 32 instead of 32 years or "Back in 1932 i was...."

deleted-U05496RCQ9M
2025-02-19 17:42:06

So the problem with the numeric fields is that's not a thing in LR unless it's a date, social, or phone number. 34, 51, 68 are dropdowns that go from 1-5+

Malissa (malissa@shield-legal.com)
2025-02-19 17:42:29

Silly lawruler

deleted-U05496RCQ9M
2025-02-19 17:42:59

yes lol

Malissa (malissa@shield-legal.com)
2025-02-19 17:43:13

let's leave those as dropdowns for now and let him know when we send a draft. 🙂

Malissa (malissa@shield-legal.com)
2025-02-19 17:43:24

i think it's really about it just being a number

deleted-U05496RCQ9M
2025-02-19 17:43:50

so 9 and 10 would have to be a textbox unless he wants a dropdown of every single number which is gonna be difficult

deleted-U05496RCQ9M
2025-02-19 17:45:49

with the question he wants me to add with what facility the abuser was in, does he want that as a dropdown with all the facilities (this would also be a slight issue because we are taking pretty much any Treatment facility in AZ including the ones listed in the criteria so we would have to then add another text box if it isn't on the list of facilities) or a text box?

Malissa (malissa@shield-legal.com)
2025-02-19 17:47:25

based on LR restrictions and capabilities, let's make it a text box for now.

I just sent him a message asking if he wants that added question to be a dropdown

deleted-U05496RCQ9M
2025-02-19 17:47:50

okay!

Malissa (malissa@shield-legal.com)
2025-02-20 10:30:19

Buenos Dias! Happy Friday Junior!

@deleted-U05496RCQ9M Yes, we are making this a dropdown:

"For the Abuser 1-4+ sections. Please ask which facility the abuser was located."

deleted-U05496RCQ9M
2025-02-20 10:49:23

@Malissa Gotcha, so I'll put the facilities in a dropdown with an additional text box for any facilities that isn't on the list

Malissa (malissa@shield-legal.com)
2025-02-20 10:50:28

That sounds good

Malissa (malissa@shield-legal.com)
2025-02-20 10:50:31

Thank you!

Malissa (malissa@shield-legal.com)
2025-02-20 11:18:40

@deleted-U05496RCQ9M when you get the intake done, can you send me a copy of it? I need to share it with Jon @ Meadow so he can build out their API to match.

deleted-U05496RCQ9M
2025-02-20 11:19:07

yes

deleted-U05496RCQ9M
2025-02-20 17:37:55

@Malissa Here's a copy of the intake form! I also highlighted purple the number of every question that is a dropdown

Malissa (malissa@shield-legal.com)
2025-02-20 17:46:25

Awesome thank you!

Malissa (malissa@shield-legal.com)
2025-02-20 17:46:30

@deleted-U05496RCQ9M

deleted-U05496RCQ9M
2025-02-20 17:46:51

No problem!

deleted-U05496RCQ9M
2025-02-24 13:52:43

@Malissa Hello! Do we have a HIPAA for Dublin Womens Prison Abuse - LOSG TC - Slater - Shield Legal?

Malissa (malissa@shield-legal.com)
2025-02-24 13:56:18

I'm not sure. I'll check

deleted-U055HQT39PC
2025-02-24 14:21:19

@Malissa do we have the AZ retainer yet?

deleted-U05496RCQ9M
2025-02-24 14:50:48

@Malissa I updated that spreadsheet as well, it'll show you everything we need thus far! https://docs.google.com/spreadsheets/d/1Qz5a-qCAPq4MFu74l5aVdjBdzfeP3pitxFoQ4Q7EzDw/edit?gid=0#gid=0

Malissa (malissa@shield-legal.com)
2025-02-24 14:51:39

@deleted-U055HQT39PC not yet

✅ deleted-U055HQT39PC
deleted-U05496RCQ9M
2025-02-24 17:58:05

Hello @Malissa! May i please have permission to change this field in the VGA AWKO - Goldlaw retainers? I just wanna change it to a MM/DD/YYYY format

Malissa (malissa@shield-legal.com)
2025-02-24 17:58:45

@deleted-U05496RCQ9M I'll find out!

deleted-U05496RCQ9M
2025-02-24 17:59:17

Thank you!!

deleted-U05496RCQ9M
2025-02-25 12:04:07

@Malissa Morning! Any word on the VGA retainer?

Malissa (malissa@shield-legal.com)
2025-02-25 12:09:47

not yet @deleted-U05496RCQ9M. I'm working on reports now and I'll text Jon Becker again afterwards. I've bugged him a lot

deleted-U05496RCQ9M
2025-02-25 12:09:57

Okay!

deleted-U062D2YJ15Y
2025-02-25 12:29:05

@Malissa I just asked Andy hes said were good to go with it

Malissa (malissa@shield-legal.com)
2025-02-25 12:31:04

sweeeeeeeet

:batt: deleted-U062D2YJ15Y
Malissa (malissa@shield-legal.com)
2025-02-25 12:31:22

thanks @deleted-U062D2YJ15Y. Did he get you a retainer?

deleted-U062D2YJ15Y
2025-02-25 12:31:33

No we just made the update on our side

👍 Malissa
deleted-U05496RCQ9M
2025-02-25 12:31:41

LOL

deleted-U05496RCQ9M
2025-02-25 12:31:45

not that bat

:aaaaaa: deleted-U062D2YJ15Y
deleted-U05496RCQ9M
2025-02-25 12:31:54

i love that emoji sm

deleted-U05496RCQ9M
2025-02-25 12:32:26

:batt: this is the new christian emoji while mine is :thisisfine:

deleted-U055HQT39PC
2025-02-25 13:53:04

Hey Malissa, Tony is wanting to make Dublin live. Are we good to proceed without a hipaa

deleted-U055HQT39PC
2025-02-25 13:53:11

@Malissa

Malissa (malissa@shield-legal.com)
2025-02-25 13:56:36

@deleted-U055HQT39PC standby

deleted-U055HQT39PC
2025-02-25 14:07:27

Thank you

Malissa (malissa@shield-legal.com)
2025-02-25 14:21:01

@deleted-U055HQT39PC Just make sure that retainer is the same. The firm just sent it with the HIPAA

deleted-U05496RCQ9M
2025-02-25 14:28:50

Got it! Will work on this now

❤️ Malissa
Malissa (malissa@shield-legal.com)
2025-02-25 14:30:09

Thank you @deleted-U05496RCQ9M

deleted-U05496RCQ9M
2025-02-25 14:36:47

@Malissa It's fine that it says Oakwood in the Hipaa, yeah?

Malissa (malissa@shield-legal.com)
2025-02-25 14:38:24

Uno momento por favor

deleted-U05496RCQ9M
2025-02-25 14:38:34

Okay

deleted-U055HQT39PC
2025-02-25 14:39:12

lol fun times

Malissa (malissa@shield-legal.com)
2025-02-25 14:39:22

Y'all should have just seen my face

Malissa (malissa@shield-legal.com)
2025-02-25 14:39:24

lol

deleted-U05496RCQ9M
2025-02-25 14:39:36

Yeah, I was like wait that's not right lol

deleted-U055HQT39PC
2025-02-25 14:39:38

:aa:

Malissa (malissa@shield-legal.com)
2025-02-25 14:41:22

This is close

Malissa (malissa@shield-legal.com)
2025-02-25 14:48:03

Yes, that is the correct HIPAA

Malissa (malissa@shield-legal.com)
2025-02-25 14:48:14

Tell Tony to Rock and or Roll

deleted-U05496RCQ9M
2025-02-25 14:50:28

DONE

👍 Malissa
deleted-U05496RCQ9M
2025-02-26 13:19:18

@Malissa Hi! Sobo wanted me to let you know that his slack is also being weird and please send the docs here needed for Chowchilla - Awko

Malissa (malissa@shield-legal.com)
2025-02-26 13:23:06

weird. i was just about to ask you guys what you needed for Goldlaw Chowchilla and Gaming Addiction

Malissa (malissa@shield-legal.com)
2025-02-26 13:26:02
deleted-U05496RCQ9M
2025-02-26 13:26:12

Pending NEW Campaigns I updated the sheet! This is what we need

❤️ Malissa
deleted-U055HQT39PC
2025-02-26 13:26:30

Slack is working on my phone, service sucks tho haha

Malissa (malissa@shield-legal.com)
2025-02-26 13:26:49

Thank link wasn't refreshing for me @deleted-U05496RCQ9M. Your link worked though. weird.

Malissa (malissa@shield-legal.com)
2025-02-26 13:27:25

@deleted-U05496RCQ9M HIPAA for Chowchilla. HITECH too

Malissa (malissa@shield-legal.com)
2025-02-26 13:30:33

I put the intake docs for St Helens and Hudson Bay in the Call Center channel. Here they are

Malissa (malissa@shield-legal.com)
2025-02-26 13:30:43
Malissa (malissa@shield-legal.com)
2025-02-26 13:30:48

they said to use the same one for both

Malissa (malissa@shield-legal.com)
2025-02-26 13:31:16

i thought i sent you guys the hipaa for dublin

deleted-U05496RCQ9M
2025-02-26 13:31:31

MY BAD

deleted-U05496RCQ9M
2025-02-26 13:31:35

I DIDN'T CHANGE IT

deleted-U05496RCQ9M
2025-02-26 13:31:39

I got it though!

deleted-U05496RCQ9M
2025-02-26 13:31:41

It's open now

deleted-U05496RCQ9M
2025-02-26 13:31:43

lolol

Malissa (malissa@shield-legal.com)
2025-02-26 13:31:48

lol no worries. slack broke and everything went weird lol

deleted-U05496RCQ9M
2025-02-26 13:32:13

So that doc you just sent is the retainer for St Helens and Hudson Bay, yeah?

Malissa (malissa@shield-legal.com)
2025-02-26 13:32:23

yup

Malissa (malissa@shield-legal.com)
2025-02-26 13:32:38

She said that's what they use for their SA cases

deleted-U05496RCQ9M
2025-02-26 13:32:51

oh nice and it has the hipaa hitech too

Malissa (malissa@shield-legal.com)
2025-02-26 13:33:03

yeah they've learned

deleted-U05496RCQ9M
2025-02-26 13:33:51

So now we just need the docs for AZ Juvenile Hall and the criteria for both St Helens and Hudsons Bay

Malissa (malissa@shield-legal.com)
2025-02-26 13:34:23

i feel like Cam gave instructions somewhere on that criteria. i gotta find it. I bugged them again about AZ

Malissa (malissa@shield-legal.com)
2025-02-26 14:17:14

Ok so.... Arizona

Malissa (malissa@shield-legal.com)
2025-02-26 14:17:29

They've got to make some tweaks. He said i should have it in 36 hours

deleted-U05496RCQ9M
2025-02-26 14:17:39

No worries!

Malissa (malissa@shield-legal.com)
2025-02-26 14:24:36

@deleted-U05496RCQ9M @deleted-U055HQT39PC Do you guys have the tier criteria for VGA?

deleted-U05496RCQ9M
2025-02-26 14:25:08

I think Sobo does

Malissa (malissa@shield-legal.com)
2025-02-26 14:40:58

Cam's looking for tier 1. I asked Alex too

deleted-U05496RCQ9M
2025-02-27 10:48:18

@Malissa Good morning! I was wondering if there was any information on Dr. Scott Lee? I saw that the criteria they provided was only for Dr. Derrick Todd and only provided his background, but we didn't get anything for/about Dr. Scott Lee. I tried looking him up and the only Dr. Scott Lee I could find that has any relation to sexual abuse is a gynecologist that worked at CIW (California Institution for Women). That might be him, but I wanted to know if there might be more information from the firm? Thank you!

Malissa (malissa@shield-legal.com)
2025-02-27 11:08:42

Hi @deleted-U05496RCQ9M The basic criteria is the same for both. I asked for an info sheet on Dr Lee though and I’ll send as soon as I can. :)

deleted-U05496RCQ9M
2025-02-27 11:14:06

Yeah, I figured it would be the same criteria for both, I just needed his info cause there's like 5 different Dr. Scott Lees lol

Malissa (malissa@shield-legal.com)
2025-02-27 11:16:30

I feel bad for the other 4 Scott Lees

deleted-U05496RCQ9M
2025-02-27 11:16:38

LOL

deleted-U05496RCQ9M
2025-02-27 11:16:43

same

Malissa (malissa@shield-legal.com)
2025-02-27 11:16:48

Also, if you guys have ever watched Scrubs........ Dr. Todd

deleted-U05496RCQ9M
2025-02-27 11:16:59

I HAVE YES

deleted-U055HQT39PC
2025-02-27 11:17:29

lol I think Scrubs was Sunnie’s favorite show

😂 Malissa
:batt: deleted-U05496RCQ9M
Malissa (malissa@shield-legal.com)
2025-02-27 11:17:40

IT's a good one

deleted-U05496RCQ9M
2025-02-27 11:17:54

Anthony's a liar, he just wants to call me a scrub

❌ deleted-U055HQT39PC
deleted-U05496RCQ9M
2025-02-27 11:18:01

lol

Malissa (malissa@shield-legal.com)
2025-02-27 11:18:12

oh snap! Lol

deleted-U05496RCQ9M
2025-02-27 11:18:30

@deleted-U055HQT39PC :batt:

Malissa (malissa@shield-legal.com)
2025-02-27 11:45:05

@deleted-U055HQT39PC @deleted-U05496RCQ9M @deleted-U062D2YJ15Y Can you guys let me know when VGA - AWKO/GOLDLAW is ready to go?

Malissa (malissa@shield-legal.com)
2025-02-27 11:45:13

Cam's request

deleted-U05496RCQ9M
2025-02-27 11:46:08

@Malissa It was opened on the 25th!

Malissa (malissa@shield-legal.com)
2025-02-27 11:46:43

Ok cool. The tracker said almost ready. Thanks!

deleted-U05496RCQ9M
2025-02-27 11:47:00

oh my bad lol

Malissa (malissa@shield-legal.com)
2025-02-27 11:47:40

No worries!

Malissa (malissa@shield-legal.com)
2025-02-27 11:51:22

i posted it in the call center just now. Here's the HIPAA for Todd and Lee

deleted-U05496RCQ9M
2025-02-27 11:51:41

Thank you!!

deleted-U05496RCQ9M
2025-02-27 11:52:26

Would it be the same retainer as the Dr. Barry Brock campaign?

deleted-U05496RCQ9M
2025-02-27 11:53:33

Got it, thank you so much!!

Malissa (malissa@shield-legal.com)
2025-02-27 11:54:36

are you guys ok if i share your new campaigns sheet with Greg?

deleted-U05496RCQ9M
2025-02-27 11:54:44

yes!

Malissa (malissa@shield-legal.com)
2025-02-27 12:50:18

I have a present for you @deleted-U05496RCQ9M

deleted-U05496RCQ9M
2025-02-27 12:50:35

AHHH

deleted-U05496RCQ9M
2025-02-27 12:50:38

thank you!!!!!

deleted-U062D2YJ15Y
2025-02-27 12:51:00

lets go!

deleted-U05496RCQ9M
2025-02-27 12:51:47

So was I right, is he the Gynecologist at CIW? 👀

Malissa (malissa@shield-legal.com)
2025-02-27 12:59:47

I haven't looked yet

Malissa (malissa@shield-legal.com)
2025-02-27 12:59:54

I wouldn't be surprised

Malissa (malissa@shield-legal.com)
2025-02-27 13:00:29

yeah i bet he is

deleted-U05496RCQ9M
2025-03-03 13:23:47

Hi @Malissa! I updated the spreadsheet regarding what we need for each campaign, so now this is what we need for each: • AZ Juvenile Hall Abuse - ML - ML - Shield Legal: Need Retainer • St Helens Sexual Abuse - AWKO - AWKO - Shield Legal: Need Criteria • Hudsons Bay High School Abuse - AWKO - AWKO - Shield Legal: Need Criteria

Malissa (malissa@shield-legal.com)
2025-03-03 13:34:41

i was promised a retainer for AZ today @deleted-U05496RCQ9M. I hope my heart doesn't get broken.

I'll follow up again on that criteria. REMIND ME!

Malissa (malissa@shield-legal.com)
2025-03-03 13:34:44

lol

deleted-U05496RCQ9M
2025-03-03 13:35:00

Finger's crossed we actually get the retainer lol

deleted-U05496RCQ9M
2025-03-03 13:35:09

I'll remind you again after lunch!!

Malissa (malissa@shield-legal.com)
2025-03-03 13:35:26

sounds good. i've got a meeting at 12 with the dude who made that promise

deleted-U05496RCQ9M
2025-03-03 13:35:37

Excellent lol

deleted-U05496RCQ9M
2025-03-03 15:48:06

@Malissa Here's your after lunch reminder as promised!

Malissa (malissa@shield-legal.com)
2025-03-03 15:48:34

yeah he ran away from me

Malissa (malissa@shield-legal.com)
2025-03-03 15:48:49

i'll keep harassing him

deleted-U05496RCQ9M
2025-03-03 15:51:18

gotcha 🤣

Malissa (malissa@shield-legal.com)
2025-03-03 15:53:32

i need him to approve an invoicing format too so he's gotta stop running away

:batt: deleted-U05496RCQ9M
Malissa (malissa@shield-legal.com)
2025-03-03 20:46:21

@deleted-U05496RCQ9M @deleted-U055HQT39PC @deleted-U062D2YJ15Y sorry for the late message. Cam said to roll with this criteria for the AWKO sex abuse campaigns:

Abused by staff or teacher at _School while a student Abuse occured while 17 or under No lawyer

Traffic is starting tomorrow so we need to get this updated asap.

deleted-U055HQT39PC
2025-03-03 21:19:26

Is this for the new rush campaign?

deleted-U055HQT39PC
2025-03-03 21:19:31

@Malissa

Malissa (malissa@shield-legal.com)
2025-03-03 21:19:56

No this is for St Helens and Hudson Bay

Malissa (malissa@shield-legal.com)
2025-03-03 21:20:09

We’ve got Everything for the new rush campaign

Malissa (malissa@shield-legal.com)
2025-03-03 21:20:21

@deleted-U055HQT39PC

deleted-U055HQT39PC
2025-03-03 21:20:42

Ooooh ok haha yeah that makes sense.

deleted-U055HQT39PC
2025-03-03 21:23:03

@Malissa did we get retainer/hipaa for this one?

Malissa (malissa@shield-legal.com)
2025-03-03 21:23:13

We did

deleted-U055HQT39PC
2025-03-03 21:24:29

I don't think I have those 🤔

Malissa (malissa@shield-legal.com)
2025-03-03 21:24:39

It’s in the reply on the original post. 2/25

Malissa (malissa@shield-legal.com)
2025-03-03 21:25:04

I try to keep things together lol

deleted-U055HQT39PC
2025-03-03 21:25:26

ah ok then we do have it lol

deleted-U055HQT39PC
2025-03-03 21:26:24

same doc for both campaigns

Malissa (malissa@shield-legal.com)
2025-03-03 21:26:37

Yup Same one

Malissa (malissa@shield-legal.com)
2025-03-03 21:26:49

That’s their standard SA intake packet

deleted-U055HQT39PC
2025-03-03 21:27:07

yup with their 90 page hipaa

Malissa (malissa@shield-legal.com)
2025-03-03 21:27:30

😅

deleted-U055HQT39PC
2025-03-03 21:32:04

Ok do you think we need these done tonight or first thing AM

Malissa (malissa@shield-legal.com)
2025-03-03 21:33:51

How long will it take? He wanted to “get it in tonight as traffic starts tomorrow”

deleted-U055HQT39PC
2025-03-03 21:35:58

I can get it done tonight. Their intake form is really short, not the greatest tbh. That's what they want tho right not our usual template

Malissa (malissa@shield-legal.com)
2025-03-03 21:38:34

That’s their intake form and that’s pretty much it.

Malissa (malissa@shield-legal.com)
2025-03-03 21:38:47

And thank you. I will bring you candy or something

deleted-U055HQT39PC
2025-03-03 21:41:03

excited

Malissa (malissa@shield-legal.com)
2025-03-03 21:41:37

I appreciate all that you guys do!

Malissa (malissa@shield-legal.com)
2025-03-04 07:49:38

I like it!

Malissa (malissa@shield-legal.com)
2025-03-04 10:32:09

@deleted-U05496RCQ9M @deleted-U055HQT39PC @deleted-U062D2YJ15Y

HI! I have a special treat for you guys at my desk if someone wants to come grab it. Or i can walk it over in a bit.

Malissa (malissa@shield-legal.com)
2025-03-04 10:32:16

Also, I've got some rush setups coming

deleted-U05496RCQ9M
2025-03-04 10:32:25

im gonna

Malissa (malissa@shield-legal.com)
2025-03-04 10:32:28

AZ YRTC and NV YRTC for DL/Flatirons

deleted-U05496RCQ9M
2025-03-04 10:32:33

cry

deleted-U05496RCQ9M
2025-03-04 10:32:54

omg nv yrtc

deleted-U05496RCQ9M
2025-03-04 10:33:08

a youth treatment facility yeah?

Malissa (malissa@shield-legal.com)
2025-03-04 10:33:12

si

deleted-U05496RCQ9M
2025-03-04 10:33:21

I'm just going to be cloning arizona then lol

deleted-U05496RCQ9M
2025-03-04 10:33:27

nvm we good

deleted-U05496RCQ9M
2025-03-04 10:33:39

im not crying as of yet

deleted-U05496RCQ9M
2025-03-04 10:34:23

i'm ready

deleted-U05496RCQ9M
2025-03-04 10:34:37

also thank you so much for bringing treats 😭

Malissa (malissa@shield-legal.com)
2025-03-04 10:39:43

Of course! You guys are working hard.

deleted-U055HQT39PC
2025-03-04 11:16:45

@Malissa For those AWKO campaigns, the retainer has yellow highlights. Are those the only things we're mapping?

Malissa (malissa@shield-legal.com)
2025-03-04 11:19:13

Looks like that's a chunk of it but other parts should be mapped i think. Like the blank after WE at the beginning

Malissa (malissa@shield-legal.com)
2025-03-04 11:19:30

the highlights look like the part the PNC needs to sign?

deleted-U055HQT39PC
2025-03-04 11:20:25

yeah that's what's confusing, they highlight like printed name and some signatures, but not every signature box or date box

Malissa (malissa@shield-legal.com)
2025-03-04 11:22:12

i think the HIPAA/HITECH is the same as what they've used for their other compaigns

Malissa (malissa@shield-legal.com)
2025-03-04 11:22:29

How different is this retainer from their VGA campaign?

deleted-U055HQT39PC
2025-03-04 11:33:03

it's not too different tbh. we can just map as much as possible and if they don't want it they can let us know

👍 Malissa
Malissa (malissa@shield-legal.com)
2025-03-04 12:36:24

@deleted-U055HQT39PC How is the setup going for those new DL/Flatirons campaigns?

deleted-U05496RCQ9M
2025-03-04 12:43:17

@Malissa I'm working on those now!

👍 Malissa
👏 Malissa
deleted-U055HQT39PC
2025-03-04 12:56:03

@Malissa we were asked to change the intake forms, so we don’t have a full clone. Converting radio bubbles to dropdowns etc

deleted-U055HQT39PC
2025-03-04 12:56:25

Will take longer than normal to implement those changes asked for

deleted-U055HQT39PC
2025-03-04 12:57:45

NVM, we're cloning AZ that's done

👍 Malissa
Malissa (malissa@shield-legal.com)
2025-03-04 13:11:54

so all's good @deleted-U055HQT39PC?

deleted-U05496RCQ9M
2025-03-04 13:12:07

Yes I'll have these done fairly soon

deleted-U05496RCQ9M
2025-03-04 13:12:24

probably an hour at the latest

deleted-U05496RCQ9M
2025-03-04 14:16:23

Hey, @Malissa Is there a list of facilities for the NV YRTC campaign as well as the AZ one? or am i keeping the list of facilities the same as AZ YTC Burg Simpson - ML?

Malissa (malissa@shield-legal.com)
2025-03-04 14:17:08

Yeah keep AZ the same for now. I'll bug Cam but with or without it we gotta get it set up today. O.o

deleted-U05496RCQ9M
2025-03-04 14:17:29

okay

Malissa (malissa@shield-legal.com)
2025-03-04 17:17:13

@here how are we doing on all the setups?

deleted-U05496RCQ9M
2025-03-04 17:18:23

AZ and Nevada are set up as much as we could without criteria and without a retainer and hipaa

deleted-U05496RCQ9M
2025-03-04 17:18:31

Los Padrinos is being worked on

Malissa (malissa@shield-legal.com)
2025-03-04 17:19:24

I thought we had criteria for AZ

Malissa (malissa@shield-legal.com)
2025-03-04 17:19:35

I've asked for a facility list with NVC

Malissa (malissa@shield-legal.com)
2025-03-04 17:19:37

NV

deleted-U05496RCQ9M
2025-03-04 17:20:01

I just used Meadow's criteria

Malissa (malissa@shield-legal.com)
2025-03-04 17:20:46

Cam wanted to clone criteria so that should be good.

deleted-U055HQT39PC
2025-03-04 18:24:39

@Malissa can you see any attachments in Cam's email? I can't

Malissa (malissa@shield-legal.com)
2025-03-04 18:26:22

@deleted-U055HQT39PC glad it wasn’t just me lol

deleted-U05496RCQ9M
2025-03-04 18:26:35

We were so confused

Malissa (malissa@shield-legal.com)
2025-03-04 18:43:24
😂 deleted-U055HQT39PC
Malissa (malissa@shield-legal.com)
2025-03-05 10:34:49

@deleted-U055HQT39PC @deleted-U05496RCQ9M I have a criteria update from the firm (finally) for St Helens SA

Malissa (malissa@shield-legal.com)
2025-03-05 10:35:21

"For the Oregon case, the client would need to be under 40. I know all the clients with that particular perpetrator would be young, but in case someone calls with a much older case, the SOL is age 40. Thanks."

deleted-U05496RCQ9M
2025-03-05 10:45:48

Got it

Malissa (malissa@shield-legal.com)
2025-03-06 10:33:17

Buenos Dias! @here are we all set with Maryland - BG/Meadow?

deleted-U05496RCQ9M
2025-03-06 10:34:01

Good morning! MD is opened!

Malissa (malissa@shield-legal.com)
2025-03-06 10:36:23

ok cool

Malissa (malissa@shield-legal.com)
2025-03-06 10:36:26

gracias!

deleted-U05496RCQ9M
2025-03-06 10:36:31

Also, I did want to ask you something! @Malissa Alex Cuzzo gave us this list of NV YRTC facilities: • Silver State Adolescent & Treatment Center. ... • Sierra Sage Treatment Center. ... • Moriah Behavioral Health • Newport Academy • Evolve Residential Treatment Centers • Havenwood Academy. • The Nevada Youth Center (NYTC) • Spring Mountain Treatment Center, • Willow Springs Center • Silver State Adolescent Treatment • SunArch Academy • Summit View Youth Center • Desert Winds Recovery Center • Desert Parkway • Seven Hills Hospital • Reno Behavioral Healthcare Hospital

Are these correct? Should I add them to the criteria>

Malissa (malissa@shield-legal.com)
2025-03-06 10:37:04

She probably got that from Meadow. I'll run it by Cam to be sure it works for DL/Flatirons

deleted-U05496RCQ9M
2025-03-06 10:38:06

oki doki

Malissa (malissa@shield-legal.com)
2025-03-06 10:49:01

@deleted-U05496RCQ9M

deleted-U05496RCQ9M
2025-03-06 10:51:21

Oh?

deleted-U05496RCQ9M
2025-03-06 10:51:24

Is good?

Malissa (malissa@shield-legal.com)
2025-03-06 10:52:09

si! you can add those facilities

deleted-U05496RCQ9M
2025-03-06 10:53:58

excellent, thank you!

deleted-U05496RCQ9M
2025-03-06 12:45:53

@Malissa! Quick question, are they limited to those facilities or are we open to taking any facilities in nevada

Malissa (malissa@shield-legal.com)
2025-03-06 12:50:07

I'll find out @deleted-U05496RCQ9M

deleted-U05496RCQ9M
2025-03-06 12:51:55

Thank you, I just want to make sure so I can add the necessary questions to the form!

Malissa (malissa@shield-legal.com)
2025-03-06 12:56:02

for sure.

Malissa (malissa@shield-legal.com)
2025-03-06 12:56:14

it probably is fine but i want to check

deleted-U05496RCQ9M
2025-03-06 13:07:24

@Malissa hey, for AZ YRTC are they accepting resident to resident abuse? Since there wasn't criteria provided for the DL - Flatirons campaign, we just cloned Meadow's criteria which includes Resident to Resident abuse. Just wanted to clarify if DL is also taking it.

deleted-U05496RCQ9M
2025-03-06 13:07:32

Same with NV

Malissa (malissa@shield-legal.com)
2025-03-06 13:30:12

Just asked for both

Malissa (malissa@shield-legal.com)
2025-03-06 15:35:04

@deleted-U05496RCQ9M if inmate v inmate is on Meadow's then yes

deleted-U05496RCQ9M
2025-03-06 15:36:02

Thank you!

deleted-U05496RCQ9M
2025-03-06 15:36:38

And do we have word yet on the facilities for NV if the client is limited to those facilities or are we taking any YTC in NV?

Malissa (malissa@shield-legal.com)
2025-03-06 15:37:45

He hasn't said yet. Keep working on setup though.

deleted-U05496RCQ9M
2025-03-06 15:37:53

oki doki

Malissa (malissa@shield-legal.com)
2025-03-06 15:37:54

i don't want that to be the stuck 🙂

Malissa (malissa@shield-legal.com)
2025-03-06 15:38:28

is there an option to make other facilities an auto qa review or something?

deleted-U05496RCQ9M
2025-03-06 15:39:26

well i can just add a dropdown with only the facilities. but if we're not limited to those facilities, i add an "other" option and then a textbox tied to that option pops up to list what other facility

Malissa (malissa@shield-legal.com)
2025-03-07 10:54:09

Hey @here Just a heads up. Gomez Law FINALLY funded their Noodle Soup campaign. Cam is going to chat with the attorney for any updates and he'll give the ok to go live with it. It will probably be today

Malissa (malissa@shield-legal.com)
2025-03-07 10:54:10

FINALLY

Malissa (malissa@shield-legal.com)
2025-03-10 14:00:32

Hi @here Is the Pending New Campaigns sheet up to date?

deleted-U05496RCQ9M
2025-03-10 14:01:10

Now it is lol

Malissa (malissa@shield-legal.com)
2025-03-10 14:01:37

Thank you!

Malissa (malissa@shield-legal.com)
2025-03-10 14:01:44

I still have no updates on AZ

deleted-U05496RCQ9M
2025-03-10 14:02:19

AZ i'm still working on because they're confusing me. They told me to make changes to the initial intake form, sent a whole email about it, then started talking about how it's for the secondary. I think they're all confused

Malissa (malissa@shield-legal.com)
2025-03-10 14:02:35

probably. Who sent the email?

deleted-U05496RCQ9M
2025-03-10 14:03:31

It was forwarded to me by Alex, it was a message thread between her and someone from meadow.

Malissa (malissa@shield-legal.com)
2025-03-10 14:03:56

hmmmm can you send to me? malissa@shield-legal.com

deleted-U05496RCQ9M
2025-03-10 14:04:44

Both Alex and Becker came up to me last week and told me to make changes to the intake form then forwarded me the email so I started making changes accordingly and when I listed what needed to be done and for confirmation, that's when the confusion began

deleted-U05496RCQ9M
2025-03-10 14:07:03

I still have no idea what i'm supposed to do, because the changes they listed matches up with the questions in the initial intake form in terms of order and where they're supposed to be, but then they started speaking about it being in the secondary interview and it started not making any sense to me lol

Malissa (malissa@shield-legal.com)
2025-03-10 14:07:10

gotcha.

deleted-U05496RCQ9M
2025-03-10 14:07:13

i just forwarded it to you

Malissa (malissa@shield-legal.com)
2025-03-10 14:07:13

let me find out

Malissa (malissa@shield-legal.com)
2025-03-10 14:07:27

it's not like it's going live any time soon

Malissa (malissa@shield-legal.com)
2025-03-10 14:07:28

lol

deleted-U05496RCQ9M
2025-03-10 14:07:32

right lol

Malissa (malissa@shield-legal.com)
2025-03-10 14:17:01

@deleted-U05496RCQ9M Here is the retainer for MD Juv Hall - BG/Kuzyk

Malissa (malissa@shield-legal.com)
2025-03-10 14:17:10

HIPAA too

🙌 deleted-U055HQT39PC
deleted-U05496RCQ9M
2025-03-10 14:44:02

@Malissa Thank you!

Malissa (malissa@shield-legal.com)
2025-03-10 14:51:43

No problem

deleted-U05496RCQ9M
2025-03-11 10:33:31

@Malissa Good morning, just wanted to let you know that I spoke to Alex yesterday and we were able to work through the confusion. Now all we need now is the retainer!

Malissa (malissa@shield-legal.com)
2025-03-11 10:33:58

Sweet! The time change messed with me yesterday and i was getting confused lol

Malissa (malissa@shield-legal.com)
2025-03-11 10:34:02

no updates on the retainers

deleted-U05496RCQ9M
2025-03-11 10:34:09

gotcha, thank you!

deleted-U05496RCQ9M
2025-03-12 10:51:08

@Malissa Good morning! since we're just cloning the most recent NH YDC template, it does have a list of known facilities and states that any other NH facility must be sent for review. Is this fine for New Hampshire YDC Abuse - BG - VAM Law - Meadow Law - Shield Legal?

Malissa (malissa@shield-legal.com)
2025-03-12 10:51:55

I'm actually talking with the firm right now. Let me see if they have a list of facilities they want to focus on or if any NH facility is fine

deleted-U05496RCQ9M
2025-03-12 10:52:09

here's the list we have from our most recent one

deleted-U05496RCQ9M
2025-03-12 10:52:20

• New Hampshire Youth Development Center (YDC) also known as Sununu Youth Services Center (SYSC) • The State Industrial School • The Philbrook School • The Tobey Special Education School • Mount Prospect Academy • Nashua Children’s Home • Jolicoeur School • Youth Services Center

👍 Malissa
deleted-U05496RCQ9M
2025-03-12 17:00:30

@Malissa Hi! I just realized, we don't have a hipaa for NH Youth Center Abuse - BCL - Wright Schulte - Shield Legal

Malissa (malissa@shield-legal.com)
2025-03-12 17:00:52

Yeah i've asked for it

Malissa (malissa@shield-legal.com)
2025-03-12 17:01:14

waiting on that and to see if they have specific centers they want to focus on

deleted-U05496RCQ9M
2025-03-12 17:01:21

gotcha

Malissa (malissa@shield-legal.com)
2025-03-12 17:10:19

hi @here I just put a hot fire in the call center channel. Cam wants this to be ready to go today

👀 deleted-U055HQT39PC
😭 deleted-U05496RCQ9M
Malissa (malissa@shield-legal.com)
2025-03-12 17:24:00

i know i know

Malissa (malissa@shield-legal.com)
2025-03-12 17:24:35

I reached out to the firm for the HIPAA and Retainer. hopefully they send it directly to me

deleted-U05496RCQ9M
2025-03-12 17:24:57

Fingers crossed!

Malissa (malissa@shield-legal.com)
2025-03-12 17:34:48

You guys do what you need to do. i'll stay on top of getting you the docs

👍:skin_tone_3: deleted-U05496RCQ9M
Malissa (malissa@shield-legal.com)
2025-03-13 10:24:43

@deleted-U05496RCQ9M @deleted-U055HQT39PC @deleted-U062D2YJ15Y I have a HIPAA for NH

Malissa (malissa@shield-legal.com)
2025-03-13 10:25:06
deleted-U05496RCQ9M
2025-03-13 10:25:09

Thank you!

Malissa (malissa@shield-legal.com)
2025-03-13 10:25:29

Retainer and hipaa for the new school campaign

Malissa (malissa@shield-legal.com)
2025-03-13 10:25:39
🙌:skin_tone_3: deleted-U05496RCQ9M
🙌 deleted-U055HQT39PC
Malissa (malissa@shield-legal.com)
2025-03-13 10:30:06

did we put the retainer back in for noodle soup?

deleted-U05496RCQ9M
2025-03-13 10:30:15

Yup

Malissa (malissa@shield-legal.com)
2025-03-13 10:30:20

awesome

deleted-U05496RCQ9M
2025-03-13 11:04:43

@Malissa Is there any updates on the list of facilities for New Hampshire?

Malissa (malissa@shield-legal.com)
2025-03-13 11:07:02

Not yet. let's proceed with a clone for now.

deleted-U05496RCQ9M
2025-03-13 11:07:56

sweet

deleted-U05496RCQ9M
2025-03-13 11:08:06

i built it around that

deleted-U05496RCQ9M
2025-03-13 11:08:10

thank you!

Malissa (malissa@shield-legal.com)
2025-03-13 11:08:27

thank you!

Malissa (malissa@shield-legal.com)
2025-03-14 11:18:33

@here you guys got the hipaa for NH BCL/Schulte, right?

deleted-U05496RCQ9M
2025-03-14 11:20:47

Yup! All good!

Malissa (malissa@shield-legal.com)
2025-03-14 11:23:42

ok cool

deleted-U055HQT39PC
2025-03-18 16:01:35

@Malissa Paraquat - LegaFi - DL - Shield Legal Are we cloning the DL criteria and intake?

Malissa (malissa@shield-legal.com)
2025-03-18 16:02:00

Yeah everything legafi sent was DL

deleted-U055HQT39PC
2025-03-18 16:02:01

The other legafi one was with wagstaff, pretty different

Malissa (malissa@shield-legal.com)
2025-03-18 16:02:12

i think i attached the DL criteria that Legafi sent over

Malissa (malissa@shield-legal.com)
2025-03-18 16:02:48

Wagstaff is pretty much done so LegaFi is going to spend the rest of their budget with Dicello

✅ deleted-U055HQT39PC
deleted-U055HQT39PC
2025-03-18 16:03:04

Ok awesome, thank you!

👍 Malissa
Malissa (malissa@shield-legal.com)
2025-03-19 16:21:18

hi @here how are we doing with new setups?

deleted-U055HQT39PC
2025-03-19 16:22:24

@Malissa we are working on them, they should be done today EOD

:bouncing_parrot: Malissa
deleted-U05496RCQ9M
2025-03-19 18:46:02

@Malissa there's some changes we want to make on the contract, just wanted to know if that's okay! there's also some formatting issues as well but they're easy fixes

Malissa (malissa@shield-legal.com)
2025-03-19 18:49:35

Looks like the second screenshot is for the date. What’s the first one?

deleted-U05496RCQ9M
2025-03-19 18:52:07

there's a weird line right in the middle of the bottom line, i can remove it. That's in a couple of pages for lines and some formatting

deleted-U05496RCQ9M
2025-03-19 18:52:14

easy fixes though

Malissa (malissa@shield-legal.com)
2025-03-19 19:38:57

Cool. I’ll find out for you. The random line is probably ok to remove. someone probably let off the shift key too soon

Malissa (malissa@shield-legal.com)
2025-03-20 12:14:10

Hey @deleted-U05496RCQ9M @deleted-U055HQT39PC are we still sending stuff through to the integrations board automatically?

deleted-U05496RCQ9M
2025-03-20 12:26:28

yes

Malissa (malissa@shield-legal.com)
2025-03-20 12:27:45

Ok. I don’t think the guys are getting the alerts that they’re done like they used to

deleted-U05496RCQ9M
2025-03-20 12:29:09

that's so weird

deleted-U05496RCQ9M
2025-03-20 12:29:22

cause it got sent to the admin shield chat as well

deleted-U05496RCQ9M
2025-03-20 12:29:30

admin shield integrations**

deleted-U05496RCQ9M
2025-03-20 12:29:37

it did everything it was supposed to

deleted-U05496RCQ9M
2025-03-20 12:29:40

hmm

Malissa (malissa@shield-legal.com)
2025-03-20 12:30:30

Maybe it was just a couple that got missed or were slow

deleted-U05496RCQ9M
2025-03-20 12:30:38

maybe!

deleted-U05496RCQ9M
2025-03-20 13:01:29

@Malissa Hello! Do you have any word on the retainer edits?

Malissa (malissa@shield-legal.com)
2025-03-20 13:09:36

not yet

Malissa (malissa@shield-legal.com)
2025-03-20 13:09:46

i'll bug him again later today if i haven't heard anything

deleted-U05496RCQ9M
2025-03-20 13:10:14

okay!

Malissa (malissa@shield-legal.com)
2025-03-20 13:10:46

Law Ruler is being really slow. I sent you guys Legafi Dicello Paraquat right?

deleted-U05496RCQ9M
2025-03-20 13:13:49

yes

Malissa (malissa@shield-legal.com)
2025-03-20 13:14:10

cool i didn't see it in monday

Malissa (malissa@shield-legal.com)
2025-03-20 13:14:31

i might have just overlooked it

Malissa (malissa@shield-legal.com)
2025-03-20 13:14:47

is it ready? almost ready? stuck?

deleted-U05496RCQ9M
2025-03-20 13:15:22

I’m still working on Paraquat but i’ll have it done by EOD!

Malissa (malissa@shield-legal.com)
2025-03-20 13:15:32

ok cool. thanks!

Malissa (malissa@shield-legal.com)
2025-03-24 11:48:47

good morning you guys! @here

This might be a wayback machine request. Do we have an old intake and criteria for any Transvaginal Mesh (TVM) campaigns?

Malissa (malissa@shield-legal.com)
2025-03-24 11:48:51

Would have been in 2022

deleted-U05496RCQ9M
2025-03-24 11:57:36

Oh crap

deleted-U05496RCQ9M
2025-03-24 11:57:43

I am not sure, i will check

deleted-U05496RCQ9M
2025-03-24 11:58:41

It does not appear that we do

deleted-U062D2YJ15Y
2025-03-24 11:58:54

no

deleted-U05496RCQ9M
2025-03-24 11:58:56

i have never seen that before

Malissa (malissa@shield-legal.com)
2025-03-24 12:01:03

yeah it's old.

deleted-U05496RCQ9M
2025-03-24 12:01:32

Yeah I don't see it in any of the dropdowns in LR or our monday boards

Malissa (malissa@shield-legal.com)
2025-03-24 12:01:43

I think it's pre-monday

Malissa (malissa@shield-legal.com)
2025-03-24 12:01:44

lol

deleted-U05496RCQ9M
2025-03-24 12:01:55

fawwwkkk

deleted-U05496RCQ9M
2025-03-24 12:01:59

i mean fudge

deleted-U05496RCQ9M
2025-03-24 12:02:06

heck

Malissa (malissa@shield-legal.com)
2025-03-24 12:02:12

hahahaahahaha

deleted-U05496RCQ9M
2025-03-24 12:02:57

also i apologize if it takes me a minute to even respond, i currently have a wrist injury and it's hard to ty[e

deleted-U05496RCQ9M
2025-03-24 12:03:02

TYPE**

Malissa (malissa@shield-legal.com)
2025-03-24 12:07:12

😞 i'm sorry. That sucks

Malissa (malissa@shield-legal.com)
2025-03-24 12:07:25

You gotta stop with the WWE tryouts on the weekend

deleted-U05496RCQ9M
2025-03-24 12:08:05

i really do, i can't help it though , my contenders are tough (the two terrorist cats)😭

Malissa (malissa@shield-legal.com)
2025-03-24 12:34:29

i just found an old intake form in lawruler

deleted-U05496RCQ9M
2025-03-24 12:35:41

oh?

Malissa (malissa@shield-legal.com)
2025-03-24 12:36:33
Malissa (malissa@shield-legal.com)
2025-03-24 12:36:50

we'll have to make adjustments but these are some good bones for the campaign that's coming

deleted-U05496RCQ9M
2025-03-24 12:37:12

nice

deleted-U055HQT39PC
2025-03-24 12:40:11

@Malissa I believe I sent that to Cam several months back

Malissa (malissa@shield-legal.com)
2025-03-24 12:40:23

nice.

Malissa (malissa@shield-legal.com)
2025-03-24 12:40:27

he didn't share lol

deleted-U055HQT39PC
2025-03-24 12:41:44

lol got it

Malissa (malissa@shield-legal.com)
2025-03-24 12:49:37

He's going to post everything it sounds like. This new one might be completely different

👀 deleted-U055HQT39PC
Malissa (malissa@shield-legal.com)
2025-03-24 15:07:47

hi all, how are we doing with Paraquat - LegaFi/Dicello?

deleted-U062D2YJ15Y
2025-03-24 15:08:11

*Thread Reply:* We done

:bouncing_parrot: Malissa
deleted-U05496RCQ9M
2025-03-24 15:08:15

that's open!

Malissa (malissa@shield-legal.com)
2025-03-24 15:08:25

nice

deleted-U05496RCQ9M
2025-03-24 18:36:45

@Malissa Good afternoon! No rush, but if possible, can we ask Gomez firm if those listed noodles in the retainer and the visual list of brands and flavors they gave us is all we're taking? They never told us to take other brands past the list they gave us, but there is a spot in the retainer for "Other". Just wanted to know if they want to take other brands/flavors so i can adjust the criteria if needed.

deleted-U05496RCQ9M
2025-03-24 18:37:48

sorry this is for Instant Soup Cup as well lol

Malissa (malissa@shield-legal.com)
2025-03-24 21:33:23

Yeah I can find out.

Malissa (malissa@shield-legal.com)
2025-03-25 10:28:27

@deleted-U05496RCQ9M ok i need more coffee and both of the units need to be serviced. I've got a cup of gross kcup coffee in front of me. That all leads me to - i am confused? Is the issue the picture part? None of these/Other would be anything else I'd think.

Malissa (malissa@shield-legal.com)
2025-03-25 10:28:45

He forgot to put water in his cup of noodles.

Pretty much my brain right now.

deleted-U05496RCQ9M
2025-03-25 10:31:09

haha

deleted-U05496RCQ9M
2025-03-25 10:31:26

i wanna know if we are allowed to take other brands or are we limited to just what's in the pictures?

deleted-U062D2YJ15Y
2025-03-25 10:43:34

@Malissa Hey for Mormon Victim Abuse - Doman - HRSC - AWD - Shield Legal the criteria guidelines they sent over says Abuse must have occurred in one of four states: CA, OR, WA

Uhh its missing one.

Malissa (malissa@shield-legal.com)
2025-03-25 10:45:19

Isn't there a movement to split part of california off? lol

🤣 deleted-U062D2YJ15Y
deleted-U05496RCQ9M
2025-03-25 10:45:31

LOL

Malissa (malissa@shield-legal.com)
2025-03-25 10:45:40

I'll see if i can get it sorted

Malissa (malissa@shield-legal.com)
2025-03-25 10:51:02

ok it looks like it's just those three. they removed Louisiana which seems a very random state to have in that list anyway

deleted-U062D2YJ15Y
2025-03-25 10:54:35

Thank you

❤️ Malissa
Malissa (malissa@shield-legal.com)
2025-03-25 10:54:55

awwwwww that looks so much like my last cat

deleted-U062D2YJ15Y
2025-03-25 11:44:00

I want a tabby

Malissa (malissa@shield-legal.com)
2025-03-25 11:45:35

This is Scully. She passed in 2021 at 18. She was 16 in this pic

deleted-U05496RCQ9M
2025-03-25 11:45:45

18 holy crap

deleted-U05496RCQ9M
2025-03-25 11:45:57

pretty girl

❤️ Malissa
Malissa (malissa@shield-legal.com)
2025-03-25 12:24:03

She was a good cat. I'm allergic to cats though so she was my last cat. I had her for 16 of those 18 years

😭 deleted-U05496RCQ9M
deleted-U05496RCQ9M
2025-03-25 14:14:58

Hi @Malissa! I'm a bit confused on the TVM criteria. Especially this conversation right here: (this is alot i am so sorry)

  1. What are the years accepted? There is no real time limitation – we screen the cases on state by state basis based on statute of limitations, discovery rule, and statute of repose in each plaintiff’s home state. Sunnie Comment: So what SOL are we using??

A. What are the years accepted for the original implant of TVM? (ie original TVM must be implanted AFTER _(Year) Same answer as no. 1 above. _Sunnie Comment: So what SOL are we using??

B. How long does the TVM need to be implanted prior to removal or scheduled removal via surgery? (ie more than 3 months, 6 months etc?) We generally want mesh in place for greater than 6 months to be sign for products liability mesh case, although we do screen the cases for medical malpractice claims about failure to properly implant them and/or failure to diagnose/treat mesh complications, so we will consider all of them. Sunnie Comment: So are we using 6 months as the time frame for the TVM to have been implanted??

C. What are the years accepted for removal or scheduled removal via surgery (ie last 2 years, last 4 years etc) Again, we look at SOL in each case. If want a hardline rule, in almost no states can we proceed where removal/notice of defect was more than 3 years ago. Sunnie Comment: Are we using 3 years as the SOL for removal or scheduled surgery??

  1. Based on prior experience, women have no idea what "brand" of TVM they have implanted, so I just want to make sure that we are signing up as long as the claimant states it was "TVM". Please confirm. Yes, that is correct. We can pretty easily order product id and go from Sunnie Comment: So they don't need to know what TVM they have but what about the Y-mesh? They gave us a list of products but did not comment if they can use other brands for Y-mesh or if unsure is okay.

I'm not really getting direct answers from this conversation that was posted with the criteria so it's quite difficult to build around it.

Additionally they gave us two different types of criteria, one for Y-mesh and the other for TVM and each of them only had like 2 bullet points each and no required diagnoses or conditions that they experienced. In the background it said "found to cause irreversible pelvic scarring, pain with intercourse, urinary dysfunction, and pelvic pain, and can lead to erosions of the mesh into the vaginal canal or other organs." do i list these as the conditions they must have experienced??

Malissa (malissa@shield-legal.com)
2025-03-25 14:16:37

ok i can answer the last one

Malissa (malissa@shield-legal.com)
2025-03-25 14:17:07

So most women won't know what brand they got but they will know if it's TVM. So they don't have to know the brand. The firm can get that info with the medical records.

deleted-U05496RCQ9M
2025-03-25 14:17:57

I understood that part for the TVM criteria, but for the Y-mesh criteria, they gave us a list of brands, can they be unsure of that one too?

Malissa (malissa@shield-legal.com)
2025-03-25 14:18:11

yeah they can be unsure of the brand

deleted-U05496RCQ9M
2025-03-25 14:18:26

Got it both TVM and Y-mesh can be unsure

Malissa (malissa@shield-legal.com)
2025-03-25 14:20:02

as for the diagnosis, i'd say yes for now. What i'd do is create a draft criteria/intake sheet and we can run it by cam.

for C - Yes let's use 3 years.

b - i'd say at least 6 months but will consider sooner if there's malpractice. we could probably add in a "if less than 6 months" question.

Malissa (malissa@shield-legal.com)
2025-03-25 14:20:50

for 1 and a.... they haven't said that they're only focusing on a few states or anything like that. Let's just go with the "there's no real time limitation" comment for now

deleted-U05496RCQ9M
2025-03-25 14:21:05

gotcha

deleted-U05496RCQ9M
2025-03-25 15:22:39

also thank you! @Malissa sorry i was rushing to go to lunch, i was very hungry lol

Malissa (malissa@shield-legal.com)
2025-03-26 16:16:37

@deleted-U055HQT39PC @deleted-U05496RCQ9M @deleted-U062D2YJ15Y If you guys can alert Dustin and Nick when you're done and they can do an API test for Depo I'd appreciate it. It's a rush

Malissa (malissa@shield-legal.com)
2025-03-26 16:16:44

the test is a rush

deleted-U055HQT39PC
2025-03-26 16:17:53

@Malissa I don't think we were told anything about this, first we're hearing from this

Malissa (malissa@shield-legal.com)
2025-03-26 16:18:13

you just got tagged in the call center channel 😉

Malissa (malissa@shield-legal.com)
2025-03-26 16:18:24

like within seconds of doing that i messaged here lol

deleted-U055HQT39PC
2025-03-26 16:18:38

lol ok i see it i just forwarded it

deleted-U055HQT39PC
2025-03-26 16:18:44

there is so much going on right now hahaha

Malissa (malissa@shield-legal.com)
2025-03-26 16:18:47

i know!

Malissa (malissa@shield-legal.com)
2025-03-26 16:19:07

Seeger Weiss is like "Why can't we test? Can we test now? How about now?" And i'm like "i don't have everything!!!" lol

Malissa (malissa@shield-legal.com)
2025-03-26 16:19:17

"Can you test without it???"

deleted-U055HQT39PC
2025-03-26 16:19:48

lol security is running around here, people are getting terminated and it's chaos lol PURE CHAOS @deleted-U05496RCQ9M

Malissa (malissa@shield-legal.com)
2025-03-26 16:19:58

i've heard!

Malissa (malissa@shield-legal.com)
2025-03-26 16:20:19

i saw the dude standing near the weird triangle conference room looking all menacing

deleted-U055HQT39PC
2025-03-26 16:27:07

lol this is madness plus law ruler has slowed down to a crawl

Malissa (malissa@shield-legal.com)
2025-03-26 16:27:48

i haven't even had a chance to play in lawruler today lol

Malissa (malissa@shield-legal.com)
2025-03-27 10:44:11

@here Hey guys! Can you send me the intake questionnaire we use for Depo-Provera - Nielsen Law Firm - Lanier Law Firm - Meadow Law - Shield Legal? Jon Becker is asking. They're doing another depo campaign with a different firm

👀 deleted-U055HQT39PC
deleted-U055HQT39PC
2025-03-27 10:55:44

the weiss one?

Malissa (malissa@shield-legal.com)
2025-03-27 10:56:02

yeah

Malissa (malissa@shield-legal.com)
2025-03-27 10:56:15

Becker wants to share with Seeger Weiss to get it approved

Malissa (malissa@shield-legal.com)
2025-03-27 11:00:27

gracias!

🙌 deleted-U055HQT39PC
deleted-U05496RCQ9M
2025-03-31 10:39:07

@Malissa Good morning! am i able to change the date format for the mormon abuse HRSC - AWD retainer?

Malissa (malissa@shield-legal.com)
2025-03-31 10:43:33

i have not heard from them. and i can't find the email i sent either >.< i know i sent it.

Malissa (malissa@shield-legal.com)
2025-03-31 10:43:38

anywhooo... i'll try again

deleted-U05496RCQ9M
2025-03-31 10:44:08

okay! did we also hear back from gomez about the cup choices?

Malissa (malissa@shield-legal.com)
2025-03-31 10:44:40

negative

Malissa (malissa@shield-legal.com)
2025-03-31 10:45:41

i checked the pending new campaigns sheet. is there an updated version?

deleted-U05496RCQ9M
2025-03-31 10:45:59

an updated version?

Malissa (malissa@shield-legal.com)
2025-03-31 10:46:49

yeah it hasn't changed in a few days.

Malissa (malissa@shield-legal.com)
2025-03-31 10:46:59

AZ is still in campaign purgatory

deleted-U05496RCQ9M
2025-03-31 10:47:04

ohhh sorry my brain wasn't thinking

deleted-U05496RCQ9M
2025-03-31 10:47:11

and yes that is still the same

Malissa (malissa@shield-legal.com)
2025-03-31 10:47:14

no worries. it's monday

deleted-U05496RCQ9M
2025-03-31 10:49:44

it should be updated now

👍 Malissa
Malissa (malissa@shield-legal.com)
2025-03-31 10:49:58

thank you!

deleted-U05496RCQ9M
2025-03-31 10:50:18

no, thank you!

Malissa (malissa@shield-legal.com)
2025-03-31 11:19:03

@deleted-U05496RCQ9M excellent news

Malissa (malissa@shield-legal.com)
2025-03-31 11:19:18

Gomez says we can add "None of these" and "Other" to the photo section

Malissa (malissa@shield-legal.com)
2025-03-31 11:24:44

more good news - yes you can make that date change

deleted-U05496RCQ9M
2025-03-31 11:30:53

thank you!!

deleted-U05496RCQ9M
2025-03-31 11:31:07

so we can now take more flavors/brands yeah??

Malissa (malissa@shield-legal.com)
2025-03-31 11:31:11

i am getting a little more clarification on the soup

deleted-U05496RCQ9M
2025-03-31 11:31:14

this is excellent news for the agents

Malissa (malissa@shield-legal.com)
2025-03-31 11:31:25

like "is anything an automatic decline"

Malissa (malissa@shield-legal.com)
2025-03-31 11:31:32

for sure.

deleted-U05496RCQ9M
2025-03-31 11:32:19

ramen

Malissa (malissa@shield-legal.com)
2025-03-31 11:36:47

@deleted-U05496RCQ9M @deleted-U055HQT39PC @deleted-U062D2YJ15Y Ok, per what we just discussed, John Gomez said he "will still accept" other noodle soups

:meow_attention: deleted-U05496RCQ9M
:conga_parrot: deleted-U062D2YJ15Y
deleted-U05496RCQ9M
2025-03-31 11:37:12

celebration

Malissa (malissa@shield-legal.com)
2025-03-31 11:37:21

lol

Malissa (malissa@shield-legal.com)
2025-03-31 11:40:10

i'm not going to heaven

deleted-U05496RCQ9M
2025-03-31 11:41:04

it's okay same lol

deleted-U05496RCQ9M
2025-03-31 16:11:07

@Malissa Hey! is the "residing at _" part good to be left empty? along with those 2 lines, it says "due to the sexual abuse of " i know the PNC's name needs to be on there but on the next one where it says "by _" is it good to leave blank also? because if there are multiple abusers, there won't be room for any of that

deleted-U05496RCQ9M
2025-03-31 16:11:11
Malissa (malissa@shield-legal.com)
2025-03-31 16:13:51

I think Residing at should be their current address, which we should get.

Let me see what phrase they'd like to use (like John Smith, et al or something). The name is very important. Which one is this? LDS?

deleted-U05496RCQ9M
2025-03-31 16:14:26

yes. but the issue is that if there are multiple abusers, there isn't a space for all of them

Malissa (malissa@shield-legal.com)
2025-03-31 16:15:35

Right. I'm going to ask how they want handle that space if there's more than like.... 2

deleted-U05496RCQ9M
2025-03-31 16:15:59

unless we pool all of them in one text box but i don't really trust the agents to do that correctly.

Malissa (malissa@shield-legal.com)
2025-03-31 16:16:15

i get it

Malissa (malissa@shield-legal.com)
2025-03-31 16:18:05

how many will fit? if they are like.... normal length names. not Jedadiah Ezekiel Hoobastank or something

deleted-U05496RCQ9M
2025-03-31 16:18:19

only one honestly lol

👍 Malissa
deleted-U05496RCQ9M
2025-03-31 16:18:28

it also autosizes it

deleted-U05496RCQ9M
2025-03-31 16:18:46

so if the name is long or if there's multiple it's gonna look really tiny

Malissa (malissa@shield-legal.com)
2025-03-31 16:18:59

"Is there a particular way you'd like us to list more than 1 name in this section? We might be able to do two but anything more would be a little small."

Malissa (malissa@shield-legal.com)
2025-03-31 16:19:04

sounds good?

deleted-U05496RCQ9M
2025-03-31 16:19:42

yeah unless they just want the abuser with the most severe sexual abuse, which will then just be abuser 1

👍 Malissa
Malissa (malissa@shield-legal.com)
2025-03-31 16:27:06

This firm is quick. I like them

Malissa (malissa@shield-legal.com)
2025-03-31 16:27:25

Just the most serious abuser can go in that line. They'll review and determine if others should be in it as well.

Malissa (malissa@shield-legal.com)
2025-03-31 16:27:33

@deleted-U05496RCQ9M

deleted-U05496RCQ9M
2025-03-31 16:27:36

okay! i'll make it abuser 1

deleted-U05496RCQ9M
2025-03-31 16:27:39

thank you

Malissa (malissa@shield-legal.com)
2025-03-31 16:27:58

no prob!

Malissa (malissa@shield-legal.com)
2025-04-01 16:18:30

@deleted-U05496RCQ9M so i'm looking at what Cam posted to me with Bard Crump/Simmons: Distro will be to same simmons cooper contacts and crump, if we did API on the previous simmons cooper/baypoint campaign.

I think you're fine to adjust the intake to be less restrictive.

Malissa (malissa@shield-legal.com)
2025-04-01 16:20:24

"the plan on this campaign is to capture all of the DQ's from the Crump/Lanier campaign, since it is very restrictive. Please alert Tony of this, we can also go back through previously declined leads to see if they qualify."

deleted-U05496RCQ9M
2025-04-01 16:35:59

Here's the BCL Lanier intake form they told us to clone and the criteria for Bard Powerport - BCL - Simmons Cooper - Shield Legal criteria

deleted-U05496RCQ9M
2025-04-01 16:38:25

due to the criteria of the BCL - Simmons Cooper, the intake form that is a "better match" for the criteria is going to be the Bard PowerPort - Bay Point - Simmons - Shield Legal intake form

deleted-U05496RCQ9M
2025-04-01 16:38:34

i'm sending you a copy one moment

deleted-U05496RCQ9M
2025-04-01 16:39:50

i just want clarification, because the BCL Lanier intake form is very limited and if i adjust it to match the BCL Simmons cooper criteria, it will be like making a brand new intake form due to the adjustments that need to be made

Malissa (malissa@shield-legal.com)
2025-04-01 16:40:18

if it's easier to adapt Bay Point Simmons to what we need for BCL Simmons, go for it

Malissa (malissa@shield-legal.com)
2025-04-01 16:42:27

The entire purpose of the BCL simmons is to catch what BCL lanier won't take

Malissa (malissa@shield-legal.com)
2025-04-01 16:42:41

so let's do what we gotta do. 🙂

deleted-U05496RCQ9M
2025-04-01 16:43:34

oki doki

deleted-U05496RCQ9M
2025-04-01 17:03:05

@Malissa Christian helped me see the light we are FINE

deleted-U05496RCQ9M
2025-04-01 17:03:15

just going to adjust the intake form

deleted-U05496RCQ9M
2025-04-01 17:03:48

stress

Malissa (malissa@shield-legal.com)
2025-04-01 17:04:21

lol ok. yay @deleted-U062D2YJ15Y! Sometimes all that's needed is extra eyes. Sometimes coffee. Sometimes booze.

Malissa (malissa@shield-legal.com)
2025-04-01 17:04:25

Great work all!

deleted-U05496RCQ9M
2025-04-01 17:04:46

i need all three at this point

😂 Malissa
Malissa (malissa@shield-legal.com)
2025-04-01 17:05:16

all's good. btw three laps around the outside of the building = 1/2 mile

deleted-U05496RCQ9M
2025-04-01 17:05:40

i did that earlier today lol

deleted-U05496RCQ9M
2025-04-01 17:05:46

it's been a day

Malissa (malissa@shield-legal.com)
2025-04-01 17:06:57

good news is that it's 3pm

deleted-U05496RCQ9M
2025-04-04 10:33:37

@Malissa good morning! I was just wondering, for the tvm retainers, which state(s) would the 33% apply to? we got 2 retainers, one that has a split of the standard 40% and the other one is 33%

Malissa (malissa@shield-legal.com)
2025-04-04 10:38:33

i haven't heard back yet. and good morning!

deleted-U05496RCQ9M
2025-04-04 10:48:00

okay!

Malissa (malissa@shield-legal.com)
2025-04-07 10:48:49

@deleted-U05496RCQ9M @deleted-U055HQT39PC Cam's asking about TVM. I know there's the question about the 33%. I'll let him know.

deleted-U05496RCQ9M
2025-04-07 10:49:43

It's done, i just need to upload the retainers, so as soon as we get an answer for it i can proceed accordingly

👍 Malissa
Malissa (malissa@shield-legal.com)
2025-04-07 14:34:29

@deleted-U05496RCQ9M NJ is just for NJ

🙌 deleted-U055HQT39PC
deleted-U05496RCQ9M
2025-04-07 14:35:02

thank you! tvm is ready for testing

👍 Malissa
deleted-U05496RCQ9M
2025-04-07 14:35:24

the retainers are uploaded

🙌 deleted-U055HQT39PC
Malissa (malissa@shield-legal.com)
2025-04-08 11:36:04

hi @here! Just checking to see what's needed on campaigns. I checked the spreadsheet and i'm not sure if it's up to date

deleted-U05496RCQ9M
2025-04-08 11:42:39

i just updated the sheet 🙂

Malissa (malissa@shield-legal.com)
2025-04-08 11:44:24

ok this one - Mormon Victim Abuse - Dolman - HRSC - AWD - Shield Legal is now different.

Malissa (malissa@shield-legal.com)
2025-04-08 11:45:18

Mormon Victim Abuse AWD, Dolman, and Anapol Weiss

Malissa (malissa@shield-legal.com)
2025-04-08 11:45:29

so HRSC is out on this one and it's Anapol Weiss

deleted-U05496RCQ9M
2025-04-08 11:45:36

MB i forgot to update it.

Malissa (malissa@shield-legal.com)
2025-04-08 11:45:43

no worries!

Malissa (malissa@shield-legal.com)
2025-04-08 11:45:53

retainer should be in the call center channel. let me post it here too hang on a sec

Malissa (malissa@shield-legal.com)
2025-04-08 11:46:33
Malissa (malissa@shield-legal.com)
2025-04-08 11:48:26

everything else... yeah trying to get those retainers

Malissa (malissa@shield-legal.com)
2025-04-08 11:48:34

i was told "SOON" regarding AZ

Malissa (malissa@shield-legal.com)
2025-04-09 12:13:52

@here can you guys send me the criteria sheet for one of the Mormon abuse campaigns?

Malissa (malissa@shield-legal.com)
2025-04-09 12:14:23

nevermind

Malissa (malissa@shield-legal.com)
2025-04-09 12:14:24

i found it

✅ deleted-U055HQT39PC
deleted-U055HQT39PC
2025-04-09 12:14:52

that was quick lol

😂 Malissa
Malissa (malissa@shield-legal.com)
2025-04-09 12:17:42

yeah i need new glasses

Malissa (malissa@shield-legal.com)
2025-04-09 12:55:24

@deleted-U05496RCQ9M @deleted-U055HQT39PC I have the updated retainer for MD BG/Kuzyk

Malissa (malissa@shield-legal.com)
2025-04-09 12:55:35
👀 deleted-U062D2YJ15Y
🙌 deleted-U055HQT39PC
Malissa (malissa@shield-legal.com)
2025-04-09 17:27:53

@deleted-U055HQT39PC @deleted-U05496RCQ9M HIPAA/Retainer for IL YRTC with Baypoint/SGGH

deleted-U055HQT39PC
2025-04-09 17:29:00

Thank you

Malissa (malissa@shield-legal.com)
2025-04-10 11:41:17

@deleted-U05496RCQ9M @deleted-U055HQT39PC Can you grant Dwight editing access for this file: https://docs.google.com/spreadsheets/d/1YTR88jMqYGMCLimWygZQJzMVYaJ16VwixgYReUbxshM/edit?gid=685183963#gid=685183963

Malissa (malissa@shield-legal.com)
2025-04-10 11:41:23

and good morning!

deleted-U05496RCQ9M
2025-04-10 11:41:36

all good now

❤️ Malissa
Malissa (malissa@shield-legal.com)
2025-04-10 11:42:23

thank you! 🙂

deleted-U05496RCQ9M
2025-04-10 11:44:36

You're welcome!

deleted-U062D2YJ15Y
2025-04-10 11:45:53

IM THE OWNER

deleted-U05496RCQ9M
2025-04-10 11:46:03

TOO BAD

deleted-U05496RCQ9M
2025-04-10 11:46:07

SHE ASKED ME FIRST

deleted-U062D2YJ15Y
2025-04-10 11:46:12

MY SHEET

Malissa (malissa@shield-legal.com)
2025-04-10 11:46:16

lol Dustin told me it was sobo or sunnie!

deleted-U05496RCQ9M
2025-04-10 11:46:22

HAHAHAHA

Malissa (malissa@shield-legal.com)
2025-04-10 11:46:25

I'll correct him for you Christian

deleted-U05496RCQ9M
2025-04-10 11:46:30

NO DONT

Malissa (malissa@shield-legal.com)
2025-04-10 11:46:36

FIGHT FIGHT FIGHT!

Malissa (malissa@shield-legal.com)
2025-04-10 11:46:53

Winner gets credit lol

deleted-U05496RCQ9M
2025-04-10 11:47:11

fighting

😂 Malissa
deleted-U062D2YJ15Y
2025-04-10 11:47:49

napolean dynamite stop

😂 Malissa
Malissa (malissa@shield-legal.com)
2025-04-11 10:29:42

@here did we close wood pellets and mi pollution?

Malissa (malissa@shield-legal.com)
2025-04-11 10:29:51

Greg said he just saw that pop up

deleted-U055HQT39PC
2025-04-11 10:30:01

Yes

deleted-U05496RCQ9M
2025-04-11 10:30:03

yes per tony

Malissa (malissa@shield-legal.com)
2025-04-11 10:30:26

ok. wanted to check. Did Tony say why?

deleted-U055HQT39PC
2025-04-11 10:31:09

No we just do what we’re told lol

Malissa (malissa@shield-legal.com)
2025-04-11 10:33:49

LOL

deleted-U05496RCQ9M
2025-04-11 11:18:32

Good morning! Can i please have some clarification on the Mormon DL Flatirons? I don't really know what "Time Barred" means and I'd like to be able to explain it to the agents in the criteria. I'm also just confused on the whole NON SOL and SOL aspect and how this all ties together

Malissa (malissa@shield-legal.com)
2025-04-11 11:29:58

So Time Barred refers to the Statute of Limitations. Let's say we have a claimant in Arizona who was abused 5 years ago but their SOL is 3 years. Usually we'd disqualify them but Dicello is going to take them for review. We have a script to say in that instance.

Malissa (malissa@shield-legal.com)
2025-04-11 11:30:44

Cases that fall into the statute of limitations are totally fine. but the ones outside of it will need the special spiel and we'll put them under the NON-SOL status

Malissa (malissa@shield-legal.com)
2025-04-11 11:30:47

well casetype

deleted-U055HQT39PC
2025-04-11 11:32:34

I just named that one Mormon LDS Abuse OSOL - DL - Flatirons - Shield Legal

Malissa (malissa@shield-legal.com)
2025-04-11 11:32:51

whatever works

Malissa (malissa@shield-legal.com)
2025-04-11 11:33:04

if y'all are happy, i'm happy

deleted-U055HQT39PC
2025-04-11 11:36:51

we've used the OSOL thing before in our case type names. and left the regular one

Malissa (malissa@shield-legal.com)
2025-04-11 11:37:01

nice

Malissa (malissa@shield-legal.com)
2025-04-11 11:54:13

@deleted-U05496RCQ9M @deleted-U055HQT39PC I sent the retainer and HIPAA for IL YRTC with Baypoint and SGGH right?

deleted-U05496RCQ9M
2025-04-11 11:54:36

Yes, that's already open

Malissa (malissa@shield-legal.com)
2025-04-11 11:54:45

nice.

deleted-U062D2YJ15Y
2025-04-14 11:20:16

For Depo-Provera - Meadow Law - Seeger Weiss - Shield Legal the questions that they want removed will change the criteria am I also changing the criteria?

Malissa (malissa@shield-legal.com)
2025-04-14 11:21:04

there's a new criteria sheet.

Malissa (malissa@shield-legal.com)
2025-04-14 11:21:28

So do what you gotta do. Then send me over the intake and the updated criteria. I'll send to the firms for approval. 🙂

deleted-U05496RCQ9M
2025-04-14 11:21:36

new criteria?

Malissa (malissa@shield-legal.com)
2025-04-14 11:21:44

they made some updates

Malissa (malissa@shield-legal.com)
2025-04-14 11:22:04

i sent a very long post in the call center channel with it lol. But the good news is that once they approve it, i've got the retainer and we're good to go!

Malissa (malissa@shield-legal.com)
2025-04-14 11:22:12

still nothing on AZ

deleted-U05496RCQ9M
2025-04-14 11:22:18

ah, we aren't in that channel so we don't get those updates

Malissa (malissa@shield-legal.com)
2025-04-14 11:22:30

no worries!

deleted-U05496RCQ9M
2025-04-14 11:22:49

Sobo sent us the question updates and we got confused, we didn't know criteria was changing

Malissa (malissa@shield-legal.com)
2025-04-14 11:23:06

yeah i didn't either. Let me post here what i posted there.

Malissa (malissa@shield-legal.com)
2025-04-14 11:24:05

the firms have requested updates to the intake questionnaire for Depo Provera - Meadow/Seeger Weiss. Original request was to clone the intake and criteria from Nielsen/Lanier/Meadow. Please make these changes based on that intake:

• Questions to change ◦ Q8 – Screener How many injections did you receive? Criteria - must be 2 minimum ◦ Q8 – General How many injections did you receive? Criteria - must be 2 minimum • Questions to remove ◦ Q11 – Screener Did the injured party complete a year of Depo-Provera Injections prior to their diagnosis? ◦ Q12 – Screen Age at time of Diagnosis ◦ Q13 – Screener Current age ◦ Q16 – General Age at time of Diagnosis ◦ Q11 – General Did the injured party complete a year of Depo-Provera Injections prior to their diagnosis? ◦ Q17 – General Current age please send me a copy of the intake when ready. [8:35 AM] Malissa Phillips

I've attached criteria, the HIPAA form and Retainer for Depo - Meadow/Seeger Weiss. The updated distro is:

• Standard Meadow Law address for completed packets • Shield Distro • mrammairone@seegerweiss.comymartinez@seegerweiss.com (edited)

Malissa (malissa@shield-legal.com)
2025-04-14 11:24:35

[8:36 AM] Malissa Phillips

we can't launch until that intake questionnaire is approved though

Malissa (malissa@shield-legal.com)
2025-04-14 11:27:31

Thanks @deleted-U062D2YJ15Y!

deleted-U062D2YJ15Y
2025-04-14 11:28:43

@Malissa Actually wait i need to fix the criteria

deleted-U062D2YJ15Y
2025-04-14 11:28:46

im sorry

Malissa (malissa@shield-legal.com)
2025-04-14 11:28:58

all good!

Malissa (malissa@shield-legal.com)
2025-04-14 11:29:21

no worries at all

deleted-U062D2YJ15Y
2025-04-14 11:30:11

It looks like they took out the 70 year old age requirement am I removing that as well?

deleted-U062D2YJ15Y
2025-04-14 11:30:19

"Was diagnosed with Meningioma at 70 years old OR younger"

deleted-U062D2YJ15Y
2025-04-14 11:30:32

Thats what as in the one we cloned

Malissa (malissa@shield-legal.com)
2025-04-14 11:33:07

They probably took it out because there's a chance a lot of ladies are over 70 now. Let's leave it out and I'll ask if they want that back in.

Malissa (malissa@shield-legal.com)
2025-04-14 11:33:15

or ask if there's an age cut off

Malissa (malissa@shield-legal.com)
2025-04-14 11:37:42

Thanks! I'll keep you updated

Malissa (malissa@shield-legal.com)
2025-04-15 14:42:05

hi @here what's still needed for the DL/FI Mormon campaigns?

deleted-U05496RCQ9M
2025-04-15 14:42:58

none on our end

Malissa (malissa@shield-legal.com)
2025-04-15 14:43:10

ok so it's open and good to go?

deleted-U05496RCQ9M
2025-04-15 14:43:12

i think we're waiting for brittany to finish her reports

Malissa (malissa@shield-legal.com)
2025-04-15 14:43:16

oh ok

Malissa (malissa@shield-legal.com)
2025-04-15 14:43:29

i didn't see it in the open/closed tracker and Cam is asking for an update

deleted-U05496RCQ9M
2025-04-15 14:43:46

our part is done, it's just brittany now i believe

Malissa (malissa@shield-legal.com)
2025-04-15 14:43:56

k i'll bug her

Malissa (malissa@shield-legal.com)
2025-04-15 16:08:24

@deleted-U05496RCQ9M I'm looking at the pending new campaigns sheet and you guys have Gaming with Kuzyk on there. Where did you guys find out about that? I've only heard things in passing lol

Malissa (malissa@shield-legal.com)
2025-04-15 16:08:42

it's probably going to happen but i don't have details yet

deleted-U05496RCQ9M
2025-04-15 16:08:48

i have no idea honestly, we haven't touched it since we haven't heard anything else back lol

deleted-U05496RCQ9M
2025-04-15 16:15:31

@Malissa Does San Bernardino SA have a list of facilities?

deleted-U05496RCQ9M
2025-04-15 16:20:54

oh nvm found it

Malissa (malissa@shield-legal.com)
2025-04-15 16:33:35

Cool!

deleted-U05496RCQ9M
2025-04-16 10:58:50

Good morning, I am unable to have access to this file and Sobo is driving. Can I please have access?

Malissa Phillips (https://tortintakepros.slack.com/team/U076CKFGXTM)
Malissa (malissa@shield-legal.com)
2025-04-16 10:59:27

weird. Would a PDF work better?

deleted-U055HQT39PC
2025-04-16 11:00:24

I just forwarded your message I think it’s because she isn’t in admin chat

Malissa (malissa@shield-legal.com)
2025-04-16 11:00:36

that could be it. Attached a PDF just in case

deleted-U05496RCQ9M
2025-04-16 11:00:42

thank you

Malissa (malissa@shield-legal.com)
2025-04-16 11:40:58

@here do we have any issues with setups right now?

Malissa (malissa@shield-legal.com)
2025-04-16 11:41:05

anything you need my help with? 🙂

deleted-U055HQT39PC
2025-04-16 11:45:15

@Malissa do you think DiCello is going to want us to get these Paraquat's re-signed?

Malissa (malissa@shield-legal.com)
2025-04-16 11:45:33

how many have we signed with the older retainer?

deleted-U055HQT39PC
2025-04-16 11:46:17

We are at 15 now

Malissa (malissa@shield-legal.com)
2025-04-16 11:46:20

and my immediate answer is probably. Usually when someone leaves a firm you gotta take them out of the equation completely.

Malissa (malissa@shield-legal.com)
2025-04-16 11:47:10

I'll double check with Abe though but I think we should be prepared to re-sign

deleted-U055HQT39PC
2025-04-16 11:47:34

Just a heads up, Tony instructed Luis and PD to finalize those Paraquat 13's...

deleted-U055HQT39PC
2025-04-16 11:48:02

So they are going to get that old retainer. We can go back and get them re-signed if needed.

Malissa (malissa@shield-legal.com)
2025-04-16 11:48:24

lol i guess i won't ask abe?

Malissa (malissa@shield-legal.com)
2025-04-16 13:40:58

@deleted-U05496RCQ9M @deleted-U055HQT39PC @deleted-U062D2YJ15Y Can someone send me the intake for DL Paraquat ASAP? Andy's asking

Malissa (malissa@shield-legal.com)
2025-04-16 13:42:30

Wait i think i got it

deleted-U055HQT39PC
2025-04-16 13:45:25

@Malissa do you still need this?

Malissa (malissa@shield-legal.com)
2025-04-16 13:46:35

nah i got it @deleted-U055HQT39PC

Malissa (malissa@shield-legal.com)
2025-04-16 13:46:36

thanks!

🙌 deleted-U055HQT39PC
Malissa (malissa@shield-legal.com)
2025-04-17 12:27:10

@deleted-U062D2YJ15Y @deleted-U05496RCQ9M @deleted-U055HQT39PC Ok i FINALLY heard back from the firms about the Age for Depo - Meadow/Seeger Weiss

Malissa (malissa@shield-legal.com)
2025-04-17 12:27:17

No age restriction currently

Malissa (malissa@shield-legal.com)
2025-04-17 12:27:24

Intake and criteria look good

Malissa (malissa@shield-legal.com)
2025-04-17 13:58:22

You guys are quiet today @here

deleted-U05496RCQ9M
2025-04-17 13:59:53

so sorry, we've been working on the campaign changes 😕

Malissa (malissa@shield-legal.com)
2025-04-17 14:00:01

gotcha

Malissa (malissa@shield-legal.com)
2025-04-17 14:00:27

let me know if i can help even if it's just providing a funny meme or something

deleted-U055HQT39PC
2025-04-17 14:23:24

I want a funny meme @Malissa

Malissa (malissa@shield-legal.com)
2025-04-17 14:27:14
Malissa (malissa@shield-legal.com)
2025-04-17 14:28:03
Malissa (malissa@shield-legal.com)
2025-04-17 14:29:47

@deleted-U055HQT39PC

deleted-U05496RCQ9M
2025-04-18 10:10:14

good morning, i didn't receive criteria for trinity private school. i'm also seeing that there's quite a lot of these schools

deleted-U05496RCQ9M
2025-04-18 10:10:26

@Malissa do you have any idea what would it be?

Malissa (malissa@shield-legal.com)
2025-04-18 10:14:19

yeaaaaah this just got popped on me too

Malissa (malissa@shield-legal.com)
2025-04-18 10:14:31

I've asked Abe for the retainer and any intake docs

deleted-U05496RCQ9M
2025-04-18 10:18:10

hopefully it comes with criteria lol

Malissa (malissa@shield-legal.com)
2025-04-18 10:19:45

lol right?

deleted-U05496RCQ9M
2025-04-18 10:21:28

cause in the message it said to just clone intake but it didn't say anything about criteria

Malissa (malissa@shield-legal.com)
2025-04-18 10:23:58

yeah i noticed that too

Malissa (malissa@shield-legal.com)
2025-04-18 10:24:13

i'll keep reminding cam until we get it lol

Malissa (malissa@shield-legal.com)
2025-04-18 10:26:18

i was nosey and went through slack channels. i think this is it but i'll get cam to confirm

Malissa (malissa@shield-legal.com)
2025-04-18 10:26:19

https://www.cbsnews.com/texas/news/parents-sue-fort-worth-private-school-over-alleged-cover-up-sexual-abuse-by-former-teacher/

cbsnews.com
deleted-U05496RCQ9M
2025-04-18 10:26:42

okay cool, i was thinking it was the one in texas

Malissa (malissa@shield-legal.com)
2025-04-18 10:27:16

yeah i just pinged cam again

Malissa (malissa@shield-legal.com)
2025-04-18 10:27:49

actual footage of me bothering Cam

Malissa (malissa@shield-legal.com)
2025-04-18 10:28:55

HOLY CRAP: "It states the school told parents that Muse left for personal reasons and "encouraged families to continue lessons with Muse off campus," and that there was "no cause for concern" in regard to Muse's departure."

deleted-U05496RCQ9M
2025-04-18 10:33:24

that's insane

deleted-U05496RCQ9M
2025-04-18 10:33:33

i'm watching the video on it now

Malissa (malissa@shield-legal.com)
2025-04-18 10:33:33

"abused at school while student, no lawyer" from Cam

deleted-U05496RCQ9M
2025-04-18 10:34:00

thumbs up

😂 Malissa
Malissa (malissa@shield-legal.com)
2025-04-18 10:34:22

that gif cracks me up every time

🤣 deleted-U05496RCQ9M
deleted-U05496RCQ9M
2025-04-18 10:34:25

so are we going with texas

Malissa (malissa@shield-legal.com)
2025-04-18 10:35:26

yeah everything i see being posted for the marketing side is Texas

Malissa (malissa@shield-legal.com)
2025-04-18 10:35:54

Both Cam and I are now bothering DL for the retainer lol

deleted-U05496RCQ9M
2025-04-18 10:42:11

cool cool

deleted-U055HQT39PC
2025-04-18 12:03:57

@Malissa Do you know if the page that Cam sent for the TVM criteria is the full page? Are we just changing criteria to what he sent

Malissa (malissa@shield-legal.com)
2025-04-18 12:25:53

Yeah the criteria is def changing. Let me take a look at it again. @deleted-U055HQT39PC

Malissa (malissa@shield-legal.com)
2025-04-18 12:26:54

Yeah that looks like the full page. We need to make our criteria match that. You could update it and send to cam to make sure.

deleted-U055HQT39PC
2025-04-18 12:30:48

ok so I'm not a lawyer but it sounds like the implant must have been placed in the last 10 years and revision/removal in the last 4 years

deleted-U055HQT39PC
2025-04-18 12:31:27

there's also nothing about that 6 month latency from implant to condition

deleted-U05496RCQ9M
2025-04-18 12:32:29

in the initial criteria they stated this

deleted-U05496RCQ9M
2025-04-18 12:32:42

are we just getting rid of the 6 month latency altogether?

Malissa (malissa@shield-legal.com)
2025-04-18 12:33:42

@deleted-U055HQT39PC that's how i'm reading it as well. And i guess no latency period?

🙌 deleted-U055HQT39PC
Malissa (malissa@shield-legal.com)
2025-04-18 12:34:20

My guess is because some women started having issues sooner than 6 months.

Malissa (malissa@shield-legal.com)
2025-04-18 12:34:31

let's get the criteria updated and I can send to Cam to look over

deleted-U055HQT39PC
2025-04-18 12:34:36

yeah and they're going for product liability and/or med mal

deleted-U055HQT39PC
2025-04-18 12:38:29

there's also no mention of the conditions, like must of had one of these conditions.

Malissa (malissa@shield-legal.com)
2025-04-18 12:41:02

my brain hurts. i'm asking cam lol

deleted-U055HQT39PC
2025-04-18 12:46:20

haha thank you. our brains are melting too

Malissa (malissa@shield-legal.com)
2025-04-18 13:14:47

@deleted-U055HQT39PC AIGHT! I asked cam: "There's no mention of the 6 month latency period in this criteria - should that stay or be removed on our end? Also, there's no mention of symptoms/conditions/etc. Do those need to stay or should they be removed?"

His reply: "not part of criteria. .... whatever is in their criteria doc is all thats required

  1. original implant must be within 10 years from date of sign up
  2. the revision/replacement OR suggested revision/replacement must be WITHIN 4 years of original implant Example Scenarios qualifying original implant 2015 revision done 2018

original implant 2023 suggested revision 2025

Example Scenarios NON qualifying original implant 2015 revision done 2025

original implant 2019 revision suggested 2025"

Malissa (malissa@shield-legal.com)
2025-04-18 13:32:31

does that help?

🙌 deleted-U055HQT39PC
deleted-U055HQT39PC
2025-04-18 13:33:11

100X

❤️ Malissa
Malissa (malissa@shield-legal.com)
2025-04-18 13:33:30

fabulous

Malissa (malissa@shield-legal.com)
2025-04-21 10:23:12

good morning @here! What's up with Depo for Meadow/Seeger Weiss?

Malissa (malissa@shield-legal.com)
2025-04-21 10:23:37

i sent all the docs on april 14th

deleted-U05496RCQ9M
2025-04-21 10:24:33

oops

deleted-U05496RCQ9M
2025-04-21 10:24:41

i apologize

Malissa (malissa@shield-legal.com)
2025-04-21 10:24:52

lol it's ok. we had a lot of stuff happen all at once

deleted-U05496RCQ9M
2025-04-21 10:25:43

yeah i don't even remember everything that happened last week, all i remember is that i hated it and i was stressed lol

Malissa (malissa@shield-legal.com)
2025-04-21 10:25:55

didn't help that taxes were due last week

deleted-U05496RCQ9M
2025-04-21 10:26:02

OMG yes that part

deleted-U05496RCQ9M
2025-04-21 10:26:14

that was really stressful too

deleted-U05496RCQ9M
2025-04-21 10:26:45

good news is that i get to go home today and look forward to baking my very first sourdough loaf

deleted-U05496RCQ9M
2025-04-21 10:27:07

bread

Malissa (malissa@shield-legal.com)
2025-04-21 10:27:21

Nice! How old is your starter?

deleted-U05496RCQ9M
2025-04-21 10:27:49

it's about a week and a half, i had to start over because the first time i tried to make it i failed miserably

deleted-U05496RCQ9M
2025-04-21 10:28:08

so right now i think i'm in the process of bulk fermentation???

deleted-U05496RCQ9M
2025-04-21 10:28:14

where it has to rise like twice

Malissa (malissa@shield-legal.com)
2025-04-21 10:29:19

i got curious: "The "oldest" sourdough starter currently in use was created from 4,500-year-old dormant yeast samples by Seamus Blackley. While not a continuous starter, the yeast was revived from ancient pottery. Other long-standing starters include a 233-year-old San Francisco starter and a 900-year-old Saint Honoratus Wheat starter."

deleted-U05496RCQ9M
2025-04-21 10:29:35

omg 4500

deleted-U05496RCQ9M
2025-04-21 10:29:39

that's insane

deleted-U05496RCQ9M
2025-04-21 10:29:56

wait we're flooding this chat, i'll pm you lol

deleted-U05496RCQ9M
2025-04-21 11:16:39

helloo can i please change this format? i just want to delete 2025 so i can expand the line to input the date into MMDDYYYY format

deleted-U05496RCQ9M
2025-04-21 11:16:44

@Malissa

deleted-U05496RCQ9M
2025-04-21 11:16:51
deleted-U05496RCQ9M
2025-04-21 11:17:20

also does Signor need to be corrected to Signer

deleted-U05496RCQ9M
2025-04-21 11:17:22

lol

Malissa (malissa@shield-legal.com)
2025-04-21 11:18:14

yea that's a typo.

Malissa (malissa@shield-legal.com)
2025-04-21 11:19:04

nothing else in that doc is in italian

deleted-U05496RCQ9M
2025-04-21 11:19:18

hahaha

Malissa (malissa@shield-legal.com)
2025-04-21 11:20:09

actually wait

Malissa (malissa@shield-legal.com)
2025-04-21 11:20:16

i just googled it

Malissa (malissa@shield-legal.com)
2025-04-21 11:21:20

ugh AI is so annoying

deleted-U05496RCQ9M
2025-04-21 11:21:54

lol

deleted-U05496RCQ9M
2025-04-21 11:22:08

so should i leave it as signor

Malissa (malissa@shield-legal.com)
2025-04-21 11:23:02

yeah leave it

Malissa (malissa@shield-legal.com)
2025-04-21 12:44:08

ok @here Gaming with Kuzyk - it's a single case that Kuzyk referred to Meadow

Malissa (malissa@shield-legal.com)
2025-04-21 12:44:20

I asked Cam because not remembering was driving me nuts

deleted-U05496RCQ9M
2025-04-21 14:49:11

@Malissa Hi! Quick question. For the very first Mormon abuse that we did, the firm never told us for their criteria that the PNC has to be a minor at the time of abuse, is that still the same or did they want the PNC to be a minor at the time of abuse?

Malissa (malissa@shield-legal.com)
2025-04-21 14:49:49

which one was the first one? we've got like 500 now... lol

deleted-U05496RCQ9M
2025-04-21 14:50:12

Mormon Victim Abuse - HRSC - AWD - Shield Legal and Mormon Victim Abuse - Dolman - Anapol Weiss - AWD - Shield Legal

Malissa (malissa@shield-legal.com)
2025-04-21 14:52:50

“Victim must be currently under the age of 39 (born no earlier than 1986).”

Malissa (malissa@shield-legal.com)
2025-04-21 14:52:53

^that's what i got

deleted-U05496RCQ9M
2025-04-21 14:53:09

that's what we got too

Malissa (malissa@shield-legal.com)
2025-04-21 14:53:38

that's straight from the firm so i guess as long as they aren't over 39...

deleted-U05496RCQ9M
2025-04-21 14:54:08

okay great so i am not crazy

deleted-U05496RCQ9M
2025-04-21 14:54:12

hahahah

Malissa (malissa@shield-legal.com)
2025-04-21 14:54:14

lol not at all

deleted-U05496RCQ9M
2025-04-21 14:54:21

i mean i am but not for this

😂 Malissa
Malissa (malissa@shield-legal.com)
2025-04-22 10:27:40

buenos dias @here! 1st - where are we with Depo Meadow/Seeger Weiss? 2nd - Porto's at my desk

Malissa (malissa@shield-legal.com)
2025-04-22 10:27:52

IYKYK

deleted-U05496RCQ9M
2025-04-22 10:36:26

depo is just waiting for mark's tests!

deleted-U05496RCQ9M
2025-04-22 10:36:29

PORTOS

deleted-U05496RCQ9M
2025-04-22 10:36:33

WHO WENT TO CALI

Malissa (malissa@shield-legal.com)
2025-04-22 10:36:45

I did the bake at home thing!

deleted-U05496RCQ9M
2025-04-22 10:36:51

are there.... cheese rolls 👉:skintone3:👈:skintone3:

deleted-U05496RCQ9M
2025-04-22 10:36:55

OMG you're so big brain

Malissa (malissa@shield-legal.com)
2025-04-22 10:36:56

yuppers!

deleted-U05496RCQ9M
2025-04-22 10:37:02

i LOVE doing the bake at home thing

deleted-U05496RCQ9M
2025-04-22 10:37:04

i'm omw

deleted-U05496RCQ9M
2025-04-22 10:37:07

hahaha

Malissa (malissa@shield-legal.com)
2025-04-22 10:37:17

Cheese roll and guava struesel

deleted-U05496RCQ9M
2025-04-22 10:37:33

you are my new best friend

❤️ Malissa
Malissa (malissa@shield-legal.com)
2025-04-22 10:42:14

enjoy!

deleted-U05496RCQ9M
2025-04-22 11:12:32

@Malissa Hi! Do i just use the standard Dicello Hipaa?

Malissa (malissa@shield-legal.com)
2025-04-22 11:15:22

yeah the standard HIPAA used on DL/FI is fine

deleted-U05496RCQ9M
2025-04-22 11:17:59

so i have both of these, do i use both or just one

Malissa (malissa@shield-legal.com)
2025-04-22 11:20:53

What do we normally use with their SA cases?

deleted-U05496RCQ9M
2025-04-22 11:21:39

the Dicello Hipaa Hitech (PDF) is what we usually use for standard dicello retainers, i just found that one in my files, and i figured i would ask about it too

deleted-U05496RCQ9M
2025-04-22 11:21:55

i found the HIPAA - DL - unsigned.dox

deleted-U05496RCQ9M
2025-04-22 11:22:00

docx**

Malissa (malissa@shield-legal.com)
2025-04-22 11:26:33

imma ask

deleted-U05496RCQ9M
2025-04-22 11:26:39

okidoki

deleted-U05496RCQ9M
2025-04-22 14:12:46

Hey @Malissa! Just for clarification, for the OSOL criteria, Cameron kept it as 2009 or later for both SOL and OSOL. I just wanted to know does he mean 2009 or earlier for OSOL?

Cameron Rentch (https://tortintakepros.slack.com/team/UHMC40W4E)
deleted-U05496RCQ9M
2025-04-22 14:14:32

Because if a PNC was 17 years old at 2009, born 1992, they would be 33 years old currently, which doesn't really align with the 39year old criteria

deleted-U055HQT39PC
2025-04-22 14:14:51

@Malissa OUTSIDE SOL

  1. Abuse occurred in 2009 or LATER
  2. PC is OVER age 39 and 8 months old. This is the part that's confusing. Ages don't line up
Malissa (malissa@shield-legal.com)
2025-04-22 14:57:33

Sorry I was at the eye doctor.

Malissa (malissa@shield-legal.com)
2025-04-22 14:57:47

Let me dig.

Malissa (malissa@shield-legal.com)
2025-04-22 15:05:37

to be honest. i'm struggling to get the ages lined up for in or out of statute lol

Malissa (malissa@shield-legal.com)
2025-04-22 15:10:44

@deleted-U05496RCQ9M @deleted-U055HQT39PC I bugged Cam. it should be:

OUTSIDE SOL

  1. Abuse occurred EARLIER than 2009
  2. PC is OVER age 39 and 8 months old.
deleted-U055HQT39PC
2025-04-22 15:10:51

got it

deleted-U055HQT39PC
2025-04-22 15:11:00

thank you!!

Malissa (malissa@shield-legal.com)
2025-04-22 15:15:06

anytime!

deleted-U05496RCQ9M
2025-04-22 15:39:52

this HRSC Hipaa is good, yeah?

Malissa (malissa@shield-legal.com)
2025-04-22 15:40:16

Yup yup

deleted-U05496RCQ9M
2025-04-22 15:40:23

perfect, thank you!

Malissa (malissa@shield-legal.com)
2025-04-24 11:51:10

buenos dias @here! Are we still stuck with a HIPAA for Trinity?

Malissa (malissa@shield-legal.com)
2025-04-24 11:51:32

if so, let's use the same hipaa we use on SA campaigns for DL/FI

Malissa (malissa@shield-legal.com)
2025-04-24 11:51:42

which i think is the one that's the combo hitech/hipaa

deleted-U05496RCQ9M
2025-04-24 11:51:54

yeah i just used the one we usually have

Malissa (malissa@shield-legal.com)
2025-04-24 11:56:07

woohooo! let's fire it up! Leadspedia is on. 🙂

:cat_roomba_exceptionally_fast: deleted-U05496RCQ9M
Malissa (malissa@shield-legal.com)
2025-04-24 12:39:27

do we need anything else for Mormon Abuse Marsh/HRSC or whatever the letters are? @deleted-U055HQT39PC @deleted-U05496RCQ9M @deleted-U062D2YJ15Y

deleted-U05496RCQ9M
2025-04-24 12:39:43

That's already opened

👍 Malissa
Malissa (malissa@shield-legal.com)
2025-04-24 12:40:29

awesome. just checking. I don't know if Monday is working right for me as i didn't see it there.

deleted-U05496RCQ9M
2025-04-24 12:40:46

i think we opened it yesterday?

Malissa (malissa@shield-legal.com)
2025-04-24 12:40:48

but it's doing that with stuff i KNOW is there so i think i need to turn it off and on again

deleted-U05496RCQ9M
2025-04-24 12:40:54

i don't remember anything that happened this past week

😂 Malissa
deleted-U05496RCQ9M
2025-04-24 12:40:59

LOL

Malissa (malissa@shield-legal.com)
2025-04-24 12:54:25

what's the update on Depo Provera Meadow Seeger Weiss? I don't see it in the pending file or the open/closed tracker

deleted-U05496RCQ9M
2025-04-24 12:55:19

it's open too!

Malissa (malissa@shield-legal.com)
2025-04-24 12:59:05

hmmmmmmmmmmmmmm

Malissa (malissa@shield-legal.com)
2025-04-24 12:59:14

k it looks like leadspedia is the hold up.

deleted-U05496RCQ9M
2025-04-24 14:41:02

@Malissa Hey! Depo-Provera - Nielsen Law Firm - Lanier Law Firm - Meadow Law - Shield Legal recently closed on March 21st, can we move it anywhere?

deleted-U05496RCQ9M
2025-04-24 14:41:15

like move leads i mean

Malissa (malissa@shield-legal.com)
2025-04-24 14:41:50

eeeeh let me find out

deleted-U05496RCQ9M
2025-04-24 14:44:01

thank you!

Malissa (malissa@shield-legal.com)
2025-04-24 15:03:18

remind me if you havent heard by tomorrow AM

👍:skin_tone_3: deleted-U05496RCQ9M
Malissa (malissa@shield-legal.com)
2025-04-24 15:03:21

got a hot project

Malissa (malissa@shield-legal.com)
2025-04-24 17:09:56

looks like we can move those Depo Lanier leads to Depo Meadow/Seeger Weiss

🙌 deleted-U055HQT39PC
Malissa (malissa@shield-legal.com)
2025-04-24 17:10:01

i asked cam

Malissa (malissa@shield-legal.com)
2025-04-24 17:10:03

@deleted-U05496RCQ9M

deleted-U05496RCQ9M
2025-04-24 17:10:28

Thank you!!

Malissa (malissa@shield-legal.com)
2025-04-28 14:19:40

@here where are we with the setup for LDS Marsh/HRSC?

deleted-U055HQT39PC
2025-04-28 14:35:00

That was opened

Malissa (malissa@shield-legal.com)
2025-04-28 14:35:23

oh wait... i'm dumb

deleted-U055HQT39PC
2025-04-28 14:35:35

4/23

Malissa (malissa@shield-legal.com)
2025-04-28 14:35:47

it wasn't showing in LR but i just realized i had a filter on

Malissa (malissa@shield-legal.com)
2025-04-28 14:35:49

lol

deleted-U055HQT39PC
2025-04-28 14:36:00

lol that'll happen

😂 Malissa
deleted-U062D2YJ15Y
2025-04-29 14:18:10

@Malissa Hey for Firefighting Foam - Douglas London - ML - Shield Legal

Do yo know if there was supposed to be a latency period for diagnosis?

Malissa (malissa@shield-legal.com)
2025-04-29 14:20:31

not that i'm aware of @deleted-U062D2YJ15Y. Whatchoo got?

Malissa (malissa@shield-legal.com)
2025-04-29 14:20:42

i can ask for a review or get info

deleted-U062D2YJ15Y
2025-04-29 14:24:12

https://docs.google.com/document/d/1xDnrnRp-AL3NMNehJKgmNx8dTecrMUgJSJGzDRhyHTA/edit?tab=t.0#heading=h.wiwbsol6178t

I just want to make sure this is good we had a question from an agent. The only latency is PNC must have developed one of the qualifying injuries at least 6 months after first exposure to the product

Malissa (malissa@shield-legal.com)
2025-04-29 14:30:27

i'm pretty sure i had the firm sign off on that criteria. but i've been busy and am easily confused. i'll double check but let's keep signing! 🙂

deleted-U055HQT39PC
2025-04-29 14:31:16

i'm pretty sure we're good here guys

Malissa (malissa@shield-legal.com)
2025-04-29 14:32:12

if sobo says we're good i'm happy

🙌 deleted-U055HQT39PC
Malissa (malissa@shield-legal.com)
2025-04-29 14:32:14

lol

Malissa (malissa@shield-legal.com)
2025-04-30 11:59:51

@deleted-U062D2YJ15Y @deleted-U055HQT39PC @deleted-U05496RCQ9M do we have any stucks with campaign setups?

Malissa (malissa@shield-legal.com)
2025-04-30 12:00:02

Don't say AZ Juv Hall lol

deleted-U062D2YJ15Y
2025-04-30 12:00:22

Mormon Victim Abuse - AWKO - AWKO - Shield Legal

deleted-U05496RCQ9M
2025-04-30 12:00:23

AZ Juv-

deleted-U05496RCQ9M
2025-04-30 12:00:26

oh

deleted-U05496RCQ9M
2025-04-30 12:00:28

LOL

Malissa (malissa@shield-legal.com)
2025-04-30 12:00:41

😂

deleted-U05496RCQ9M
2025-04-30 12:01:04

yeah it's just the AWKO Mormon Victim Abuse

Malissa (malissa@shield-legal.com)
2025-04-30 12:01:28

Ok that’s a criteria thing. Andy is getting clarification

deleted-U05496RCQ9M
2025-04-30 12:01:37

oki doki

deleted-U062D2YJ15Y
2025-04-30 12:02:03

Tell him i said hurry up

Malissa (malissa@shield-legal.com)
2025-04-30 12:02:29

lol I’ll go stand in front of him and Sternly tap my watch

deleted-U05496RCQ9M
2025-04-30 12:02:38

and your food

deleted-U05496RCQ9M
2025-04-30 12:02:41

foot**

deleted-U05496RCQ9M
2025-04-30 12:02:45

lol

deleted-U05496RCQ9M
2025-04-30 12:03:22

hurry up

Malissa (malissa@shield-legal.com)
2025-05-01 12:45:05

@deleted-U05496RCQ9M @deleted-U055HQT39PC @deleted-U062D2YJ15Y we've pulled all the retainers for LA County and LA Foster, right?

deleted-U05496RCQ9M
2025-05-01 12:45:17

yes

Malissa (malissa@shield-legal.com)
2025-05-01 12:45:46

and closed in Monday?

deleted-U05496RCQ9M
2025-05-01 12:46:15

yes

Malissa (malissa@shield-legal.com)
2025-05-01 12:48:01

🤔

Malissa (malissa@shield-legal.com)
2025-05-01 12:48:04

thanks!

deleted-U05496RCQ9M
2025-05-01 12:48:50

no problemo

Malissa (malissa@shield-legal.com)
2025-05-02 10:32:21

@deleted-U05496RCQ9M @deleted-U055HQT39PC @deleted-U062D2YJ15Y That Paraquat ML/Dl request is top priority at the moment. FYI. Please reopen ASAP

deleted-U05496RCQ9M
2025-05-02 10:36:32

@Malissa done

❤️ Malissa
Malissa (malissa@shield-legal.com)
2025-05-02 10:39:14

thank you @deleted-U05496RCQ9M. I meant to tell you guys sooner but it looks like i forgot 😞

deleted-U05496RCQ9M
2025-05-02 10:39:28

all good! it was an easy fix

Malissa (malissa@shield-legal.com)
2025-05-02 10:39:32

for sure

deleted-U05496RCQ9M
2025-05-05 18:00:42

@Malissa Good afternoon! I just wanted to know if i can change the formatting for the Mormon AWKO SA retainer? I want to have the usual MM/DD/YYYY and for the DOB i wanna get rid of the "/"

Malissa (malissa@shield-legal.com)
2025-05-05 18:09:22

getting rid of the slashes on the DOB is totally fine

Malissa (malissa@shield-legal.com)
2025-05-05 18:09:36

i think they've been cool with the date change previously. let me check

Malissa (malissa@shield-legal.com)
2025-05-05 18:12:07

what did we do on the Chowchilla retainer with AWKO and Goldlaw

Malissa (malissa@shield-legal.com)
2025-05-05 18:12:12

@deleted-U05496RCQ9M

Malissa (malissa@shield-legal.com)
2025-05-06 14:59:01

@here do you guys have any stucks?

deleted-U05496RCQ9M
2025-05-06 14:59:40

just need retainer and hipaa for MI YTC Abuse - SGGH - Meadow Law - Shield Legal

Malissa (malissa@shield-legal.com)
2025-05-06 15:02:37

working on that. anything else?

deleted-U05496RCQ9M
2025-05-06 15:02:58

that should be it

Malissa (malissa@shield-legal.com)
2025-05-06 15:03:08

cool

deleted-U05496RCQ9M
2025-05-06 16:44:04

@Malissa Hello! Can we get some clarification on this one for the Mormon Abuse SOL? For Idaho it's a little confusing

Malissa (malissa@shield-legal.com)
2025-05-06 16:56:13

*Thread Reply:* what's this screenshot from though @deleted-U05496RCQ9M i don't recognize it

deleted-U05496RCQ9M
2025-05-06 17:01:15

*Thread Reply:* it's from our criteria sheet that i made

Malissa (malissa@shield-legal.com)
2025-05-06 17:02:06

*Thread Reply:* ok. where did the ID info come from? Is it in one of the chats? i want to track it down lol

Malissa (malissa@shield-legal.com)
2025-05-06 16:45:52

Ooooh i got it

Malissa (malissa@shield-legal.com)
2025-05-06 16:46:08

so if it's after 1989, 23

Malissa (malissa@shield-legal.com)
2025-05-06 16:46:15

if it's BEFORE 1989, 21

Malissa (malissa@shield-legal.com)
2025-05-06 16:46:21

and under

deleted-U05496RCQ9M
2025-05-06 16:46:47

so if the abuse happened after 1989 they need to be 23 or younger?

deleted-U05496RCQ9M
2025-05-06 16:46:52

that math aint mathin

Malissa (malissa@shield-legal.com)
2025-05-06 16:46:53

right

deleted-U05496RCQ9M
2025-05-06 16:46:54

lol

Malissa (malissa@shield-legal.com)
2025-05-06 16:47:02

at the time of abuse i believe

Malissa (malissa@shield-legal.com)
2025-05-06 16:47:17

so if they were abused in 1990 and they were 23 they'd count

Malissa (malissa@shield-legal.com)
2025-05-06 16:47:38

but if they were 23 in 1988 they're SOL>

deleted-U05496RCQ9M
2025-05-06 16:48:40

so they need to have been under 21 or 23 at the time of abuse?

Malissa (malissa@shield-legal.com)
2025-05-06 16:49:26

that's how i'm reading it. Which doc is that from? don't quote me on it yet lol

deleted-U05496RCQ9M
2025-05-06 16:49:49

It's from the criteria that was posted for Mormon DL it said that it needs to be current age

deleted-U05496RCQ9M
2025-05-06 16:50:24
Malissa (malissa@shield-legal.com)
2025-05-06 16:50:30

"In Idaho, the statute of limitations for civil actions related to child abuse is generally five years after the child turns 18 or five years after the child discovers or reasonably should have discovered the abuse and its connection to an injury, whichever is later."

Malissa (malissa@shield-legal.com)
2025-05-06 16:50:51

not that that helps lol

Malissa (malissa@shield-legal.com)
2025-05-06 16:54:35

• "In Idaho, the statute of limitations for child sexual abuse lawsuits is capped at 23. However, there is a delayed discovery rule that allows survivors to file a suit within five years of discovering the connection between their abuse and resulting damages. "

deleted-U05496RCQ9M
2025-05-06 17:00:53

so they need to currently be 23 or 21 and under?

Malissa (malissa@shield-legal.com)
2025-05-06 17:05:08

@deleted-U05496RCQ9M

Malissa (malissa@shield-legal.com)
2025-05-06 17:05:15

ijust found the original request from Cam!

Malissa (malissa@shield-legal.com)
2025-05-06 17:05:30

note, for DL FL LDS abuse, here are updated" in SOL" guidelines. Please ensure these are updated. Again, we will sign out of SOL claimants provided the remaining criteria is met.

ID: 23 (if abuse occurred after 1989), 21 (if abuse occurred before 1989)

Malissa (malissa@shield-legal.com)
2025-05-06 17:08:17

So that’s the age they need to be at the time of abuse (or under)

deleted-U055HQT39PC
2025-05-06 17:10:46

@Malissa doesn't it say CURRENT AGE GUIDELINE tho?

deleted-U055HQT39PC
2025-05-06 17:11:27

@deleted-U055HQT39PC please contact me if you have any questions about that.States accepted and CURRENT AGE GUIDELINE:CA = 39 or under AZ = 28 or under ID = TBD Utah = TBD WA = 39 or under OR = 39 or under NV = 37 or under CO = TBD IL = 39 or under PA = 27 or under NJ = 54 or under MD = any age (no SOL) TX = 29 or under

deleted-U055HQT39PC
2025-05-06 17:13:19

then last update was this @Malissa @deleted-U055HQT39PC @deleted-U04HFGHL4RW note, for DL FL LDS abuse, here are updated" in SOL" guidelines. Please ensure these are updated. Again, we will sign out of SOL claimants provided the remaining criteria is met.

CA: 39 or under AZ: 29 or under (A.R.S. § 12-514 : 12 years from age of majority, age of majority in AZ is 18) ID: 23 (if abuse occurred after 1989), 21 (if abuse occurred before 1989) UT: 52 and under WA: 20 and under OR: 39 or under NV: 37 or under CO: 23 and under IL: 37 or under PA: 56 or under NJ: 56 or under MD: any age (no SOL)

deleted-U055HQT39PC
2025-05-06 17:14:46

this kinda lines up with what AWKO gave us for their state SOLs, CA they have to file before their 40 so I don't think it's that the abuse could have occurred at 39

Malissa (malissa@shield-legal.com)
2025-05-06 17:14:47

@deleted-U05496RCQ9M @deleted-U055HQT39PC Just talked to Cam. He's reading it the same way i am. I'm going to email Dicello just to confirm

Malissa (malissa@shield-legal.com)
2025-05-06 17:14:58

cause i don't think anyone in 1989 is currently 23

Malissa (malissa@shield-legal.com)
2025-05-06 17:15:40

he said he got it straight from Dicello and copied it.

deleted-U05496RCQ9M
2025-05-06 17:15:53

yeah that's why we were confused. the math isn't adding up

deleted-U055HQT39PC
2025-05-06 17:17:12

This is what AWKO gave us, makes perfect sense. Some of the stuff lines up with what DiCello gave us. Unless they gave us abuse date sol and current age sol at the same time and mixed it in Open Windows Louisiana – open until June 2027 Maryland – permanent Vermont – permanent

SOL Age Limits California – must file before age 40 Connecticut – must file before age 48 Delaware – born after 1986 Florida – born after July 1988 Kansas – must file before age 31 Maine – born after August 1970 Illinois – born after 1983 Minnesota – born after 1989 Nevada – must file before age 38 New Hampshire – born after 1990 New Jersey – must file before age 55 Oregon – must file before age 40 Pennsylvania – born after 1989 Texas – born after 1992 Virginia – born after 1991 West Virginia – must file before age 36

Malissa (malissa@shield-legal.com)
2025-05-06 17:18:54

well.... it is Idaho.

Malissa (malissa@shield-legal.com)
2025-05-06 17:19:56

we'll see what Nico says. Because Cam didn't get confused by it until it dawned on him how it was worded lol

Malissa (malissa@shield-legal.com)
2025-05-06 17:20:06

then he was like "let's ask nico!"

deleted-U055HQT39PC
2025-05-06 17:20:07

it looks like DL is giving us state SOL for child SA

deleted-U055HQT39PC
2025-05-06 17:20:27

i think a good way to get some of it cleared is asking if they are only taking minors at the time of abuse

Malissa (malissa@shield-legal.com)
2025-05-06 17:20:39

for sure

Malissa (malissa@shield-legal.com)
2025-05-07 15:23:49

@deleted-U055HQT39PC for the LDS campaigns, specifically DL, are we asking about the Boy Scouts?

deleted-U05496RCQ9M
2025-05-07 15:24:20

No there isn't anywhere in the form where we ask about BSA

deleted-U05496RCQ9M
2025-05-07 15:24:34

we did let the agents know that those aren't accepted though

Malissa (malissa@shield-legal.com)
2025-05-07 15:25:17

ok good

Malissa (malissa@shield-legal.com)
2025-05-07 15:26:16

was that via slack?

Malissa (malissa@shield-legal.com)
2025-05-07 15:26:51

i ask because we might need an intake question just to make sure we don't sign someone who has settled with the boyscouts

deleted-U05496RCQ9M
2025-05-07 15:28:10

i did it during my criteria training!

❤️ Malissa
Malissa (malissa@shield-legal.com)
2025-05-07 15:28:30

yeah!

deleted-U05496RCQ9M
2025-05-09 15:02:36

Hey @Malissa! Can we get some clarification on the TVM stuff (more sol lol). We're getting a little confused between the 4 year assertion of the claim and the state SOL. Can you explain if possible?

deleted-U055HQT39PC
2025-05-09 15:03:46

@Malissa yes, my assumption is that instead of 4 years it would default to the state sol. Example: CA SOL is 2 years, but with the criteria they would technically qualify at 4 years

Malissa (malissa@shield-legal.com)
2025-05-09 15:08:40

ok i just had to pull everything up

Malissa (malissa@shield-legal.com)
2025-05-09 15:14:11

Delayed discovery rule is a little different. It basically lets them suspend the SOL but it would be based on when something started. Like the thing that led to discovering there was an issue. So if you have surgery and they leave a sponge inside. You won't know right away. Years go by and you start hurting only to find an old dirty sponge inside.

Malissa (malissa@shield-legal.com)
2025-05-09 15:14:18

then you could sue

Malissa (malissa@shield-legal.com)
2025-05-09 15:17:10

The 4 year assertion is basically saying that.... You have pain from the sponge and you know it's the sponge.... you have to 4 years from your assertion of the claim to file.

deleted-U055HQT39PC
2025-05-09 15:17:47

So are we even using the state sols then?

deleted-U05496RCQ9M
2025-05-09 15:17:49

and assertion meaning from when they call us?>

Malissa (malissa@shield-legal.com)
2025-05-09 15:17:53

yes and no.

deleted-U05496RCQ9M
2025-05-09 15:18:04

or is that from discovery?

Malissa (malissa@shield-legal.com)
2025-05-09 15:18:09

let me find Cam's original post

Malissa (malissa@shield-legal.com)
2025-05-09 15:18:13

well updated post

Malissa (malissa@shield-legal.com)
2025-05-09 15:20:49

He kind of explains the 4 year thing here: -revision/removal/recommendation for revision/removal must be within 4 years of the claimant asserting the claim (Ie at the time they are bringing the claim during Intake)

deleted-U05496RCQ9M
2025-05-09 15:21:10

so assertion IS when they call us or when they inquire and we do their intake?

Malissa (malissa@shield-legal.com)
2025-05-09 15:21:12

So if i'm calling in, a doc should have told me within the last 4 years to take the sucker out

Malissa (malissa@shield-legal.com)
2025-05-09 15:21:19

si

Malissa (malissa@shield-legal.com)
2025-05-09 15:22:06

So the SOL guide that the firms sent does a really good job at stating the Rule of Accrual for product liability

Malissa (malissa@shield-legal.com)
2025-05-09 15:23:16

CA is vague as heck tho. let me find the opinion

Malissa (malissa@shield-legal.com)
2025-05-09 15:23:29

I like Arkansas's definition

deleted-U05496RCQ9M
2025-05-09 15:25:07

So just an example for clarification!

I got the mesh implanted in 2016, but my doctor told me in 2017 that the mesh is causing complications so he ordered that i get a surgery in 2 months and I live in california. But I called in today to file a claim, I no longer qualify because it's past four years since I've known about the mesh complications and my surgery since I just called today?

Malissa (malissa@shield-legal.com)
2025-05-09 15:25:30

"We conclude that, under the delayed discovery rule, a cause of action accrues and the statute of limitations begins to run when the plaintiff has reason to suspect an injury and some wrongful cause, unless the plaintiff pleads and proves that a reasonable investigation at that time would not have revealed a factual basis for that particular cause of action. In that case, the statute of limitations for that cause of action will be tolled until such time as a reasonable investigation would have revealed its factual basis."

Malissa (malissa@shield-legal.com)
2025-05-09 15:25:37

^ CA decision

Malissa (malissa@shield-legal.com)
2025-05-09 15:26:03

yeah that's out of the statute of limitations

Malissa (malissa@shield-legal.com)
2025-05-09 15:26:35

she had reason to suspect in 2017 when the doctor warned her

deleted-U05496RCQ9M
2025-05-09 15:26:57

yeah but if she didn't know she could file a claim until today then she's just dq'd

deleted-U05496RCQ9M
2025-05-09 15:27:12

since 4 years ago is 2021

deleted-U05496RCQ9M
2025-05-09 15:27:14

damn

Malissa (malissa@shield-legal.com)
2025-05-09 15:27:42

like if she got it implanted and the doctor said nothing and suddenly today she's really sick and another doctor says why, yeah she'd qualify under delayed discovery but i'd send it for a firm review

deleted-U05496RCQ9M
2025-05-09 15:27:43

but technically because of CA her window was only 2023-2025

deleted-U05496RCQ9M
2025-05-09 15:27:49

am i reading that right

deleted-U05496RCQ9M
2025-05-09 15:28:17

i am confusion

Malissa (malissa@shield-legal.com)
2025-05-09 15:28:23

lol

Malissa (malissa@shield-legal.com)
2025-05-09 15:28:49

she technically had 2 years based on SOL in CA because the Doctor called it out in 2017

Malissa (malissa@shield-legal.com)
2025-05-09 15:28:53

so she had til 2019

deleted-U05496RCQ9M
2025-05-09 15:28:59

yeah

deleted-U05496RCQ9M
2025-05-09 15:29:10

but since we're doing assertion of the claim, she's already out

Malissa (malissa@shield-legal.com)
2025-05-09 15:29:17

yup

deleted-U05496RCQ9M
2025-05-09 15:29:23

damn that sucks

Malissa (malissa@shield-legal.com)
2025-05-09 15:29:28

and no rule of accrual because the doctor warned her

deleted-U05496RCQ9M
2025-05-09 15:30:32

that's a lot of SOLs to think about lol

deleted-U05496RCQ9M
2025-05-09 15:30:40

that's why our agents are so confused

Malissa (malissa@shield-legal.com)
2025-05-09 15:30:44

it's awful. TBH i remember warnings about TVM a few years ago

deleted-U05496RCQ9M
2025-05-09 15:30:55

most of these people that call in aren't going to qualify

Malissa (malissa@shield-legal.com)
2025-05-09 15:31:05

yeah i wish i had a good rule of thumb.

deleted-U05496RCQ9M
2025-05-09 15:31:09

yeah

Malissa (malissa@shield-legal.com)
2025-05-09 15:32:50

the 4 year assertion thing is kind of a good rule to start with. For the most part, the clock starts ticking when they find out there is a problem

deleted-U05496RCQ9M
2025-05-09 15:36:10

it's so complicated i hate it

Malissa (malissa@shield-legal.com)
2025-05-09 15:36:41

yeah.

deleted-U05496RCQ9M
2025-05-12 15:16:46

@Malissa helloo, we need HIPAA for the retainers that becker sent for michigan

deleted-U05496RCQ9M
2025-05-12 15:17:05

and is this retainer the same one we're using for all the michigan campaigns we're making for them?

Malissa (malissa@shield-legal.com)
2025-05-12 15:18:28

@deleted-U05496RCQ9M yes, it's the same retainer. 1 for a minor 1 for an adult. let me ask about that HIPAA.

Malissa (malissa@shield-legal.com)
2025-05-12 15:49:24

@deleted-U05496RCQ9M from jon: No medical authorizations needed for this with SGGH.

deleted-U05496RCQ9M
2025-05-12 15:49:44

lit thank you

deleted-U05496RCQ9M
2025-05-12 15:49:56

wait that sounded too genz

deleted-U05496RCQ9M
2025-05-12 15:50:03

right away ma'am lol

deleted-U05496RCQ9M
2025-05-12 17:01:49

@Malissa hiii do we have criteria for Michigan foster care?

Malissa (malissa@shield-legal.com)
2025-05-12 17:02:56

i'll bug jon.

deleted-U055HQT39PC
2025-05-12 17:05:11

@Malissa thank you

Malissa (malissa@shield-legal.com)
2025-05-12 17:30:03

@deleted-U055HQT39PC Jon is going to get us something

deleted-U05496RCQ9M
2025-05-12 17:51:50

@Malissa ALSO sorry, for these, the old michigan yrtc sol was that the pnc needed to be borm 1997 or after, is it the same for all of these as well?

Malissa (malissa@shield-legal.com)
2025-05-12 17:53:01

It’s different @deleted-U05496RCQ9M Give me just a minute. :)

Malissa (malissa@shield-legal.com)
2025-05-12 17:55:16

Wait no…. 97 is right. Anything older is idol

Malissa (malissa@shield-legal.com)
2025-05-12 17:55:20

Osol

Malissa (malissa@shield-legal.com)
2025-05-12 17:55:31

MI Abuse Criteria @deleted-U055HQT39PC @deleted-U04HFGHL4RW @deleted-U05EFH3S2TA @Dustin Surwill NOTE - VSS requested

MI YRTC Facilities and Criteria: Abuse Occurred at One of the Following Michigan YRTC Facilities

  1. Detroit Behavioral Institute (DBI) in Detroit, MI (owned by Acadia)
    1. StoneCrest Center (owned by Acadia)
  2. Harbor Oaks Hospital (owned by Acadia)
  3. Starr Commonwealth (owned by Sequel)
  4. Lakeside Academy (owned by Sequel)
  5. Forest View Hospital in Grand Rapids, MI (owned by UHS)
  6. Cedar Creek Hospital in St. Johns, MI (owned by UHS)
    1. Havenwyck Hospital in Auburn Hills, MI (owned by UHS)
  7. Beaumont Behavioral Health in Dearborn, MI (owned by UHS)
  8. Henry Ford Kingswood Hospital in Ferndale, Oakland County, MI

Criteria for the MI YRTC cases: • Minor at time of abuse • Sexual abuse • Groping (skin to skin) • Masturbation • Oral Copulation • Penetration • Forcing two minors to perform sexual acts on each other, etc. • PNC was patient / resident of approved facility • PNC was sexually abused by staff member, or another inmate or resident at the facility (ideally some type of notice) • Current Age • Under 18 years old, parent/guardian must sign • 18-27.5 years of age , sign on standard retainer • 27.5-28 years of age, need team to review and decide, in case SOL is approaching • 28 years and older, sign on “inventory retainer” for out of SOL cases

deleted-U055HQT39PC
2025-05-12 17:55:56

I thought it was the 41 years thing?

Malissa (malissa@shield-legal.com)
2025-05-12 17:56:20

Yeah I’m confused on that. The criteria is copied from meadow

deleted-U05496RCQ9M
2025-05-12 17:56:35

cries

Malissa (malissa@shield-legal.com)
2025-05-12 18:00:59

ok so i'm reading the work order from meadow and they have it broken out by being under 41 and over 41

Malissa (malissa@shield-legal.com)
2025-05-12 18:02:01

a. clients under 41 years of age b. for clients over 41 years of age c. for clients who were abused only in foster homes (regardless of age) d. for clients who were only abused by another resident/patient/inmate (regardless of age)

Malissa (malissa@shield-legal.com)
2025-05-12 18:04:38

how cam posted it in the call center channel:

MI Juv (41 or under) MI Juv OSOL

MI YRTC (41 or under) MI YRTC OSOL

MI Foster (all ages)

🙌 deleted-U055HQT39PC
Malissa (malissa@shield-legal.com)
2025-05-12 18:08:07

It's confusing based on the criteria they gave us for sure.

Malissa (malissa@shield-legal.com)
2025-05-12 18:08:24

but that's what cam said lol

deleted-U055HQT39PC
2025-05-12 18:31:48

lol i can't send messages

deleted-U055HQT39PC
2025-05-12 18:32:19

@Malissa The criteria docs they sent us in that email don't mention an SOL, the only thing I see is the 41 years thing

Malissa (malissa@shield-legal.com)
2025-05-12 18:36:56

I didn’t get the email. Can you send it to me?

Malissa (malissa@shield-legal.com)
2025-05-12 18:37:10

Let’s stick with the 41 years thing

Malissa (malissa@shield-legal.com)
2025-05-12 18:37:22

Which is

Malissa (malissa@shield-legal.com)
2025-05-12 18:37:29

1984

Malissa (malissa@shield-legal.com)
2025-05-12 19:32:59

@deleted-U055HQT39PC Jon sent me the email. I updated the criteria in the call center channel

deleted-U05496RCQ9M
2025-05-13 10:05:17

@Malissa good morning, may i please have that forwarded to me? i don't have access to that channel (:

Malissa (malissa@shield-legal.com)
2025-05-13 10:07:55

@deleted-U05496RCQ9M Cam sent some clarifying info. Let me forward. He copied what i posted but it might be helpful

Malissa (malissa@shield-legal.com)
2025-05-13 10:08:27

Key points

MI JUV and YRTC -to sign up in regular campaign abuse MUST be by staff member, counselor, parole officer, guard etc etc -to sign up in regular campaign claimant MUST be 41 or UNDER at time of intake -Any Inmate on inmate abuse ONLY MUST be signed on OSOL campaign -Any claimant 42 or OVER at time of intake MUST be signed on OSOL campaign -If the abuse occured in a FOSTER CARE HOME or FACILITY you must MOVE and sign up in Foster Care Campaign

For MI Juv Abuse above:

Regular campaign:

MI JDC Criteria:

  1. Bay Pines Center (CCI) - State Operated 2425 N 30th St, Escanaba, MI 49829
  2. Shawono Center (CCI) - State Operated 10 N Howes Lake Rd, Grayling, MI 49738
  3. Maurice Spear Campus (CCI) 2910 Airport Rd, Adrian, MI 49221
  4. Wayne County Juvenile Detention Facility (CCI) 4125 Washtenaw Ave, Ann Arbor, MI 48108
  5. W.J. Maxey Boys Training School (CLOSED) 8701 M-36, Whitmore Lake, MI 48189
  6. Muskegon County Juvenile Transition Center (COF) 205 E Apple Ave, Muskegon, MI 49442
  7. Kalamazoo County Juvenile Home (COF) 1424 Gull Rd, Kalamazoo, MI 49048
  8. Roscommon County Juvenile Detention Center (CLOSED) 500 Lake Street Roscommon, Mi. 48653
  9. Allegan County Juvenile Detention (COF) 2243 33rd St, Allegan, MI 49010
  10. Bay County Juvenile Home (CCI) 520 W Hampton Rd, Essexville, MI 48732
  11. Berrien County Juvenile Center (COF) 6414 Deans Hill Rd, Berrien Center, MI 49102
  12. Calhoun County Juvenile Home (CCI) 14555 18 1/2 Mile Rd, Marshall, MI 49068
  13. Eaton County Youth Facility (COF) 822 Courthouse Dr, Charlotte, MI 48813
  14. Genesee Valley Regional Center (COF) 4287 Pasadena Ave, Flint, MI 48504
  15. Ingham County Youth Center (COF) 700 E. Jolly Road, Lansing, MI. 48910
  16. Jackson County Youth Center (COF) 930 Fleming Ave, Jackson, MI 49202 Document Ref: U32HB-YBNXN-ZAKWJ-6HHLS Page 4 of 5
  17. Kent County Juvenile Detention (COF) 1501 Cedar Street NE, Grand Rapids, MI 49503-1390
  18. Macomb County Juvenile Justice Center (CCI) 400 N Rose St, Mt Clemens, MI 48043
  19. Midland County Juvenile Care Center (COF) 3712 E Ashman St, Midland, MI 48642
  20. Monroe County Youth Center (COF) 3600 S Custer Rd, Monroe, MI 48161
  21. Oakland County Children's Village (CCI) 1200 N Telegraph Building 63W, Waterford Twp, MI 48328
  22. Ottawa County Juvenile Detention (COF) 12110 Fillmore St, West Olive, MI 49460
  23. Saginaw County Juvenile Detention (COF) 3360 Hospital Rd, Saginaw, MI 48603
  24. Washtenaw County Youth Center (CCI) 4125 Washtenaw Ave, Ann Arbor, MI 48108

• Criteria: • Must be 41 or UNDER at time of sign up • Minor at time of abuse • Sexual abuse o Groping (skin to skin) • o Masturbation • o Oral Copulation • o Penetration • o Forcing two minors to perform sexual acts on each other, etc. • • PNC was sexually abused at MI juvenile detention center • • PNC was sexually abused by staff member,guard, parole office, corrections officer etc, ~or another inmate/resident at the facility (ideally some type of notice)~ • • Current Age • o Under 18 years old, parent/guardian must sign • o 18+ sign on normal retainer ------

MI Juv OSOL

MI JDC Criteria:

  1. Bay Pines Center (CCI) - State Operated 2425 N 30th St, Escanaba, MI 49829
  2. Shawono Center (CCI) - State Operated 10 N Howes Lake Rd, Grayling, MI 49738
  3. Maurice Spear Campus (CCI) 2910 Airport Rd, Adrian, MI 49221
  4. Wayne County Juvenile Detention Facility (CCI) 4125 Washtenaw Ave, Ann Arbor, MI 48108
  5. W.J. Maxey Boys Training School (CLOSED) 8701 M-36, Whitmore Lake, MI 48189
  6. Muskegon County Juvenile Transition Center (COF) 205 E Apple Ave, Muskegon, MI 49442
  7. Kalamazoo County Juvenile Home (COF) 1424 Gull Rd, Kalamazoo, MI 49048
  8. Roscommon County Juvenile Detention Center (CLOSED) 500 Lake Street Roscommon, Mi. 48653
  9. Allegan County Juvenile Detention (COF) 2243 33rd St, Allegan, MI 49010
  10. Bay County Juvenile Home (CCI) 520 W Hampton Rd, Essexville, MI 48732
  11. Berrien County Juvenile Center (COF) 6414 Deans Hill Rd, Berrien Center, MI 49102
  12. Calhoun County Juvenile Home (CCI) 14555 18 1/2 Mile Rd, Marshall, MI 49068
  13. Eaton County Youth Facility (COF) 822 Courthouse Dr, Charlotte, MI 48813
  14. Genesee Valley Regional Center (COF) 4287 Pasadena Ave, Flint, MI 48504
  15. Ingham County Youth Center (COF) 700 E. Jolly Road, Lansing, MI. 48910
  16. Jackson County Youth Center (COF) 930 Fleming Ave, Jackson, MI 49202 Document Ref: U32HB-YBNXN-ZAKWJ-6HHLS Page 4 of 5
  17. Kent County Juvenile Detention (COF) 1501 Cedar Street NE, Grand Rapids, MI 49503-1390
  18. Macomb County Juvenile Justice Center (CCI) 400 N Rose St, Mt Clemens, MI 48043
  19. Midland County Juvenile Care Center (COF) 3712 E Ashman St, Midland, MI 48642
  20. Monroe County Youth Center (COF) 3600 S Custer Rd, Monroe, MI 48161
  21. Oakland County Children's Village (CCI) 1200 N Telegraph Building 63W, Waterford Twp, MI 48328
  22. Ottawa County Juvenile Detention (COF) 12110 Fillmore St, West Olive, MI 49460
  23. Saginaw County Juvenile Detention (COF) 3360 Hospital Rd, Saginaw, MI 48603
  24. Washtenaw County Youth Center (CCI) 4125 Washtenaw Ave, Ann Arbor, MI 48108

• Criteria: • Must be 42 or OVER at time of sign up • Minor at time of abuse • Sexual abuse o Groping (skin to skin) • o Masturbation • o Oral Copulation • o Penetration • o Forcing two minors to perform sexual acts on each other, etc. • • PNC was sexually abused at MI juvenile detention center • • PNC was sexually abused by staff member, or another inmate/resident at the facility (ideally some type of notice) • • Current Age • o Under 18 years old, parent/guardian must sign • o 18+ sign on normal retainer PNC must not have been convicted of a very serious crime (but depends, so have attorney review lead) i.e., rape, any sex crime against child, murder

-------

MI YRTC Facilities and Criteria:

Regular Campaign

Abuse Occurred at One of the Following Michigan YRTC Facilities

  1. Detroit Behavioral Institute (DBI) in Detroit, MI (owned by Acadia)
  2. StoneCrest Center (owned by Acadia)
  3. Harbor Oaks Hospital (owned by Acadia)
  4. Starr Commonwealth (owned by Sequel)
  5. Lakeside Academy (owned by Sequel)
  6. Forest View Hospital in Grand Rapids, MI (owned by UHS)
  7. Cedar Creek Hospital in St. Johns, MI (owned by UHS)
  8. Havenwyck Hospital in Auburn Hills, MI (owned by UHS)
  9. Beaumont Behavioral Health in Dearborn, MI (owned by UHS)
  10. Henry Ford Kingswood Hospital in Ferndale, Oakland County, MI

Criteria for the MI YRTC cases: • Minor at time of abuse Must be 41 or UNDER at time of sign up • Sexual abuse • Groping (skin to skin) • Masturbation • Oral Copulation • Penetration • Forcing two minors to perform sexual acts on each other, etc. • PNC was patient / resident of approved facility • PNC was sexually abused by staff member, counselor, etc~, or another inmate or resident at the facility~ (ideally some type of notice) • Current Age • Under 18 years old, parent/guardian must sign • over 18 , sign on normal retainer

-----

OSOL MI YRTC Facilities and Criteria:

Regular Campaign

Abuse Occurred at One of the Following Michigan YRTC Facilities

  1. Detroit Behavioral Institute (DBI) in Detroit, MI (owned by Acadia)
  2. StoneCrest Center (owned by Acadia)
  3. Harbor Oaks Hospital (owned by Acadia)
  4. Starr Commonwealth (owned by Sequel)
  5. Lakeside Academy (owned by Sequel)
  6. Forest View Hospital in Grand Rapids, MI (owned by UHS)
  7. Cedar Creek Hospital in St. Johns, MI (owned by UHS)
  8. Havenwyck Hospital in Auburn Hills, MI (owned by UHS)
  9. Beaumont Behavioral Health in Dearborn, MI (owned by UHS)
  10. Henry Ford Kingswood Hospital in Ferndale, Oakland County, MI

Criteria for the MI YRTC cases: • Minor at time of abuse Must be 42 or OVER at time of sign up • Sexual abuse • Groping (skin to skin) • Masturbation • Oral Copulation • Penetration • Forcing two minors to perform sexual acts on each other, etc. • PNC was patient / resident of approved facility • PNC was sexually abused by staff member, counselor, etc~,~ or another inmate or resident at the facility (ideally some type of notice) • Current Age • Under 18 years old, parent/guardian must sign • over 18 , sign on normal retainer

--------

MI Foster Care

(Note ONLY 1 campaign) All claimants of ANY CURRENT AGE sign up in this campaign

MI Foster Abuse Criteria:

Campaign Criteria: • PNC is not represented by another attorney • PNC did not previously sign with another attorney • PNC was placed into Foster Care in Michigan • PNC was sexually abused while at foster care in Michigan • ◦ Residential and Facility cases BOTH accepted • PNC MUST have been 17 or younger at the time of abuse • PNC MUST be able to provide THE FULL NAME OR LAST NAME of their Foster Parent(s) and abuser(s) ◦ IF PNC is ONLY able to provide the LAST NAME of their Foster Parent(s), PNC MUST PROVIDE FIRST/LAST NAME of their abuser(s)IF PNC is ONLY able to provide the FIRST/LAST NAME of abuser(s), PNC MUST PROVIDE FULL NAME of their Foster Parent(s)Foster Parent(s) DO NOT need to be the abuser, but the abuser CANNOT be a blood relative of the PNC. • PNC can provide a detailed description of the abuser • Abuse MUST have been sexual with skin-to-skin contact NOTE: IF THE INJURED PARTY HAS ALREADY SIGNED UP FOR ANY OTHER MICHIGAN JUVENILE HALL CLAIMS, DO NOT SIGN

Disqualify if: • Already represented • PNC previously signed with another attorney • PNC was not placed into Foster Care in Michigan • PNC was not sexually abused while at foster care in Michigan • PNC was 18 or older at the time of abuse • Abuser is a blood relative of the PNC • PNC provided the last name of their abuser but unable to provide the full name of their Foster Parent(s) • PNC provided the last name of their Foster Parent(s) but unable to provide the full name of their abuser(s) • PNC cannot provide the full name or the last name of the abuser • PNC cannot provide the name of their abuser • PNC cannot provide a detailed description of the abuser • Abuse was not sexual • No skin-to-skin contact

Malissa (malissa@shield-legal.com)
2025-05-13 10:08:39

That's everything but clergy

deleted-U05496RCQ9M
2025-05-13 10:08:48

thank you

deleted-U05496RCQ9M
2025-05-13 10:08:56

clergy?

deleted-U05496RCQ9M
2025-05-13 10:09:01

we have a clergy campaign??

Malissa (malissa@shield-legal.com)
2025-05-13 10:09:47

😬

Malissa (malissa@shield-legal.com)
2025-05-13 10:09:59

It's uhhhh in the works

deleted-U05496RCQ9M
2025-05-13 10:10:14

oh okay so i don't need to worry about it right now lol you scared me

Malissa (malissa@shield-legal.com)
2025-05-13 10:10:44

yeah not yet. sorry about that. there's been murmurings about it

deleted-U05496RCQ9M
2025-05-13 10:10:51

it's okay

Malissa (malissa@shield-legal.com)
2025-05-13 10:11:01

Becker is working on the criteria.

deleted-U05496RCQ9M
2025-05-13 10:11:07

pre-meditated panic

Malissa (malissa@shield-legal.com)
2025-05-13 10:12:05

this whole michigan thing hasn't been good for my anxiety

deleted-U05496RCQ9M
2025-05-13 10:12:37

yeah i bet

deleted-U05496RCQ9M
2025-05-13 10:12:39

i'm sorry

Malissa (malissa@shield-legal.com)
2025-05-13 10:12:48

eh could be worse lol

Malissa (malissa@shield-legal.com)
2025-05-13 10:12:59

no worries. that's what chocolate is for

:meow_attention: deleted-U05496RCQ9M
Malissa (malissa@shield-legal.com)
2025-05-13 11:46:49

@here just posted this in the call center channel too:

Malissa (malissa@shield-legal.com)
2025-05-13 11:46:50

I just received a message from SGGH regarding their IL YRTC campaign. They have updated criteria.

Please see below for updated criteria regarding acceptable IL YRTC sexual abuse cases: We are only signing cases that involve: • Oral sex • Any form of penetration (digital, vaginal, rectal) • Fondling under the clothing • Incidents where staff forced a minor to engage in sexual acts with another (including both staff-on-patient and patient-on-patient abuse facilitated by staff) Do not sign cases that involve only over-the-clothes groping or fondling, unless the conduct was uniquely excessive or outrageous and occurred on a regular basis. Additionally, please gather more detailed information regarding: • The identity and role of the perpetrator (e.g., therapist, guard, night aide) • The nature of their relationship to the victim

deleted-U05496RCQ9M
2025-05-13 12:19:51

@Malissa hi! for this part of the criteria for mi yrtc, does this mean that a report is necessary not just for inmate on inmate but also for staff?

Malissa (malissa@shield-legal.com)
2025-05-13 12:22:19

Inmate on inmate goes in osol it looks like based on what cam sent. We do need to make sure that we are tracking that

deleted-U05496RCQ9M
2025-05-13 12:22:48

yes, but before a report was only necessary if it was another inmate as the abuser

deleted-U05496RCQ9M
2025-05-13 12:22:58

but they didn't cross that part out

deleted-U05496RCQ9M
2025-05-13 12:23:11

so does that mean a report needs to be made for staff members or counselors?

Malissa (malissa@shield-legal.com)
2025-05-13 12:23:40

Hang on. On my phone lol.

Malissa (malissa@shield-legal.com)
2025-05-13 12:23:52

Too much to scroll

deleted-U05496RCQ9M
2025-05-13 12:23:58

oki doki

Malissa (malissa@shield-legal.com)
2025-05-13 12:26:51

ok. got it. Yes, a report for staff is ideal. not necessary but preferred if i remember correctly from the previous SGGH YRTC

Malissa (malissa@shield-legal.com)
2025-05-13 12:27:01

i totally thought you meant like.... a report from Lawruler

deleted-U05496RCQ9M
2025-05-13 12:27:05

okay got it thank you

deleted-U05496RCQ9M
2025-05-13 12:27:06

OH

deleted-U05496RCQ9M
2025-05-13 12:27:09

LOL

deleted-U05496RCQ9M
2025-05-13 12:27:14

i apologize

deleted-U05496RCQ9M
2025-05-13 12:27:19

i should have made it clearer

Malissa (malissa@shield-legal.com)
2025-05-13 12:27:27

no worries. I'm a blonde under all this hair dye

deleted-U05496RCQ9M
2025-05-13 12:27:34

aren't we all

😂 Malissa
deleted-U05496RCQ9M
2025-05-13 12:27:36

lol

deleted-U05496RCQ9M
2025-05-13 12:28:06

it's just hard to navigate since there's four campaigns so my brain is all jumbled hahahaha

Malissa (malissa@shield-legal.com)
2025-05-13 12:29:08

it's ok. the fact there are so many we're doing at the same time, and they're so similar, is enough to cause headaches

Malissa (malissa@shield-legal.com)
2025-05-14 10:54:44

just curious @deleted-U055HQT39PC @deleted-U05496RCQ9M @deleted-U062D2YJ15Y what's up with the AWKO Mormon campaign? What all are we missing?

Malissa (malissa@shield-legal.com)
2025-05-14 10:55:08

also the sheet shows MI YTC abuse needing a Hipaa and Retainer. I thought we were good there

deleted-U05496RCQ9M
2025-05-14 11:05:35

I had my hands full yesterday so i wasn't able to update the sheet

deleted-U05496RCQ9M
2025-05-14 11:05:44

we are all good for now

deleted-U05496RCQ9M
2025-05-14 11:05:51

awko mormon is already open as well

Malissa (malissa@shield-legal.com)
2025-05-14 11:06:48

ok cool.

deleted-U05496RCQ9M
2025-05-14 11:07:46

i also did just ask in overthecap if we can move chowchilla awko/gold law anywhere! i

deleted-U05496RCQ9M
2025-05-14 11:07:51

i'm guessing no?

Malissa (malissa@shield-legal.com)
2025-05-14 11:08:14

eh... we're trying to find out

deleted-U05496RCQ9M
2025-05-14 11:08:45

i'll just let the agents know for now that they are not able to

👍 Malissa
deleted-U05496RCQ9M
2025-05-14 11:28:03

@Malissa good morning, am i able to change the date formats to MM/DD/YYYY in the meadow contracts for michigan?

Malissa (malissa@shield-legal.com)
2025-05-14 11:28:18

yeah that's fine as long as it looks professional

Malissa (malissa@shield-legal.com)
2025-05-14 11:28:28

so no whacky fonts and memes

deleted-U05496RCQ9M
2025-05-14 11:28:35

i am out of my mind, idk why i said good morning like we haven't already spoken

😂 Malissa
deleted-U05496RCQ9M
2025-05-14 11:28:48

wingdings and comic sans you got it @Malissa

Malissa (malissa@shield-legal.com)
2025-05-14 11:29:21

i was thinking old english but ok

deleted-U05496RCQ9M
2025-05-14 11:29:28

we can do all three

Malissa (malissa@shield-legal.com)
2025-05-14 11:29:37

one for each section

deleted-U05496RCQ9M
2025-05-14 11:29:39

each page can be a different font

😂 Malissa
deleted-U05496RCQ9M
2025-05-14 11:29:41

hahaha

Malissa (malissa@shield-legal.com)
2025-05-14 12:55:32

@deleted-U05496RCQ9M How are we doing with all the Michigan campaigns for Meadow and SGGH?

Malissa (malissa@shield-legal.com)
2025-05-14 12:56:04

or @deleted-U055HQT39PC

deleted-U055HQT39PC
2025-05-14 12:56:04

@Malissa our part is done

Malissa (malissa@shield-legal.com)
2025-05-14 12:56:14

ok cool. i didn't see it in the open closed tracker

deleted-U055HQT39PC
2025-05-14 12:56:23

We're waiting on Brittany and Mark to finish their parts

Malissa (malissa@shield-legal.com)
2025-05-14 12:56:32

ok so i need to bug them

Malissa (malissa@shield-legal.com)
2025-05-14 13:01:09

@deleted-U055HQT39PC mark says he's waiting for you guys to update it in Monday

deleted-U055HQT39PC
2025-05-14 13:03:38

It should all be updated now

❤️ Malissa
Malissa (malissa@shield-legal.com)
2025-05-14 18:00:44

@deleted-U05496RCQ9M @deleted-U055HQT39PC where did you guys get the criteria for AWKO Mormon?

deleted-U05496RCQ9M
2025-05-14 18:01:10

We got it from Mary

deleted-U05496RCQ9M
2025-05-14 18:01:14

From AWKO

deleted-U05496RCQ9M
2025-05-14 18:01:54

Christian, Sobo, and I were in a physical meeting with her, Alex, Allan, and Andy

Malissa (malissa@shield-legal.com)
2025-05-14 18:02:14

oh cool. do you have it in writing? just wondering because Cam is asking

Malissa (malissa@shield-legal.com)
2025-05-14 18:04:22

if it's just notes you made, no worries

deleted-U05496RCQ9M
2025-05-14 18:04:38

yes

deleted-U05496RCQ9M
2025-05-14 18:04:42

i shall share it with you

❤️ Malissa
deleted-U05496RCQ9M
2025-05-14 18:05:22

sent it to your email!

Malissa (malissa@shield-legal.com)
2025-05-14 18:05:30

thank you!

deleted-U05496RCQ9M
2025-05-14 18:05:35

it was just my meeting notes lol

deleted-U05496RCQ9M
2025-05-14 18:05:50

the first 4 bullet points aren't actual criteria but the rest is

Malissa (malissa@shield-legal.com)
2025-05-14 18:05:52

notes are awsome

Malissa (malissa@shield-legal.com)
2025-05-14 18:06:10

did she say why arkansas sucks?

Malissa (malissa@shield-legal.com)
2025-05-14 18:06:12

i mean....

deleted-U05496RCQ9M
2025-05-14 18:06:19

i also read all this back to her and she said it was good

deleted-U05496RCQ9M
2025-05-14 18:06:27

OH i had to find out on my own one second

deleted-U05496RCQ9M
2025-05-14 18:06:54

the state sol is super weird for AR let me find the thing

Malissa (malissa@shield-legal.com)
2025-05-14 18:07:26

you could just say "The state is super weird" and that would have been fine lol

deleted-U05496RCQ9M
2025-05-14 18:08:43

here's a screenshot from the doc that they gave us for SOLs!

Malissa (malissa@shield-legal.com)
2025-05-14 18:11:51

wow

Malissa (malissa@shield-legal.com)
2025-05-14 18:12:03

i'm not surprised though

deleted-U05496RCQ9M
2025-05-14 18:12:25

yes

deleted-U05496RCQ9M
2025-05-14 18:12:30

do you want that doc also?

deleted-U05496RCQ9M
2025-05-14 18:13:28
Malissa (malissa@shield-legal.com)
2025-05-14 18:13:57

nice! Thanks

deleted-U05496RCQ9M
2025-05-14 18:14:06

no problem!

Malissa (malissa@shield-legal.com)
2025-05-14 18:15:32

i think we are good

deleted-U05496RCQ9M
2025-05-14 18:17:31

Sobo just let me know about Meadow

Malissa (malissa@shield-legal.com)
2025-05-14 18:17:43

O.o yeah

Malissa (malissa@shield-legal.com)
2025-05-14 18:17:49

i asked if we can deviate from 12pm

Malissa (malissa@shield-legal.com)
2025-05-14 18:17:50

12pt

Malissa (malissa@shield-legal.com)
2025-05-14 18:18:20

oooh she replied!

Malissa (malissa@shield-legal.com)
2025-05-14 18:18:22

yes we can

Malissa (malissa@shield-legal.com)
2025-05-14 18:18:25

i'll forward

deleted-U055HQT39PC
2025-05-14 18:20:38

@Malissa they gave us the document with that spacing at the end lol

Malissa (malissa@shield-legal.com)
2025-05-14 18:20:52

🤣

Malissa (malissa@shield-legal.com)
2025-05-14 18:20:58

of course they did! lol

deleted-U05496RCQ9M
2025-05-14 18:21:06

all the formatting is theirs lol

Malissa (malissa@shield-legal.com)
2025-05-14 18:21:28

yeah they're lawyers not artists

😂 deleted-U055HQT39PC
Malissa (malissa@shield-legal.com)
2025-05-14 18:22:11

They're the people that paid me in college to fix/write their papers probably

deleted-U05496RCQ9M
2025-05-14 18:26:12

omg

deleted-U05496RCQ9M
2025-05-14 18:26:54

also another issue, if i make the cover letter 11.5pt, i can't move the line for signature because it is part of their formatting. so if i move it, the lawfirm logo also moves

Malissa (malissa@shield-legal.com)
2025-05-14 18:27:12

what if you did 11.75

deleted-U05496RCQ9M
2025-05-14 18:27:25

sobo is sending one with the 11.5

Malissa (malissa@shield-legal.com)
2025-05-14 18:27:30

oh ok cool

deleted-U055HQT39PC
2025-05-14 18:27:36

just the cover letter

Malissa (malissa@shield-legal.com)
2025-05-14 18:27:48

I think the cover letter is the biggest issue she's seeing?

Malissa (malissa@shield-legal.com)
2025-05-14 18:29:31

*Thread Reply:* i think this looks very nice @deleted-U055HQT39PC

Malissa (malissa@shield-legal.com)
2025-05-14 18:29:41

*Thread Reply:* but how does it look filled out? 😕

Malissa (malissa@shield-legal.com)
2025-05-14 18:29:09

fyi, the michigan campaigns are high priority as the leads go live tomorrow. Mark will be available tonight for whatever is needed

Malissa (malissa@shield-legal.com)
2025-05-14 18:31:19

@here

deleted-U05496RCQ9M
2025-05-14 18:39:40

so we tested it and this is already with the font smaller 11.5pt and the date will not be uniform

deleted-U055HQT39PC
2025-05-14 18:41:23

hold on we'll send another one with a different name

deleted-U05496RCQ9M
2025-05-14 18:42:38
deleted-U05496RCQ9M
2025-05-14 18:43:00

Document font: 11.5 LR font: 12pt

deleted-U055HQT39PC
2025-05-14 18:56:24

This is about as good as it gets

Malissa (malissa@shield-legal.com)
2025-05-14 19:00:42

Yeah that looks pretty good. Let’s send it out

Malissa (malissa@shield-legal.com)
2025-05-14 19:01:13

She will call out the date lol

deleted-U055HQT39PC
2025-05-14 19:02:08

I can't control the date lol

Malissa (malissa@shield-legal.com)
2025-05-14 19:02:58

Exactly. I think the only options are to move it or accept it

deleted-U055HQT39PC
2025-05-14 19:43:36

@Malissa I'm not sure if I can make it any better than this

Malissa (malissa@shield-legal.com)
2025-05-14 19:45:34

Let’s see what she says to my last email. :)

Malissa (malissa@shield-legal.com)
2025-05-14 19:45:43

I think it’s great

deleted-U055HQT39PC
2025-05-14 19:49:28

Thank you. I was saying there next request is going to be a bowl of boiling water with ice cubes but the ice can't get all tiny and melt

Malissa (malissa@shield-legal.com)
2025-05-14 19:52:31

Hahahahahahahaha

Malissa (malissa@shield-legal.com)
2025-05-14 19:53:22

“We need this form translated into old Klingon. Not new Klingon”

Malissa (malissa@shield-legal.com)
2025-05-14 19:53:39

“And in an actual dialect so no google translate”

deleted-U055HQT39PC
2025-05-14 19:55:30

lmao yeah 💯 I think they'll be good with it. Or at least accept that we're not using mail merge for our e-Signs and call it a day

Malissa (malissa@shield-legal.com)
2025-05-14 19:57:31

Jon Becker says launch it

deleted-U05496RCQ9M
2025-05-15 11:16:07

@Malissa Good morning! I just realized that in the Mormon SOLs for AWKO we weren't given an SOL for Indiana

deleted-U05496RCQ9M
2025-05-15 11:16:21

do you think we can get one?

Malissa (malissa@shield-legal.com)
2025-05-15 11:16:28

Yeah I'll reach out to Mary

deleted-U05496RCQ9M
2025-05-15 11:16:32

Thank you!!

Malissa (malissa@shield-legal.com)
2025-05-15 11:16:47

i noticed that yesterday but thought i was just missing it because of fonts

deleted-U05496RCQ9M
2025-05-15 11:17:02

i never realized

Malissa (malissa@shield-legal.com)
2025-05-15 11:17:52

iowa is missing too

Malissa (malissa@shield-legal.com)
2025-05-15 11:17:58

i mean... it's not like those two states are important

Malissa (malissa@shield-legal.com)
2025-05-15 11:18:19

well i guess Iowa is good for corn

Malissa (malissa@shield-legal.com)
2025-05-15 11:19:38

I kid i kid. Emailed Mary and cc'd you @deleted-U05496RCQ9M

deleted-U05496RCQ9M
2025-05-15 11:19:39

LOL

deleted-U05496RCQ9M
2025-05-15 11:19:45

thank you!

deleted-U05496RCQ9M
2025-05-15 12:01:51

hello again! is Firefighting Foam 2 - VAM Law - ELG - Meadow Law - Shield Legal still paused? @Malissa

Malissa (malissa@shield-legal.com)
2025-05-15 12:03:43

Yeah it’s still paused

Malissa (malissa@shield-legal.com)
2025-05-15 12:03:47

What’s up?

deleted-U05496RCQ9M
2025-05-15 12:04:32

just wondering because an agent asked about it and there was no retainer, i tried to go back to a conversation we had about it cause i vaguely remember but couldn't find it on slack lol

deleted-U05496RCQ9M
2025-05-15 12:04:51

thank you for the clarification though!

Malissa (malissa@shield-legal.com)
2025-05-15 12:05:15

Yeah no problem

Malissa (malissa@shield-legal.com)
2025-05-15 12:06:12

FYI I talked to Jon Becker last night. He said that next time we get any weird push back on fonts or Size or something insignificant to let him know asap

Malissa (malissa@shield-legal.com)
2025-05-15 12:06:43

Thank you all for your hard work on getting that letter done. @here

Malissa (malissa@shield-legal.com)
2025-05-15 12:07:19

If it gets that granular again tho Jon will help us before it gets silly

deleted-U05496RCQ9M
2025-05-15 12:11:13

thank you again, i know it was hectic yesterday

Malissa (malissa@shield-legal.com)
2025-05-15 14:52:49

@here updated SOL from AWKO. Sunnie might have already updated everything lol

deleted-U05496RCQ9M
2025-05-15 14:58:13

i will update after lunch!!

👍 Malissa
deleted-U05496RCQ9M
2025-05-15 15:25:49

updated! thanks again for your help!

👍 Malissa
Malissa (malissa@shield-legal.com)
2025-05-15 15:26:09

no prob

deleted-U05496RCQ9M
2025-05-19 10:35:25

@Malissa Good morning! For Firefighting Foam 2 - VAM Law - ELG - Meadow Law - Shield Legal, since it's paused, can leads be transferred to Firefighting Foam - ELG - ML - Shield Legal at all?

Malissa (malissa@shield-legal.com)
2025-05-19 10:48:19

I'll find out

Malissa (malissa@shield-legal.com)
2025-05-19 12:02:39

@deleted-U05496RCQ9M Yes, transfer to ELG Meadow

👀 deleted-U055HQT39PC
deleted-U05496RCQ9M
2025-05-19 12:05:06

Thank you!

deleted-U05496RCQ9M
2025-05-19 15:08:28

@Malissa hellooo, do you have any knowledge about the campaign that BCL is talking about? they have a houston cluster thing going on??

deleted-U05496RCQ9M
2025-05-19 15:09:13

this one

Desirée Austin-Holliday (https://tortintakepros.slack.com/team/U0679HSAMSB)
Malissa (malissa@shield-legal.com)
2025-05-19 15:09:57

what?

Malissa (malissa@shield-legal.com)
2025-05-19 15:10:00

no clue

Malissa (malissa@shield-legal.com)
2025-05-19 15:10:22

I'm guessing it's a new inbound call?

deleted-U05496RCQ9M
2025-05-19 17:58:53

@Malissa Hey, so it looks like in the updated list for San Diego, Phoenix House Academy is no longer there, is that no longer a qualified facility? also this is for SGGH, correct? cause we have 2 san diego campaigns.

Malissa (malissa@shield-legal.com)
2025-05-19 18:00:52

Yeah that’s SGGH - AWD. That’s the updated list so if it’s not on there, they don’t want it now.

Malissa (malissa@shield-legal.com)
2025-05-19 18:00:56

@deleted-U05496RCQ9M

Malissa (malissa@shield-legal.com)
2025-05-19 18:01:06

Not sure why

deleted-U05496RCQ9M
2025-05-19 18:01:08

gotcha, thank you

Malissa (malissa@shield-legal.com)
2025-05-19 18:01:21

No problem

deleted-U055HQT39PC
2025-05-20 12:55:10

Hey @Malissa Is AWKO saying anything bout our state SOLs? Alex Cuozo is telling Alexia that the firm is questioning why we are signing things up OSOL. Issue is Utah, the doc we got says Utah must file before 22, PNC just turned 21. Not sure what's happening here

Malissa (malissa@shield-legal.com)
2025-05-20 12:56:39

i haven't heard anything @deleted-U055HQT39PC. Is there something else that makes that PNC OSOL?

Malissa (malissa@shield-legal.com)
2025-05-20 12:56:48

or not in criteria?

Malissa (malissa@shield-legal.com)
2025-05-20 12:58:56

i'll bug alex

deleted-U055HQT39PC
2025-05-20 13:00:05

not sure, thanks Malissa

Malissa (malissa@shield-legal.com)
2025-05-20 13:00:37

Everything on our end is right. AS far as we know anyway. Alex has asked the firm for clarification

deleted-U055HQT39PC
2025-05-20 13:06:53

Ok cool. Not sure what is going on there but Lexi told me Alex was talking to her about it

deleted-U05496RCQ9M
2025-05-20 15:19:51

@Malissa Hi!! Quick question for the Bard criteria, it states the three brands and then says unsure is acceptable. Does that mean unsure like they have no idea what it is whether it's one of the three or any other port system that isn't the three and it's okay to accept or unsure JUST between the three brands is okay?

Malissa (malissa@shield-legal.com)
2025-05-20 15:25:15

If they don't know the brand but know details like it was surgically implanted under the skin and it wasn't a urinary catheter, that's fine. Basically if they aren't sure but all the other criteria is met

deleted-U05496RCQ9M
2025-05-20 15:25:47

so even if they have no idea what it is, it's fine and sign them as long as all criteria is met

Malissa (malissa@shield-legal.com)
2025-05-20 15:26:14

right. If they say "i don't know. it was put in my urethra" that's a decline

deleted-U05496RCQ9M
2025-05-20 15:26:24

okay

deleted-U05496RCQ9M
2025-05-20 15:26:28

thanks!

Malissa (malissa@shield-legal.com)
2025-05-20 15:26:30

but if they say "i'm not sure. it was surgically implanted in my chest" sign em

Malissa (malissa@shield-legal.com)
2025-05-20 15:26:34

no prob

deleted-U05496RCQ9M
2025-05-20 15:36:28

also for AFFF-PFAS do we care about the latency when it comes to diagnosis and first exposure?

Malissa (malissa@shield-legal.com)
2025-05-20 15:37:25

which campaing? DL/FLatirons?

deleted-U05496RCQ9M
2025-05-20 15:38:00

because in the original post for the campaign build it said it's the same criteria as the PFAS except that it needs to be a set list of bases. the criteria for the one we cloned disqualifies them if the PNC has a known exposure but was diagnosed LESS THAN MINIMUM LATENCY after the first exposure, but to my understanding, on the firm reviews, they've been accepting them regardless of the latency

deleted-U05496RCQ9M
2025-05-20 15:38:01

and yes

deleted-U05496RCQ9M
2025-05-20 15:38:54

so are we going to qualify based of off latency as well or does it not matter?

Malissa (malissa@shield-legal.com)
2025-05-20 15:39:21

just found this in the baypoint criteria:

Minimum Latency Periods: Between First Exposure to Diagnosis • Kidney Cancer: 15 years, but can be less for aggressive cancer types • Testicular Cancer: 15 years, but can be less for aggressive cancer types • Thyroid Disease: 2 years • Ulcerative Colitis: 2 years • Bladder Cancer: 4 years • Breast Cancer: MALE ONLY 15 years • Pancreatic Cancer: 10 years • Prostate Cancer: 15 years, but can be less for aggressive cancer types • Leukemia: 5 years • Multiple Myeloma: 5 years • Non-Hodgkin's Lymphoma: 10 years Thyroid Cancer: 5 years

Malissa (malissa@shield-legal.com)
2025-05-20 15:39:44

oh wait!

Malissa (malissa@shield-legal.com)
2025-05-20 15:39:53

for DL:

Minimum Latency Periods: Between First Exposure to Diagnosis • Kidney Cancer 15 years, but can be less for aggressive cancer types • Testicular Cancer 15 years, but can be less for aggressive cancer types • Ulcerative Colitis 2 years • Liver Cancer 12 years Thyroid Cancer 5 years

deleted-U05496RCQ9M
2025-05-20 15:40:03

yeah that's the one they gave us for dl

deleted-U05496RCQ9M
2025-05-20 15:40:53

and cam said it was the same criteria as PFAS and the only thing that changed was that it needs to be in one of the bases listed. he never said which pfas to clone so we cloned PFAS - Levinson (TC/MC) - ELG - Shield Legal because it's the most recent and it's open lol

deleted-U05496RCQ9M
2025-05-20 15:41:09

and on that one in the disqualify, it disqualifies them based off of if they were less than the latency

deleted-U05496RCQ9M
2025-05-20 15:41:19

but Lexi told me the firm has been taking them regardless of the latency

deleted-U05496RCQ9M
2025-05-20 15:41:27

so we're getting confused lol

Malissa (malissa@shield-legal.com)
2025-05-20 15:41:27

interesting

Malissa (malissa@shield-legal.com)
2025-05-20 15:41:53

wait... y'all i'm mentally exhausted. Yes, some of gone to firm review because of the latency

deleted-U05496RCQ9M
2025-05-20 15:42:09

it's okay me too

Malissa (malissa@shield-legal.com)
2025-05-20 15:42:39

lol I sent DL one to review that had a minimum latency period of 5 years and the PNC was 4 years and 3 months. They took it

Malissa (malissa@shield-legal.com)
2025-05-20 15:43:30

Worst case we have them review it. Obviously if a latency period is 10 years and they've got it in 2, that's probably something else going on

Malissa (malissa@shield-legal.com)
2025-05-20 15:43:41

but if it's like a year, yeah we can have the firm review it. they'll probably take it

deleted-U05496RCQ9M
2025-05-20 15:43:51

okay so let's just keep that they need to be greater than or equal to the latency lol

👍 Malissa
deleted-U05496RCQ9M
2025-05-20 15:44:00

if it's close enough, firm review?

Malissa (malissa@shield-legal.com)
2025-05-20 16:56:12

@deleted-U05496RCQ9M @deleted-U055HQT39PC Please add Boysville to the approved MI JDC facilities list per Jon Becker

Malissa (malissa@shield-legal.com)
2025-05-20 18:07:10

@here did you guys get a special retainer to use for AWKO OSOL? i'm just double checking.

Malissa (malissa@shield-legal.com)
2025-05-20 18:42:13

@deleted-U055HQT39PC @deleted-U05496RCQ9M @deleted-U062D2YJ15Y Ok, y'all. I'm going to remind people to follow process but if anyone sends you a message about a campaign setup, change, etc. please alert me right away. I'll remind everyone the process is that everything goes through the call center channel. If we deviate from that, things will break.

🫡 deleted-U055HQT39PC
Malissa (malissa@shield-legal.com)
2025-05-20 18:45:04

I have so many groups and channels but i might put something together tomorrow for key players and I'll remind them of the process and create a space for Sales Ops updates or something.

deleted-U05496RCQ9M
2025-05-20 18:45:40

you got it

Malissa (malissa@shield-legal.com)
2025-05-21 10:24:07

hi @deleted-U05496RCQ9M @deleted-U055HQT39PC @deleted-U062D2YJ15Y where are we with setup for DL/Flatirons Porterville?

deleted-U055HQT39PC
2025-05-21 10:26:30

@Malissa I think we’re just waiting on Brittany

deleted-U05496RCQ9M
2025-05-21 10:28:35

no wait

deleted-U05496RCQ9M
2025-05-21 10:28:43

i just started working on that

deleted-U05496RCQ9M
2025-05-21 10:29:03

we finished bard yesterday, waiting on the LR text automation and brittany

Malissa (malissa@shield-legal.com)
2025-05-21 10:29:13

completion eta?

deleted-U05496RCQ9M
2025-05-21 10:29:21

um

deleted-U055HQT39PC
2025-05-21 10:29:39

Sorry yes. I was thinking bard

deleted-U05496RCQ9M
2025-05-21 10:30:05

i don't know lol but it'll be done today

Malissa (malissa@shield-legal.com)
2025-05-21 10:31:01

ok. Cam's asking is all

deleted-U05496RCQ9M
2025-05-21 10:31:32

fingers crossed no agents bother me today so i can get them all done

Malissa (malissa@shield-legal.com)
2025-05-21 10:34:14

just make an angry face all day and people will leave you alone

Malissa (malissa@shield-legal.com)
2025-05-21 10:34:19

like look exasperated

deleted-U05496RCQ9M
2025-05-21 10:35:09

oh trust me they don't care, we literally have 3 signs at the corner saying "go see your supervisor" and it is always ignored

deleted-U05496RCQ9M
2025-05-21 10:35:16

😭

Malissa (malissa@shield-legal.com)
2025-05-21 10:35:54

awwwwww

deleted-U055HQT39PC
2025-05-21 13:56:27

@Malissa do we have a HIPAA for AFFF ELG or are we good to move forward as is?

Malissa (malissa@shield-legal.com)
2025-05-21 14:03:54

for Ye? Yeah we can use the standard ELG HIPAA for that one

deleted-U055HQT39PC
2025-05-21 14:06:05

@deleted-U062D2YJ15Y @deleted-U05496RCQ9M ^^^

deleted-U05496RCQ9M
2025-05-22 10:34:23

@Malissa good morning, for boysville in michigan, there's quite a few of them. are we targeting a specific one or just any of them in michigan?

Malissa (malissa@shield-legal.com)
2025-05-22 10:50:42

They said to add Boysville. How many locations are there? I’m willing to bet it’s all of them but can confirm.

deleted-U05496RCQ9M
2025-05-22 10:51:40

there's 4 of them

Malissa (malissa@shield-legal.com)
2025-05-22 10:51:56

Oh. I was expecting like 50 lol.

deleted-U05496RCQ9M
2025-05-22 10:52:04

oh no lol

deleted-U05496RCQ9M
2025-05-22 10:52:52

i'll just put any boysville in michigan

Malissa (malissa@shield-legal.com)
2025-05-22 10:53:01

I’d say yes all four.

deleted-U05496RCQ9M
2025-05-22 10:54:38

okay thank you

deleted-U05496RCQ9M
2025-05-22 12:14:55

@Malissa i'm so sorry, mark just let me know you're at the doctor's office, but for when you're back! So for our San Bernardino and SD cases, SGGH and the most recent build DL - Flats, we have the criteria saying that the abuse must have occurred in 2009 or later and they need to currently be 39 or younger to qualify. The math isn't exactly adding up. cause someone that's 39 currently would have been born in 1986, but in 2009 they would have been 23 years old. For me the math that would make sense would be they need to be 33 or younger currently to qualify

deleted-U05496RCQ9M
2025-05-22 12:21:00

or rather can we just get rid of the "2009 or later" SOL?

Malissa (malissa@shield-legal.com)
2025-05-22 12:53:59

@deleted-U05496RCQ9M i need food to process this lol. had to fast

deleted-U05496RCQ9M
2025-05-22 12:55:04

i'm so sorry

Malissa (malissa@shield-legal.com)
2025-05-22 12:56:32

the weird thing is, without food it makes sense

Malissa (malissa@shield-legal.com)
2025-05-22 13:32:15

ok @deleted-U05496RCQ9M Under CA Civ Pro Code § 340.1, childhood victims of sexual assault have until their 40th birthday, or within 5 years of the discovery of the abuse, to file a civil lawsuit. If the childhood abuse was covered up, victims may have the right to claim treble damages in their claim.

Malissa (malissa@shield-legal.com)
2025-05-22 13:32:31

so that's why the math is weird

deleted-U05496RCQ9M
2025-05-22 13:33:41

yeah it's confusing the hell out of everyone because we don't know where 2009 came from. From what we understood, the 2009 or later thing was a chowchilla sol that came from acts

deleted-U05496RCQ9M
2025-05-22 13:33:55

39 or younger makes sense, but 2009 or later for abuse occurring doesn't

Malissa (malissa@shield-legal.com)
2025-05-22 13:34:01

uuuugggggh ACTS is dirty word right now

Malissa (malissa@shield-legal.com)
2025-05-22 13:37:56

have we encountered any 39 yros claiming abuse as a minor in 2009?

Malissa (malissa@shield-legal.com)
2025-05-22 13:38:04

cause then i'd question their math lol

deleted-U05496RCQ9M
2025-05-22 13:41:07

yeah lol so far the whole 2009 or later for abuse and currently 39 or younger is tripping people up lol

deleted-U05496RCQ9M
2025-05-22 13:41:16

ngl same

Malissa (malissa@shield-legal.com)
2025-05-22 13:44:18

I have cookies at my desk @here

🙌 deleted-U055HQT39PC
deleted-U05496RCQ9M
2025-05-22 13:47:32

lol thank you

Malissa (malissa@shield-legal.com)
2025-05-22 16:26:46

hi @here where are we on all the setups i sent yesterday?

Malissa (malissa@shield-legal.com)
2025-05-22 16:27:53

like the 5 million campaigns i posted lol

deleted-U062D2YJ15Y
2025-05-22 16:34:22

this is fine

deleted-U05496RCQ9M
2025-05-22 16:44:03

porterville is done, waiting on brittany san bernardino needs retainer and clarification on the sol san diego needs retainer and clarification on the sol afff pfas needs retainer firefighting foam elg setup is done waiting on lr text automation and mark sextortion awd is being worked on alameda is also being worked on kanakuk is being worked on Santa clara is pending Sextortion W&S is pending

deleted-U05496RCQ9M
2025-05-22 16:44:11

i think i listed everything correctly

deleted-U05496RCQ9M
2025-05-22 16:44:12

lol

Malissa (malissa@shield-legal.com)
2025-05-22 16:47:25

thanks @deleted-U05496RCQ9M!

deleted-U05496RCQ9M
2025-05-22 16:47:37

welcome!

Malissa (malissa@shield-legal.com)
2025-05-22 17:00:34

ok @here update on AFFF PFAS - It's Meadow Douglas London

Malissa (malissa@shield-legal.com)
2025-05-22 17:00:37

not BG.

deleted-U055HQT39PC
2025-05-22 17:01:02

lol

deleted-U055HQT39PC
2025-05-22 17:01:08

ok we can update the name.

Malissa (malissa@shield-legal.com)
2025-05-22 17:05:42

i just posted the retainer and hipaa and all that too

Malissa (malissa@shield-legal.com)
2025-05-22 17:35:49

@deleted-U05496RCQ9M @deleted-U055HQT39PC eta on Santa Clara, Kanakuk and Alameda?

deleted-U05496RCQ9M
2025-05-22 17:36:18

more than likely eod of tomorrow

Malissa (malissa@shield-legal.com)
2025-05-22 17:36:49

anything keeping it from being sooner? just asking before cam asks why lol

deleted-U05496RCQ9M
2025-05-22 17:37:38

we also need retainers for them

Malissa (malissa@shield-legal.com)
2025-05-22 17:38:26

oh yeah... that would be good

deleted-U05496RCQ9M
2025-05-22 17:38:40

i'll work on them first thing tomorrow, i'll try and have it done by midday

👍 Malissa
deleted-U05496RCQ9M
2025-05-22 17:38:53

also depending on mark and everyone else as well

deleted-U05496RCQ9M
2025-05-23 10:26:57

g'day @Malissa

deleted-U05496RCQ9M
2025-05-23 10:27:50

question, for MI Juvenile hall SGGH, can we take facilities that aren't listed or whatever is on the list is the set list?

deleted-U05496RCQ9M
2025-05-23 10:29:43

for the life of me i can't remember if i've asked this before

deleted-U055HQT39PC
2025-05-23 10:31:01

@deleted-U05496RCQ9M I remember Becker saying something about a list they were given

deleted-U055HQT39PC
2025-05-23 10:32:14

He was saying they were targeting different facilities than DL. I think they’re just going with that list

deleted-U05496RCQ9M
2025-05-23 10:32:22

okay, so nothing outside of that list

deleted-U05496RCQ9M
2025-05-23 10:32:28

got it

deleted-U05496RCQ9M
2025-05-23 10:32:32

thank

deleted-U055HQT39PC
2025-05-23 10:33:19

Firm review at best.

deleted-U05496RCQ9M
2025-05-23 10:33:29

ooh i like that better

deleted-U05496RCQ9M
2025-05-23 10:33:30

imma do that

Malissa (malissa@shield-legal.com)
2025-05-23 10:33:32

what's happening with PD is if it's not on the list but a valid case, I'm emailing the firms to approve or deny

deleted-U05496RCQ9M
2025-05-23 10:33:41

okay firm review it is

Malissa (malissa@shield-legal.com)
2025-05-23 10:33:52

They're pretty quick to respond. As they approve them, we can update the list

deleted-U05496RCQ9M
2025-05-23 10:34:20

okay! thank youuuu

Malissa (malissa@shield-legal.com)
2025-05-23 10:34:20

it sounds like they have a list of ones NOT to use and are updating as we go lol

deleted-U05496RCQ9M
2025-05-23 10:34:28

gotcha

Malissa (malissa@shield-legal.com)
2025-05-23 11:06:06

@here important question! Have i sent MI Clergy to the call center channel yet?

deleted-U055HQT39PC
2025-05-23 11:06:28

Nope

Malissa (malissa@shield-legal.com)
2025-05-23 11:06:33

ok cool. just checking lol

deleted-U05496RCQ9M
2025-05-23 12:53:59

hiii @Malissa can we have some help on the sol regarding Video Gaming Sextortion for Anapol - AWD?

deleted-U05496RCQ9M
2025-05-23 12:54:32

it states, "For cases where the person is 18 years of age or older OR where person resides in Florida, marketer will immediately send these cases to firm with notation of potential SOL issue."

deleted-U05496RCQ9M
2025-05-23 12:55:31

we asked about this a few days ago and this was cam's response, "We are taking Florida cases, but Florida does not have minor tolling, so we want to know if a case is from Florida so we can look at the SOL as quickly as possible. For the rest of states, if client is 17 or younger at time of signing, minor tolling will likely apply so there is not an SOL concern." we kind of just need help understanding it and if we're sending it for firm review

deleted-U05496RCQ9M
2025-05-23 12:56:03

does this mean that if the pnc is currently 18 or older or resides in florida, we have to send it for firm review?

Malissa (malissa@shield-legal.com)
2025-05-23 13:11:55

@deleted-U05496RCQ9M I’ve been a little out of the loop on this one. Not too bad but I gotta piece a lot together. I’m at the doctor right now and will be back in a bit

deleted-U05496RCQ9M
2025-05-23 13:12:42

okay!

Malissa (malissa@shield-legal.com)
2025-05-23 13:43:11

OOOOOH ok basically if they're 18 or older or in florida, they need to be reviewed by the firm

Malissa (malissa@shield-legal.com)
2025-05-23 13:43:15

so yes,

Malissa (malissa@shield-legal.com)
2025-05-23 13:43:18

firm review

Malissa (malissa@shield-legal.com)
2025-05-23 13:43:40

makes way more sense on a computer screen lol

deleted-U05496RCQ9M
2025-05-23 13:47:23

so if they're signing for themselves cause they're an adult now or if they reside in florida, it needs to be firm review?

Malissa (malissa@shield-legal.com)
2025-05-23 13:48:08

si

deleted-U05496RCQ9M
2025-05-23 15:48:18

hello again! @Malissa can i please change the date formatting for the AFFF PFAS Douglas Meadow retainer to reflect MM/DD/YYYY and also make the name field longer so the name of the client fits properly?

Malissa (malissa@shield-legal.com)
2025-05-23 16:02:00

yes. it's the same retainer as the AFFF Douglas London/Meadow so whatever you had to do with that one is fine to do with this one

deleted-U05496RCQ9M
2025-05-23 16:02:31

thank you ma'am

👍 Malissa
deleted-U05496RCQ9M
2025-05-23 17:43:38

@Malissa hallo i updated the pending new campaigns sheet for what we need for each campaign!

👍 Malissa
Malissa (malissa@shield-legal.com)
2025-05-23 18:02:33

Awesome! I bugged cam again for retainers

deleted-U05496RCQ9M
2025-05-23 18:02:42

thank youuu

deleted-U05496RCQ9M
2025-05-23 18:02:53

i'm so happy these are almost done, i was so stressed

❤️ Malissa
Malissa (malissa@shield-legal.com)
2025-05-23 18:35:36

@here emailed a present. Christian, I don’t have your email on my phone so make sure they share!

Malissa (malissa@shield-legal.com)
2025-05-27 11:21:59

@deleted-U055HQT39PC @deleted-U05496RCQ9M @deleted-U062D2YJ15Y I posted these to the call center channel but here they are. Use the regular/standard DL/Flatirons HIPAA we use with other SA cases of theirs

👍:skin_tone_3: deleted-U05496RCQ9M
👍 deleted-U062D2YJ15Y
✅ deleted-U055HQT39PC
Malissa (malissa@shield-legal.com)
2025-05-27 11:22:20

i have no updates on the AWD Video Gaming sextortion stuff yet

✅ deleted-U055HQT39PC
deleted-U05496RCQ9M
2025-05-27 11:34:22

San Bernardino done and opened

👍 Malissa
deleted-U05496RCQ9M
2025-05-27 11:34:40

i'm gonna update as i go

deleted-U05496RCQ9M
2025-05-27 11:34:48

uploading alameda retainer now

Malissa (malissa@shield-legal.com)
2025-05-27 11:34:54

awesome!

Malissa (malissa@shield-legal.com)
2025-05-27 11:34:59

thanks @deleted-U05496RCQ9M

deleted-U05496RCQ9M
2025-05-27 11:35:18

i got you

❤️ Malissa
deleted-U05496RCQ9M
2025-05-27 12:00:51

Alameda is done and opened

👍 Malissa
deleted-U05496RCQ9M
2025-05-27 12:17:06

Santa Clara County Juv Hall - DL - Flatirons - Shield Legal is done and opened

👍 Malissa
deleted-U05496RCQ9M
2025-05-27 12:42:20

Kanakuk Kamps is done

👍 Malissa
deleted-U05496RCQ9M
2025-05-27 12:55:23

San Diego Juv Hall YRTC - DL is done and opened

👍 Malissa
deleted-U05496RCQ9M
2025-05-28 10:10:24

good morning @Malissa! I updated the pending campaigns spreadsheet, the only thing we really need/waiting on are small things plus the Retainer & Hipaa for Sextortion campaign from AWD and Anapol

Malissa (malissa@shield-legal.com)
2025-05-28 10:15:41

i've asked Cam for that @deleted-U05496RCQ9M and he doesn't have it yet

deleted-U05496RCQ9M
2025-05-28 10:16:00

thank you! that's really the only one we're waiting to finish

👍 Malissa
deleted-U05496RCQ9M
2025-05-28 12:27:45

@Malissa for the retainers for SGGH Meadow, where in the retainer do they want those lines?

Malissa (malissa@shield-legal.com)
2025-05-28 12:28:47

Let’s look at some other retainers and see where they have them. Like maybe one of the San Bernardino ones with AWD

deleted-U05496RCQ9M
2025-05-28 12:30:10

on the michigan retainers they don't really have a spot for them so i'm confused

deleted-U05496RCQ9M
2025-05-28 12:30:22

this is the one for san diego

deleted-U05496RCQ9M
2025-05-28 12:30:26
deleted-U05496RCQ9M
2025-05-28 12:30:32

they don't have it in the Michigan ones

deleted-U05496RCQ9M
2025-05-28 12:30:44
Malissa (malissa@shield-legal.com)
2025-05-28 12:37:15

@deleted-U05496RCQ9M I’ll check it out. Just need a bit. :)

deleted-U05496RCQ9M
2025-05-28 12:38:06

oh here

deleted-U05496RCQ9M
2025-05-28 12:38:09

is this okay?

deleted-U05496RCQ9M
2025-05-28 12:38:18

we just don't have a signature for meadow

deleted-U05496RCQ9M
2025-05-28 12:39:17
Malissa (malissa@shield-legal.com)
2025-05-28 12:40:09

I think that looks fine. Let me send it to Kasia and see if we can get one for meadow

deleted-U05496RCQ9M
2025-05-28 12:40:13

i think i did pretty good

deleted-U05496RCQ9M
2025-05-28 12:40:30

hair flip

Malissa (malissa@shield-legal.com)
2025-05-28 12:40:47

Yeah!

deleted-U05496RCQ9M
2025-05-28 12:41:09

i hope it's okay with them lol

Malissa (malissa@shield-legal.com)
2025-05-28 13:11:24

@deleted-U05496RCQ9M SGGH loves it. Working on meadow

deleted-U05496RCQ9M
2025-05-28 13:12:43

nice!

deleted-U062D2YJ15Y
2025-05-28 16:28:04

@Malissa Tony told me you have a list of categories for the cases can you share that with me so I can make sure its up to date. He told me David shared one with you?

Malissa (malissa@shield-legal.com)
2025-05-28 16:30:52

i do! uno momento

Malissa (malissa@shield-legal.com)
2025-05-28 16:33:50

@deleted-U062D2YJ15Y

deleted-U062D2YJ15Y
2025-05-28 17:04:01

@Malissa Heres an updated version

Malissa (malissa@shield-legal.com)
2025-05-28 17:04:32

YAY! And it's a real one too! Not a screenshot of a screenshot of a screenshot. Thank you @deleted-U062D2YJ15Y!

deleted-U062D2YJ15Y
2025-05-28 17:04:47

of course!

deleted-U062D2YJ15Y
2025-05-28 17:04:53

No screenshots i hate screenshots

Malissa (malissa@shield-legal.com)
2025-05-28 17:05:29

lol i love how people share super pixelated ones like they're new.

Malissa (malissa@shield-legal.com)
2025-05-28 19:52:28

@deleted-U055HQT39PC @deleted-U05496RCQ9M just fyi for that west Virginia campaign. They want us to get all of the other information that is normal but this is all they need for criteria.

Malissa (malissa@shield-legal.com)
2025-05-29 10:49:50

fyi @here that BG campaign is hot. Andy wants to get it started as soon as we can

deleted-U05496RCQ9M
2025-05-29 10:50:27

I started working on it as soon as i got here, i'll have it done as fast as i can.

Malissa (malissa@shield-legal.com)
2025-05-29 10:50:48

all good. Thank you!

Malissa (malissa@shield-legal.com)
2025-05-29 11:44:53

@deleted-U05496RCQ9M here's the signature for Rick Meadow

deleted-U05496RCQ9M
2025-05-29 12:03:26

so it looks like there's 2 other attorneys included in the retainer for West Virginia Hernia Repair. Do they need to be included in the naming convention? @Malissa

Malissa (malissa@shield-legal.com)
2025-05-29 12:04:03

@deleted-U05496RCQ9M I just put that update in the call center channel :). Let me paste here

Malissa (malissa@shield-legal.com)
2025-05-29 12:04:50

“second, we need to add Calwell Luce di Trapano PLLC and Salango Law PLLC, to the firms as co-counsel.”

Of course the names are long lol

deleted-U05496RCQ9M
2025-05-29 12:05:02

i apologize, i'm not in that chat lol

Malissa (malissa@shield-legal.com)
2025-05-29 12:05:14

No worries.

deleted-U05496RCQ9M
2025-05-29 12:35:20

here's the signatures

👍 Malissa
deleted-U05496RCQ9M
2025-05-29 12:35:43
deleted-U055HQT39PC
2025-05-29 13:55:55

@Malissa Cam is saying the Alameda criteria is incorrect? There is no inmate on inmate abuse

deleted-U05496RCQ9M
2025-05-29 13:56:33

We were directed to copy the san bernardino criteria and in that criteria it allowed inmate on inmate abuse also

Malissa (malissa@shield-legal.com)
2025-05-29 13:57:51

yeah this is what he gave me

Malissa (malissa@shield-legal.com)
2025-05-29 13:58:18

Alameda County Juv Clone criteria/intake from San Bernardino but use Alameda facilites: CAMP WILMONT SWEENEY, Juvenile Justice Center, Alameda Juvenile Detention Currently 39 or younger (no OSOL cases accepted)

deleted-U055HQT39PC
2025-05-29 13:59:26

lol perrrrrfect well we updated the criteria to not include inmate on inmate, maybe he just forgot that SB had that included

Malissa (malissa@shield-legal.com)
2025-05-29 13:59:41

yeah... let's make sure it shouldn't be in SB tho.

Malissa (malissa@shield-legal.com)
2025-05-29 13:59:52

like paranoia and all that

deleted-U055HQT39PC
2025-05-29 14:00:48

that part came from Cam haha

Malissa (malissa@shield-legal.com)
2025-05-29 14:04:27

*Thread Reply:* my paranoia? lol

deleted-U05496RCQ9M
2025-05-29 14:01:12

The original San bernardino we cloned from is the SGGH criteria and they allowed inmate on inmate abuse

Malissa (malissa@shield-legal.com)
2025-05-29 14:04:13

awesome

deleted-U05496RCQ9M
2025-05-29 16:58:13

@Malissa for MI YRTC can we take facilities that aren't in the list or should we send for firm?

Malissa (malissa@shield-legal.com)
2025-05-29 16:59:46

We've been sending to the firm for review. But if you have a list of known facilities that aren't in the criteria, i could go ahead and share it and see if they want us to add them

deleted-U05496RCQ9M
2025-05-29 17:00:21

thank you, i don't quite have a set list, the agents just kind of ask as we go

Malissa (malissa@shield-legal.com)
2025-05-29 17:00:31

cool.

deleted-U055HQT39PC
2025-05-30 16:42:05

@Malissa are we ok with those SGGH and Meadow signatures for the updated retainer?

Malissa (malissa@shield-legal.com)
2025-05-30 16:42:25

si

Malissa (malissa@shield-legal.com)
2025-05-30 16:42:40

SGGH liked the placement of it

deleted-U05496RCQ9M
2025-05-30 16:43:08

meadow good too?

Malissa (malissa@shield-legal.com)
2025-05-30 16:44:09

Yeah Meadow sent over the signature

Malissa (malissa@shield-legal.com)
2025-05-30 16:44:15

that we're using

deleted-U05496RCQ9M
2025-05-30 16:44:21

yeah, i got it on there!

Malissa (malissa@shield-legal.com)
2025-05-30 16:44:42

let's rock and roll with it. Mark has the letter set up too i believe

deleted-U05496RCQ9M
2025-05-30 16:44:50

excellent

deleted-U05496RCQ9M
2025-05-30 16:44:56

i'll load them

deleted-U05496RCQ9M
2025-05-30 16:44:59

many thanks

👏 Malissa
Malissa (malissa@shield-legal.com)
2025-06-02 09:32:11

hi @here just a heads up, i'm WFH today. so if you come looking for me, you'll have to hop in a car lol.

Which campaign did we use to clone the criteria and intake for Wright & Schulte sextortion? i can't remember. Bieber right?

deleted-U05496RCQ9M
2025-06-02 09:58:22

@Malissa yes it was the joel bieber one!

Malissa (malissa@shield-legal.com)
2025-06-02 10:12:28

Ok got it

Malissa (malissa@shield-legal.com)
2025-06-02 10:12:31

Thanks!

deleted-U05496RCQ9M
2025-06-02 10:12:43

welcomee

Malissa (malissa@shield-legal.com)
2025-06-03 10:24:55

@here i brought in some homemade cookies. Sea Salt Chocolate Chip.

deleted-U05496RCQ9M
2025-06-03 10:25:11

Oooh thank you!

Malissa (malissa@shield-legal.com)
2025-06-03 15:51:18

hi @here What's up with Kanakuk Kamps

deleted-U05496RCQ9M
2025-06-03 15:51:29

That's open

Malissa (malissa@shield-legal.com)
2025-06-03 15:51:30

is everything live for it?

Malissa (malissa@shield-legal.com)
2025-06-03 15:51:37

ok so it's just slow

Malissa (malissa@shield-legal.com)
2025-06-03 15:51:39

thanks!

deleted-U05496RCQ9M
2025-06-03 15:52:05

i don't see the status of it having leadspedia open so i am not too sure

Malissa (malissa@shield-legal.com)
2025-06-03 15:53:03

it is

Malissa (malissa@shield-legal.com)
2025-06-03 15:53:10

it's just super slow then

deleted-U05496RCQ9M
2025-06-04 09:22:27

Good morning @Malissa! I updated the Pending Campaigns Spreadsheet for your reference!

Malissa (malissa@shield-legal.com)
2025-06-04 10:21:21

thank you @deleted-U05496RCQ9M! Ireached out to wright and schulte again

deleted-U05496RCQ9M
2025-06-04 10:23:20

no problemoo

deleted-U055HQT39PC
2025-06-04 12:48:29

Hey @Malissa Good morning. I've received some feedback regarding the Chowchilla DL Flatirons retainer PNC refused to sign because the contract only mentions Juvenile facilities

deleted-U055HQT39PC
2025-06-04 12:48:49

Not sure if DL will do anything about it but I thought I'd pass that feedback along

Malissa (malissa@shield-legal.com)
2025-06-04 12:50:13

???????????????????????????????????????????????????????????????????????????

Malissa (malissa@shield-legal.com)
2025-06-04 12:50:39

Chowchilla isn't a juv facility... are we using the right retainer?

Malissa (malissa@shield-legal.com)
2025-06-04 12:57:37

@deleted-U055HQT39PC

Malissa (malissa@shield-legal.com)
2025-06-04 12:57:41

slightly worried lol

deleted-U05496RCQ9M
2025-06-04 15:10:42

the mormon retainers for W&S that's for both IN SOL and OSOL, yeah?

Malissa (malissa@shield-legal.com)
2025-06-04 15:11:36

That’s how it reads I think?

Malissa (malissa@shield-legal.com)
2025-06-04 15:11:54

I think it’s section 14 or something on the last page

deleted-U05496RCQ9M
2025-06-04 15:12:35

okay, i just wanted to make sure, i didn't want the AWKO mishap to happen again lol

Malissa (malissa@shield-legal.com)
2025-06-04 15:25:51

lol

Malissa (malissa@shield-legal.com)
2025-06-04 15:25:55

i asked the firm just to be sure

🙌:skin_tone_3: deleted-U05496RCQ9M
Malissa (malissa@shield-legal.com)
2025-06-04 16:42:50

@deleted-U05496RCQ9M yes it's good for SOL and OSOL

👍:skin_tone_3: deleted-U05496RCQ9M
deleted-U062D2YJ15Y
2025-06-04 17:39:37

@Malissa Hey, IL BG Walsh are we allowed to switch to BG bay point

Malissa (malissa@shield-legal.com)
2025-06-04 17:40:00

like... have we signed them or is it just switching leads?

Malissa (malissa@shield-legal.com)
2025-06-04 17:40:08

moving leads rather

deleted-U062D2YJ15Y
2025-06-04 17:40:23

Just switching the lead Tony is asking me to ask

deleted-U062D2YJ15Y
2025-06-04 17:40:45

switching from one to the other for this one case

Malissa (malissa@shield-legal.com)
2025-06-04 17:41:08

ok i found what Cam said back in february: Pull retainer for BG/Walsh - IL Juv Hall, move open leads to open BG campaign

Malissa (malissa@shield-legal.com)
2025-06-04 17:41:16

so if it's an open BG campaign...

deleted-U062D2YJ15Y
2025-06-04 17:41:22

Awesome thank you

Malissa (malissa@shield-legal.com)
2025-06-04 17:41:28

no prob!

Malissa (malissa@shield-legal.com)
2025-06-05 11:09:29

@here good morning all! I noticed that the live notification for West VA Hernia repair didn't come through until yesterday. What was the hold up with that one? Reporting and automations?

deleted-U05496RCQ9M
2025-06-05 11:09:46

let me check!

deleted-U05496RCQ9M
2025-06-05 11:10:03

i didn't get to update the checklist yesterday, but that campaign should be open

deleted-U05496RCQ9M
2025-06-05 11:10:14

Yeah, it's open!

deleted-U05496RCQ9M
2025-06-05 11:11:02

I'm also gonna make a new checklist, this one looks a little janky lol

Malissa (malissa@shield-legal.com)
2025-06-05 11:11:43

yeah i'm just trying to figure out why it didn't open sooner since the slack notification was yesterday.

Malissa (malissa@shield-legal.com)
2025-06-05 11:11:50

lol yeah it's been a busy list

deleted-U05496RCQ9M
2025-06-05 11:12:00

yeah that is weird

Malissa (malissa@shield-legal.com)
2025-06-05 13:00:22

@deleted-U05496RCQ9M and @deleted-U055HQT39PC did i not post these retainers yesterday?

Mormon Victim Abuse - WS - WS - Shield Legal Mormon Victim Abuse OSOL - WS - WS - Shield Legal

Just in case:

deleted-U05496RCQ9M
2025-06-05 13:00:52

Yes! i got them! sorry i haven’t updated that sheet

Malissa (malissa@shield-legal.com)
2025-06-05 13:01:00

ok no worries

deleted-U05496RCQ9M
2025-06-05 13:01:07

we’re good with that one

👍 Malissa
deleted-U05496RCQ9M
2025-06-05 14:41:58

Hey @Malissa here's that new PM tracker for the new campaigns we have if you wanna look at it Campaign Stats

deleted-U05496RCQ9M
2025-06-05 14:43:18

There's separate tabs for each, in process, opened, and on hold!

deleted-U05496RCQ9M
2025-06-05 17:01:43

hi @Malissa! for Gaming Addiction 2 - AWKO - Bradley Grombacher - Shield Legal, we have the age range around 9-28 but in the email it only says not currently older than 28. do we wanna keep 9-28 or are we just going to take 28 and under?

deleted-U05496RCQ9M
2025-06-05 17:03:05

tbh i don't remember where the 9 years old came from

Malissa (malissa@shield-legal.com)
2025-06-05 17:03:05

I'd do 28 and under. gotta get those 4 year olds addicted to fisher price

Malissa (malissa@shield-legal.com)
2025-06-05 17:03:14

just kidding on the 4 year old part

deleted-U05496RCQ9M
2025-06-05 17:03:16

stop i snorted lol

😂 Malissa
Malissa (malissa@shield-legal.com)
2025-06-05 17:03:59

Not currently older than 28 if we want to copy it exactly

Malissa (malissa@shield-legal.com)
2025-06-05 17:04:25

which eliminates like all people who were addicted to original NES

deleted-U05496RCQ9M
2025-06-05 17:05:18

so... just a question

deleted-U05496RCQ9M
2025-06-05 17:05:24

i am currently 28

deleted-U05496RCQ9M
2025-06-05 17:05:30

i have de quervains

deleted-U05496RCQ9M
2025-06-05 17:05:38

and i do have surgery for it next week

deleted-U05496RCQ9M
2025-06-05 17:05:44

i've played 2/3 games listed

deleted-U05496RCQ9M
2025-06-05 17:05:48

can i still qualify lol

Malissa (malissa@shield-legal.com)
2025-06-05 17:18:53

• Sought medical care or counseling for the adverse effects of Video Game Addiction OR • Has Possession of records reflecting education disruption/harm (dropout/IEP/504) ^ i think that's gonna come into play.

Malissa (malissa@shield-legal.com)
2025-06-05 17:19:21

i look at it and i'm like "well i'm too old" 😂

deleted-U05496RCQ9M
2025-06-05 17:19:30

AHH SHOOT

deleted-U05496RCQ9M
2025-06-05 17:19:38

oh wait

deleted-U05496RCQ9M
2025-06-05 17:19:49

isn't adverse effects the symptoms though?

Malissa (malissa@shield-legal.com)
2025-06-05 17:20:02

might need a firm review. lol

deleted-U05496RCQ9M
2025-06-05 17:20:09

like i did go to the doctor and now i gotta get surgery

deleted-U05496RCQ9M
2025-06-05 17:20:17

medical care BOOM

Malissa (malissa@shield-legal.com)
2025-06-05 17:20:20

i don't know what our rules are on employees joining a tort unfortunately

Malissa (malissa@shield-legal.com)
2025-06-05 17:20:43

that's above my paygrade lol

deleted-U05496RCQ9M
2025-06-05 17:20:57

to my understanding we've had a few employees join, especially for intuit and other cases so i think it counts?

deleted-U05496RCQ9M
2025-06-05 17:21:30

oh and i do have a criteria question

deleted-U05496RCQ9M
2025-06-05 17:22:02

this part

deleted-U05496RCQ9M
2025-06-05 17:22:08

does that mean we can take any games?

deleted-U05496RCQ9M
2025-06-05 17:22:24

cause they also sent us a table of all the games you can find in the microsoft database

deleted-U05496RCQ9M
2025-06-05 17:22:34

microsoft/xbox database

Malissa (malissa@shield-legal.com)
2025-06-05 17:23:05

yeah they're saying they want the people to play any of the games AND any or all of the microsoft/xbox games

Malissa (malissa@shield-legal.com)
2025-06-05 17:23:14

so like.... skyrim + halo

deleted-U05496RCQ9M
2025-06-05 17:27:15

so they’re not limited to just Fortnite, Minecraft, and Roblox, they can also play any of the microsoft/xbox games or do they need to play any of those 3 AND any of the microsoft/xbox games?

Malissa (malissa@shield-legal.com)
2025-06-05 17:28:02

let me double check my emails. that one was forwarded to me but i might have more

deleted-U05496RCQ9M
2025-06-05 17:28:11

okay!

Malissa (malissa@shield-legal.com)
2025-06-05 17:31:33

i think it's the formatting that's making it weird

deleted-U05496RCQ9M
2025-06-05 17:31:47

yeah i'm really confused lol

deleted-U05496RCQ9M
2025-06-05 17:31:56

also have a headache so i'm not thinking properly

Malissa (malissa@shield-legal.com)
2025-06-05 17:32:16

same. we aren't starting this yet so we can revisit with fresh eyes.

deleted-U05496RCQ9M
2025-06-05 17:32:33

Okay good i'll stop looking at it for today hahaha

👍 Malissa
deleted-U05496RCQ9M
2025-06-05 17:33:09

and just to make sure this is just revised criteria for Gaming Addiction 2 - AWKO - Grombacher right?

Malissa (malissa@shield-legal.com)
2025-06-05 17:33:52

so.... i think one thing we've got to decide is if we are just going to revise the criteria or start a #3

deleted-U05496RCQ9M
2025-06-05 17:34:01

oh interesting

deleted-U05496RCQ9M
2025-06-05 17:34:03

oki

Malissa (malissa@shield-legal.com)
2025-06-05 17:34:32

yeah it's just such a big addition. like... skyrim? how can anyone be addicted to Skyrim... or Fallout...or Halo... 😅

deleted-U05496RCQ9M
2025-06-05 17:34:35

imma ask tony if i can join lol

deleted-U05496RCQ9M
2025-06-05 17:34:54

okay ngl... when skyrim first came out i was big addicted HAHAHA

deleted-U05496RCQ9M
2025-06-05 17:34:59

10/10 would play it again

Malissa (malissa@shield-legal.com)
2025-06-05 17:35:22

yeah i'm starting skyrim again soon.

deleted-U05496RCQ9M
2025-06-05 17:35:34

omg yes

Malissa (malissa@shield-legal.com)
2025-06-05 17:46:20

@here before i forget! Next week, i'll be on PTO from the 11th to the 16th. I'll kinda be available on the 11th and 16th but the other days i'll be out of pocket.

Malissa (malissa@shield-legal.com)
2025-06-05 17:46:27

Greg will be the backup

deleted-U05496RCQ9M
2025-06-05 17:48:36

that's okay i won't be here 12-13 for surgery lol

deleted-U05496RCQ9M
2025-06-05 17:48:42

good luck everybody else

Malissa (malissa@shield-legal.com)
2025-06-05 17:49:13

i think Dustin is off those days too

Malissa (malissa@shield-legal.com)
2025-06-09 11:18:22

good news @here!

deleted-U05496RCQ9M
2025-06-09 11:18:33

i like good news

Malissa (malissa@shield-legal.com)
2025-06-09 11:18:34

We are starting to get SOME movement on AWD Sextortion

deleted-U05496RCQ9M
2025-06-09 11:18:42

excellent

Malissa (malissa@shield-legal.com)
2025-06-09 11:19:09

There are going to be 2 campaigns - one with Anapol Weiss and one with Cooper Masterman PLLC

deleted-U055HQT39PC
2025-06-09 11:20:27

the second one i have is for 3rd party leads?

deleted-U055HQT39PC
2025-06-09 11:20:38

not shield. is this separate?

Malissa (malissa@shield-legal.com)
2025-06-09 11:21:03

yeah don't do anything with that one yet. i'm still working on getting details and retainers and all that. 🙂

Malissa (malissa@shield-legal.com)
2025-06-09 11:21:13

but there's movement! 🙂

Malissa (malissa@shield-legal.com)
2025-06-09 14:52:26

@deleted-U055HQT39PC @deleted-U05496RCQ9M @deleted-U062D2YJ15Y Do you guys have a copy of the criteria for the AWD Sextortion campaign?

deleted-U05496RCQ9M
2025-06-09 14:53:42

wait

deleted-U05496RCQ9M
2025-06-09 14:53:45

let me fix that lol

Malissa (malissa@shield-legal.com)
2025-06-09 14:56:04

cool. Thank you @deleted-U05496RCQ9M. i wanted to see if we had Roblox called out a lot in it lol

deleted-U05496RCQ9M
2025-06-09 15:26:38

Hey @Malissa did we ever get any clarification on the Florida statute they wanted to put in place? I'm still a little confused about it. Are they saying that if the PNC is currently 18 or older signing for themselves or currently living in florida, we need to send it for firm?

deleted-U05496RCQ9M
2025-06-09 15:27:59
Malissa (malissa@shield-legal.com)
2025-06-09 15:28:15
Malissa (malissa@shield-legal.com)
2025-06-09 15:28:33

yeah they want to know about it right away so we'll do as a firm reviw

Malissa (malissa@shield-legal.com)
2025-06-09 15:28:34

review

deleted-U05496RCQ9M
2025-06-09 15:29:19

thank you

deleted-U05496RCQ9M
2025-06-11 11:16:51

Good morning! I noticed that for the AFFF PFAS Military Base Exposure - Meadow Law - Douglas London - Shield Legal Criteria, we weren't given a death sol or anything like that, does the pnc need to be alive or does it follow standard state death sol? @Malissa

Malissa (malissa@shield-legal.com)
2025-06-11 11:17:34

How do we have it in the meadow afff?

deleted-U05496RCQ9M
2025-06-11 11:18:22

for all our firefighting foam campaigns we always use standard sol for death per state

Malissa (malissa@shield-legal.com)
2025-06-11 11:18:43

Meadow uses our standard so should be the same. Greg could confirm tho

Malissa (malissa@shield-legal.com)
2025-06-11 11:19:11

I am making my house clean so my dog sitter doesn’t judge me 😅

deleted-U05496RCQ9M
2025-06-11 11:19:19

so use standard state sol for deceased PNC's?

deleted-U05496RCQ9M
2025-06-11 11:19:21

OH SHOOT

deleted-U05496RCQ9M
2025-06-11 11:19:29

I FORGOT YOU'LL BE GONE TODAY I'M SO SORRY

deleted-U05496RCQ9M
2025-06-11 11:19:38

i'll ask greg

deleted-U05496RCQ9M
2025-06-11 11:19:41

don't mind me

Malissa (malissa@shield-legal.com)
2025-06-11 11:19:57

lol I’d use standard but yeah bug Greg to be 100%

Malissa (malissa@shield-legal.com)
2025-06-11 11:20:03

No worries

Malissa (malissa@shield-legal.com)
2025-06-11 11:20:34

I still respond lol

deleted-U05496RCQ9M
2025-06-17 10:30:16

Slim Shady

Malissa (malissa@shield-legal.com)
2025-06-17 10:30:36

*Thread Reply:*

deleted-U05496RCQ9M
2025-06-17 10:30:23

LOL jk welcome back!

❤️ Malissa
deleted-U05496RCQ9M
2025-06-17 11:33:04

Question for you @Malissa, we recently opened a KY organ donor lawsuit, but the firm never gave us an SOL in terms of deceased PNCs in their criteria. Do you think we can get one, or find out if we need one? Thank you!

Malissa (malissa@shield-legal.com)
2025-06-17 13:42:09

Did anyone email Abe or Nico?

Malissa (malissa@shield-legal.com)
2025-06-17 13:42:11

if not i will

Malissa (malissa@shield-legal.com)
2025-06-17 13:42:19

@deleted-U05496RCQ9M @deleted-U055HQT39PC

deleted-U055HQT39PC
2025-06-17 13:45:10

We have not

Malissa (malissa@shield-legal.com)
2025-06-17 13:45:37

ok let me see what i can find out

deleted-U055HQT39PC
2025-06-17 13:46:13

Cam did say no SOL to that question per Tony

Malissa (malissa@shield-legal.com)
2025-06-17 13:46:41

oh.... do i need to reach out?

deleted-U055HQT39PC
2025-06-17 13:47:14

I don’t think so, Tony asked Cam. Sounds like there isn’t one at the moment

deleted-U05496RCQ9M
2025-06-17 13:47:15

we got that answer after i asked you lol

Malissa (malissa@shield-legal.com)
2025-06-17 13:47:30

ok cool. disregard lol

Malissa (malissa@shield-legal.com)
2025-06-17 16:42:19

@here how are we doing with the setup for MI Abuse Campaigns with Ghozland?

deleted-U05496RCQ9M
2025-06-17 16:42:37

those are all done and opened

Malissa (malissa@shield-legal.com)
2025-06-17 16:42:57

sweet

deleted-U055HQT39PC
2025-06-17 18:36:48

hey @Malissa are we closing all the Paraquat campaigns?

Malissa (malissa@shield-legal.com)
2025-06-17 18:38:25

Only one that should be open right now is DL/Flatirons I think. And it only has like 5 or 6 signups left

Malissa (malissa@shield-legal.com)
2025-06-17 18:38:33

Is Tony saying close them?

deleted-U055HQT39PC
2025-06-17 18:38:50

i think he had christian remove them from the dialer

Malissa (malissa@shield-legal.com)
2025-06-17 18:39:01

Hmm

deleted-U055HQT39PC
2025-06-17 18:52:47

Sorry that was only for the screeners not the closers. Thank you

Malissa (malissa@shield-legal.com)
2025-06-17 18:53:06

Ok cool. No worries

Malissa (malissa@shield-legal.com)
2025-06-18 13:27:02

@deleted-U05496RCQ9M @deleted-U055HQT39PC Can you double check this info and make sure it gels with our current AWKO Gaming Addiction criteria?

"Our criteria has changed several times so just to make sure we are on the same page, here is what we are currently using:

ACCEPT: • Started gaming before the age of 18 AND • Not currently younger than age 8 AND • Not currently older than age 27 AND • Has played the video games listed below for a combined time of at least 2 hours a day for a minimum of 5 weeks ◦ Roblox ◦ Fortnite ◦ Minecraft • Either still playing the above games or has stopped due to receiving treatment • If age 18 or older, has played the above games within the past 2 years • Diagnosed with Video Game Addiction OR • Has one or more of the following conditions: • • ADHD/ADD, ODD (Oppositional Defiant Disorder), Gamer’s Rage, Gamer’s Withdrawal, Depression, Anxiety, Panic Disorder, Social Phobia, Treatment for Hypertension, Physical Therapy, Carpal Tunnel, Gamer’s Thumb, Trigger Finger, De Quervain’s Tenosynovitis, Tennis Elbow, Neck Sprain/Herniation, Computer Vision Loss, Computer Vision Syndrome, Seizures, Changes in CT/MRI Brain Scans, Homeschooling due to gaming issues, College Dropout due to gaming issues, High School Dropout due to gaming issues, Anti-Social Disorder, Attempted Suicide • Sought medical care or counseling for the adverse effects of Video Game Addiction OR • Has records reflecting educational disruption/harm (e.g., dropout, IEP, 504 Plan) Enhanced Death Criteria: • Must meet all other accept criteria • Suicide must be listed as the cause of death on the death certificate • Person submitting the claim must provide a valid Will confirming they are the proposed personal representative OR, if no Will then; • Accept claims from spouse, if no spouse, accept from children OR with spouse’s consent; if no children or with children's consent, accept from parent or sibling"

deleted-U05496RCQ9M
2025-06-18 14:19:36

This is what we have right now based on the criteria they sent us recently. I also asked Andy about this and he approved this criteria

• Injured Party MUST be 28 years old or younger • Injured Party MUST have started playing video games BEFORE the age of 18 • Injured Party MUST have played video games for at least 2 hours for a minimum of 5 weeks • Injured party MUST have played one or more of the games below AND any/all Microsoft Games: ◦ Roblox ◦ Fortnite AND ◦ Microsoft Games ◦ Minecraft ◦ Call of Duty ◦ Blizzard Entertainment Games (see exhibit A) ◦ Bethesda Games (see exhibit B) ◦ Xbox Games (see exhibit C) • Injured Party MUST have been diagnosed with Video Gaming Addiction OR • Injured Party has one or more of the below issues: ◦ ADHD/ADD ◦ ODD (Oppositional Defiant Disorder) ◦ Gamer’s Rage ◦ Gamer’s Withdrawal ◦ Depression ◦ Anxiety ◦ Panic Disorder ◦ Social Phobia ◦ Treatment for Hypertension ◦ Physical Therapy ◦ Carpal Tunnel ◦ Gamer’s Thumb ◦ Trigger Finger ◦ De Quervain’s Tenosynovitis ◦ Tennis Elbow ◦ Neck Sprain/Herniation ◦ Computer Vision Loss/Syndrome ◦ Seizures ◦ Changes in CT/MRI Brain Scans ◦ Homeschooling Due to Gaming Issues ◦ College Dropout Due to Gaming Issues ◦ High School Dropout Due to Gaming Issues ◦ Anti-social Disorder ◦ Attempted Suicide ◦ Suicide AND • Injured Party MUST have sought medical care or counseling for the adverse effects of Video Game Addiction OR • Injured Party has possession of records reflecting education disruption/harm (dropout/IEP - Individualized Education Programs/504)

deleted-U05496RCQ9M
2025-06-18 14:19:53

I can add the enhanced death criteria if needed

deleted-U05496RCQ9M
2025-06-18 14:20:30

this is for Gaming Addiction 3 - AWKO - Bradley Grombacher - Shield Legal

deleted-U05496RCQ9M
2025-06-18 14:21:11

This is where we got it from, sent to us by Tony

Malissa (malissa@shield-legal.com)
2025-06-18 14:21:16

When did Andy approve it?

Malissa (malissa@shield-legal.com)
2025-06-18 14:21:45

@deleted-U055HQT39PC yeah and what i posted they sent yesterday. 😬🫠

Malissa (malissa@shield-legal.com)
2025-06-18 14:22:18

andy replied with "perfect" so.... i'm guessing we just need to add the enhanced death part

deleted-U05496RCQ9M
2025-06-18 14:22:33

he approved it thursday

deleted-U05496RCQ9M
2025-06-18 14:22:59

i'll add the enhanced death part

Malissa (malissa@shield-legal.com)
2025-06-18 14:23:14

honestly it looks like we're good

Malissa (malissa@shield-legal.com)
2025-06-18 14:23:21

we just don't say "ENHANCED DEATH"

deleted-U05496RCQ9M
2025-06-18 14:23:25

HAHAHA

deleted-U05496RCQ9M
2025-06-18 14:23:34

i'm gonna have it say death criteria

deleted-U05496RCQ9M
2025-06-18 14:23:48

or "if injured party is deceased"

👍 Malissa
deleted-U05496RCQ9M
2025-06-18 14:27:27

i still need to sign up for this

deleted-U05496RCQ9M
2025-06-18 14:27:30

i have surgery tomorrow

deleted-U05496RCQ9M
2025-06-18 14:27:31

lol

Malissa (malissa@shield-legal.com)
2025-06-18 14:33:56

@deleted-U055HQT39PC @deleted-U05496RCQ9M did you guys get the docs for AWD - Cooper Masterman Video Gaming Sextortion?

deleted-U05496RCQ9M
2025-06-18 14:34:10

I have no idea what that is

deleted-U05496RCQ9M
2025-06-18 14:34:23

We didn't get any other sextortion campaigns

deleted-U05496RCQ9M
2025-06-18 14:34:47

these are the only ones we have

deleted-U05496RCQ9M
2025-06-18 14:34:51

both open

Malissa (malissa@shield-legal.com)
2025-06-18 14:34:58

Yeah Cam said Intake should have everything

deleted-U05496RCQ9M
2025-06-18 14:35:15

I haven't heard of this one

deleted-U05496RCQ9M
2025-06-18 14:35:25

we don't have it on our list of to-do's either

Malissa (malissa@shield-legal.com)
2025-06-18 14:35:42

How are we with The Anapol Weiss - AWD sextortion campaign?

Malissa (malissa@shield-legal.com)
2025-06-18 14:35:59

like are all the tests sent and all that? yes i looked in notion just want to double check

deleted-U05496RCQ9M
2025-06-18 14:36:14

that's been opened since the 13th

deleted-U05496RCQ9M
2025-06-18 14:36:20

wait no

deleted-U05496RCQ9M
2025-06-18 14:36:23

not 13th

deleted-U05496RCQ9M
2025-06-18 14:36:33

the 10th

Malissa (malissa@shield-legal.com)
2025-06-18 14:36:40

ok so that one is good to go

deleted-U05496RCQ9M
2025-06-18 14:36:45

yeah

Malissa (malissa@shield-legal.com)
2025-06-18 15:16:12

FYI @here

RUSH SETUP! NEW CAMPAIGN :rotatinglightred:

Firms: Cooper Masterman/AWD Video Gaming Sextortion Cap: 100

Criteria - use same intake/criteria as the Anapol Weiss/AWD Sextortion campaign.

Distro: Shield AWD Pending Cooper Masterman

Pending Docs. Will post shortly.

Malissa (malissa@shield-legal.com)
2025-06-18 15:16:32

i just posted that in the call center channel

Malissa (malissa@shield-legal.com)
2025-06-18 15:18:02

do you guys have a copy of the long form questionnaire for the AWD Roblox campaigns? like one we've entered into LR?

Malissa (malissa@shield-legal.com)
2025-06-18 15:18:13

They're requesting a copy

Malissa (malissa@shield-legal.com)
2025-06-18 15:30:55

@deleted-U05496RCQ9M @deleted-U055HQT39PC

deleted-U05496RCQ9M
2025-06-18 15:31:18

Sorry, I'm working on this right now and Sobo is in a meeting

deleted-U05496RCQ9M
2025-06-18 15:31:28

do you need the secondary interview?

Malissa (malissa@shield-legal.com)
2025-06-18 15:31:30

no worries. sometimes @ here doesn't work at all lol

Malissa (malissa@shield-legal.com)
2025-06-18 15:31:37

yeah i need a copy of how it looks in LR

deleted-U05496RCQ9M
2025-06-18 15:32:30

Yeah, I was just working on the campaign, I didn't see your message

👍 Malissa
deleted-U062D2YJ15Y
2025-06-20 13:38:49

@Malissa heyoo what is the status on MI Clergy Abuse - SGGH - Meadow Law - Shield Legal

Malissa (malissa@shield-legal.com)
2025-06-20 13:39:19

So Jon @ Meadow promised me something on it next week

Malissa (malissa@shield-legal.com)
2025-06-20 13:39:23

i just talked to him

Malissa (malissa@shield-legal.com)
2025-06-20 13:39:29

@deleted-U062D2YJ15Y

Malissa (malissa@shield-legal.com)
2025-06-20 13:39:38

he also said that he's got stuff for us for Arizona if you believe it

Malissa (malissa@shield-legal.com)
2025-06-20 13:39:39

lol

deleted-U055HQT39PC
2025-06-20 13:41:32

i'll believe it when i see it lol

😂 Malissa
deleted-U062D2YJ15Y
2025-06-20 13:44:42

yea ok

Malissa (malissa@shield-legal.com)
2025-06-23 10:49:12

@deleted-U055HQT39PC @deleted-U05496RCQ9M I've gotten the distro email for cooper masterman. Is there anything else we need for that?

deleted-U055HQT39PC
2025-06-23 10:49:32

No that’s it

👍 Malissa
Malissa (malissa@shield-legal.com)
2025-06-23 13:09:55

hi @deleted-U055HQT39PC @deleted-U05496RCQ9M @deleted-U062D2YJ15Y Where are we with this Campaign: Firms: SGGH/Meadow Law Campaign: Depo Provera Cap: 38

Malissa (malissa@shield-legal.com)
2025-06-23 13:10:00

i don't see it in open/closed

deleted-U05496RCQ9M
2025-06-23 13:10:34

it looks like it's done, just waiting on brittany's part

👍 Malissa
Malissa (malissa@shield-legal.com)
2025-06-23 13:11:02

ok, i'll ping her on that. Hoping to get that one done ASAP

deleted-U055HQT39PC
2025-06-23 13:12:23

@Malissa Becker and Alex keep asking when Kansas is going to be done. We haven't got anything from that other than what I sent you

Malissa (malissa@shield-legal.com)
2025-06-23 13:16:06

*Thread Reply:* ugggggggghhhhhhhhhhhhh

deleted-U05496RCQ9M
2025-06-23 13:12:48

I just messaged her! @Malissa

👍 Malissa
Malissa (malissa@shield-legal.com)
2025-06-23 13:26:00

fyi @here i have brookies (Brownie Cookie hybrid) at my desk

:aa: deleted-U055HQT39PC
deleted-U05496RCQ9M
2025-06-23 13:26:32

oh my god

Malissa (malissa@shield-legal.com)
2025-06-23 16:43:02

@deleted-U05496RCQ9M here are the signatures for the Sextortion Campaign with SGGH, Meadow, and Ghozland that i'm about to send over

Malissa (malissa@shield-legal.com)
2025-06-23 17:48:19

fyi @deleted-U05496RCQ9M and @deleted-U055HQT39PC, The Ghozland Sextortion is going to be a rush

👍:skin_tone_3: deleted-U05496RCQ9M
👍 deleted-U055HQT39PC
deleted-U05496RCQ9M
2025-06-24 09:56:17

@Malissa Good morning! We're all done with VG Sextortion for Ghozland, just waiting on Brittany's part!

👍 Malissa
Malissa (malissa@shield-legal.com)
2025-06-24 11:48:18

@deleted-U055HQT39PC and @deleted-U05496RCQ9M we still have the retainer for AFFF Carson/ELG right?

deleted-U055HQT39PC
2025-06-24 11:54:49

@Malissa Kansas is just 1 case type? Not two?

deleted-U055HQT39PC
2025-06-24 11:55:03

And yes we should have that retainer

deleted-U055HQT39PC
2025-06-24 11:55:13

older case type

Malissa (malissa@shield-legal.com)
2025-06-24 11:55:16

@deleted-U055HQT39PC I have not been told that we are splitting it

Malissa (malissa@shield-legal.com)
2025-06-24 11:55:28

awesome. Yeah it's old but it's about to come back to life

Malissa (malissa@shield-legal.com)
2025-06-24 11:56:03

Before i tell Andy that yes, we still have that retainer, can you double check?

deleted-U055HQT39PC
2025-06-24 12:04:33

Did we already build out the Kansas abuse intake questionnaire and secondary?

I attached the intake questionnaire I would like to use in case you don’t already have it.

For VSS secondary interviews, we need to clone the Michigan JDC and Michigan YRTC exactly like they are now for Kansas JDC and YRTC.

I plan to launch Kansas early next week.

this is what Becker sent me. it looks like he's under the impression that this is two case types. he's asking for two different VSS case types. i'm just going to make one intake and two vss secs for now

Malissa (malissa@shield-legal.com)
2025-06-24 12:08:39

Ok i'll confirm with him

Malissa (malissa@shield-legal.com)
2025-06-24 12:11:06

ok i'm splitting them. hold tight

Malissa (malissa@shield-legal.com)
2025-06-24 12:13:30

@deleted-U055HQT39PC i split them

🙌 deleted-U055HQT39PC
Malissa (malissa@shield-legal.com)
2025-06-24 15:27:55

@deleted-U055HQT39PC @deleted-U05496RCQ9M are we waiting on anything for Ghozland MI Abuse?

Malissa (malissa@shield-legal.com)
2025-06-24 15:34:10

wait ... hang on

Malissa (malissa@shield-legal.com)
2025-06-24 15:34:31

Sextortion

Malissa (malissa@shield-legal.com)
2025-06-24 15:34:43

i meant sextortion. Sorry i've been in report land and MI campaign land all day

deleted-U055HQT39PC
2025-06-24 16:08:33

@Malissa can we make sure bencrumpcases is on every new case setup for BCL cases? It looks like a good amount never went to BCL

Malissa (malissa@shield-legal.com)
2025-06-24 16:09:38

?!

Malissa (malissa@shield-legal.com)
2025-06-24 16:09:46

yeah is that the email address?

deleted-U055HQT39PC
2025-06-24 16:11:10

Please I’m in her office right now she’s not happy. Hopefully integrations can help them out

Malissa (malissa@shield-legal.com)
2025-06-24 16:11:16

is that for their incoming calls?

Malissa (malissa@shield-legal.com)
2025-06-24 16:11:21

oh you answered my question

Malissa (malissa@shield-legal.com)
2025-06-24 16:11:30

let me bug the integration guys now.

Malissa (malissa@shield-legal.com)
2025-06-24 16:13:21

ok, Nick M is going to go in and make sure it's added. I'm sending it to him now and i'll include you.

deleted-U05496RCQ9M
2025-06-24 16:57:15

Hi @Malissa Do we know what the actual name for AFG law firm is? I need it for the criteria (:

Malissa (malissa@shield-legal.com)
2025-06-24 16:58:22

Adair

Malissa (malissa@shield-legal.com)
2025-06-24 16:58:52

we've used just AFG on previous criteria sheets

Malissa (malissa@shield-legal.com)
2025-06-24 16:59:12

Which i think Cam and Andy will prefer.

deleted-U05496RCQ9M
2025-06-24 17:00:56

I only ask because we started writing the full name out for all attorneys when we started with the consent forms since it was necessary to do so we've been using the same format

deleted-U05496RCQ9M
2025-06-24 17:01:05

I'll leave it as AFG if that's preferred.

Malissa (malissa@shield-legal.com)
2025-06-24 17:01:58

yeah they're not a lawfirm

deleted-U05496RCQ9M
2025-06-24 17:02:07

gotcha

Malissa (malissa@shield-legal.com)
2025-06-24 17:02:09

They're just a backing firm

Malissa (malissa@shield-legal.com)
2025-06-24 17:02:11

agency

Malissa (malissa@shield-legal.com)
2025-06-24 17:02:15

whatever lol

deleted-U05496RCQ9M
2025-06-24 17:02:35

ahh okay

deleted-U05496RCQ9M
2025-06-24 17:02:57

sorry i've been slow on these, i'm the only one working on them currently and my surgery hand is hurting a lot lol

Malissa (malissa@shield-legal.com)
2025-06-24 17:03:17

it's ok! Don't overdo it with your surgery hand

deleted-U05496RCQ9M
2025-06-24 17:03:18

my hand hasn't really had a break since i got in

Malissa (malissa@shield-legal.com)
2025-06-24 17:03:43

get one of these. Sobo will understand

Malissa (malissa@shield-legal.com)
2025-06-25 11:59:49

@here Just making sure you guys got this: The retainer previously sent is for injured parties who are adults. I’m attaching the retainer to use if the injured party is a minor.

Please note, there are two highlighted areas on the 1st page. One for the name of the minor and the second for the name of the parent/guardian.

deleted-U05496RCQ9M
2025-06-25 12:00:21

i loaded this today!

Malissa (malissa@shield-legal.com)
2025-06-25 12:04:28

Fabulous

Malissa (malissa@shield-legal.com)
2025-06-25 12:04:37

Thank you @deleted-U05496RCQ9M !

deleted-U05496RCQ9M
2025-06-25 12:09:00

of course~ 🙂

Malissa (malissa@shield-legal.com)
2025-06-25 12:36:53

@deleted-U05496RCQ9M @deleted-U055HQT39PC Can you send me a copy of the retainer we're using for PFAS ELG/Levinson?

👀 deleted-U062D2YJ15Y
Malissa (malissa@shield-legal.com)
2025-06-25 12:41:29

Thank you @deleted-U062D2YJ15Y!

🙌 deleted-U062D2YJ15Y
Malissa (malissa@shield-legal.com)
2025-06-25 17:15:34

hi @here I think the new PFAS Levinson is supposed to be ELG - Levinson (TC). noticed that didn't get added in LR.

👍:skin_tone_3: deleted-U05496RCQ9M
deleted-U05496RCQ9M
2025-06-25 17:18:16

renaming it this way AFFF PFAS Military Base Exposure - ELG - Levinson - TC - Shield Legal

👍 Malissa
Malissa (malissa@shield-legal.com)
2025-06-25 17:19:06

thanks!

deleted-U062D2YJ15Y
2025-06-26 10:40:24

@Malissa Hey that AFFF pfas elg carson it says to use the old retainer but that one has a hippa attached the one you sent does not are we using the old hippa from the old contract or should we use the elg hippa we have

deleted-U055HQT39PC
2025-06-26 10:40:44

Send the one we have please

Malissa (malissa@shield-legal.com)
2025-06-26 10:43:00

@deleted-U055HQT39PC @deleted-U062D2YJ15Y the Retainer part looks the same. I couldn't find the HIPAA. Use the one you guys got.

Malissa (malissa@shield-legal.com)
2025-06-26 10:43:03

since it's got all of it

deleted-U055HQT39PC
2025-06-26 10:43:29

Thank you

deleted-U062D2YJ15Y
2025-06-26 10:44:00

Grazi

Malissa (malissa@shield-legal.com)
2025-06-26 13:21:51

@here any objections to turning AFFF/PFAS carson on?

deleted-U05496RCQ9M
2025-06-26 13:22:27

nope

deleted-U05496RCQ9M
2025-06-26 13:22:38

we finished

Malissa (malissa@shield-legal.com)
2025-06-26 13:23:45

sweet

Malissa (malissa@shield-legal.com)
2025-06-30 11:05:47

hi @deleted-U055HQT39PC @deleted-U05496RCQ9M @deleted-U062D2YJ15Y. Happy Monday! Any updates on the AFG/SGGH/Meadow Michigan campaigns?

deleted-U05496RCQ9M
2025-06-30 11:06:31

Good morning, our parts on those are done, just waiting for Brittany's

Malissa (malissa@shield-legal.com)
2025-06-30 11:06:49

ok, i'll ping her and see if she can do that after we open.

Malissa (malissa@shield-legal.com)
2025-06-30 11:07:07

Thanks!

deleted-U05496RCQ9M
2025-06-30 11:23:21

thank YOU

deleted-U055HQT39PC
2025-07-01 11:39:16

@Malissa is this new Rush campaign sex abuse?

Malissa (malissa@shield-legal.com)
2025-07-01 11:39:29

Not quite

Malissa (malissa@shield-legal.com)
2025-07-01 11:39:36

https://www.nbcnewyork.com/long-island/hospital-worker-illegally-recorded-bathrooms-northwell-health/6302319/

NBC New York
Malissa (malissa@shield-legal.com)
2025-07-01 11:39:54

i think the firms are calling it sex abuse tho since it's video taping

deleted-U055HQT39PC
2025-07-01 11:40:02

hmm ok

Malissa (malissa@shield-legal.com)
2025-07-01 11:40:03

it's not physical abuse

deleted-U055HQT39PC
2025-07-01 11:41:00

the retainer is for sex abuse and it's for NY so it's 33% and not 60/40 just a heads up

Malissa (malissa@shield-legal.com)
2025-07-01 11:41:09

yeah that's what the firm sent.

deleted-U055HQT39PC
2025-07-01 11:41:27

haha ok. well, we'll load it

Malissa (malissa@shield-legal.com)
2025-07-01 11:41:47

we got some time so if they realize they made a mistake we can fix it lol

deleted-U055HQT39PC
2025-07-01 11:42:40

ok so this is in new york so that makes sense, they were putting cameras in bathrooms

Malissa (malissa@shield-legal.com)
2025-07-01 11:42:45

yeah nasty

deleted-U05496RCQ9M
2025-07-01 11:43:19

is there a more in depth criteria?

Malissa (malissa@shield-legal.com)
2025-07-01 11:43:27

But not as nasty as the bathroom i saw in a Wendy's in backwoods Mississippi

Malissa (malissa@shield-legal.com)
2025-07-01 11:43:35

That's all they've given me so far @deleted-U05496RCQ9M

Malissa (malissa@shield-legal.com)
2025-07-01 11:43:56

https://www.cbsnews.com/newyork/news/long-island-sleep-center-hidden-cameras-bathroom/

cbsnews.com
Malissa (malissa@shield-legal.com)
2025-07-01 11:44:26

if you guys can, send me the intake and i'll send it to the firm for review

Malissa (malissa@shield-legal.com)
2025-07-01 11:44:34

might get more criteria out of it lol

deleted-U055HQT39PC
2025-07-01 11:45:24

we'll use what we have. they can make adjustments as needed. thank you @Malissa

👍 Malissa
Malissa (malissa@shield-legal.com)
2025-07-02 13:41:13

@deleted-U055HQT39PC @deleted-U05496RCQ9M @deleted-U062D2YJ15Y Can you guys send me the intake, criteria, and retainer/hipaa for NEC - Legafi?

👀 deleted-U055HQT39PC
Malissa (malissa@shield-legal.com)
2025-07-02 13:41:24

I'm meeting with them tomorrow and i want to make sure everything is current.

deleted-U05496RCQ9M
2025-07-02 13:46:07

yes one moment

Malissa (malissa@shield-legal.com)
2025-07-02 13:56:01

Thank you @deleted-U05496RCQ9M!

deleted-U05496RCQ9M
2025-07-03 11:17:17

good morning @Malissa! have you gotten anything regarding MI Clergy Abuse - SGGH - Meadow Law - Shield Legal?

Malissa (malissa@shield-legal.com)
2025-07-03 11:17:39

Not yet. I was going to bug Becker about it. He made promises of Arizona again yesterday

🤣 deleted-U05496RCQ9M
deleted-U05496RCQ9M
2025-07-03 11:17:52

gotcha lol

Malissa (malissa@shield-legal.com)
2025-07-03 11:18:58

At the rate they're going with Arizona abuse, it's going to get sold to Utah.

Hockey joke.

deleted-U05496RCQ9M
2025-07-03 11:19:09

im dead

😂 Malissa
Malissa (malissa@shield-legal.com)
2025-07-03 11:19:31

Yeah it's currently playing at a high school ice rink

deleted-U05496RCQ9M
2025-07-03 11:19:38

i heard about that!

Malissa (malissa@shield-legal.com)
2025-07-03 11:19:50

The poor 'yotes

Malissa (malissa@shield-legal.com)
2025-07-03 11:20:07

RIP Phoenix/Arizona Coyotes.

🥲 deleted-U05496RCQ9M
Malissa (malissa@shield-legal.com)
2025-07-07 14:53:07

Hi @deleted-U055HQT39PC @deleted-U05496RCQ9M Messaging you guys here before i post in the call center. I've got a rush request from Cam.

"Please have Anthony get an intake built out ASAP for me. Build the intake from the TVM campaign, but obviously change to Hernia Mesh. When intake is done please have him get me a test intake asap

Retainer to come

• Initial mesh implant 2010 or later • Any revision/explant case ◦ For Covidien ▪︎ 5 or more days of hospitalization because of the mesh complications ▪︎ 1 day in ICU ▪︎ Any ring break cases with any damages (certain mesh products have ▪︎ a ring around perimeter and these can shear or break) ▪︎ Orchiectomy (testicle and/or spermatic cord removal) ▪︎ Resection of bowel ▪︎ Death (these are exceedingly rare and usually are due to undiscovered bowel perforation that turns septic) ▪︎ Abdominal pain ▪︎ Adhesion ▪︎ Bowel perforation ▪︎ Edge of mesh curled towards bowel ▪︎ Infection ▪︎ Hernia Recurrence ▪︎ Intestinal blockage ▪︎ Mesh migration ▪︎ Mesh contraction ▪︎ Intestinal fistula ▪︎ Surgical removal of mesh ▪︎ Open wound ▪︎ Mesh balled up/rolled up/wadded up ▪︎ Mesh plastic memory recoil ring is broken ▪︎ Other--> Please mention the complication from the mesh ◦ For Bard cases (only): ▪︎ 5 or more days of hospitalization because of any mesh complications or ▪︎ 1 day in ICU or ▪︎ Any ring break cases with any damages (certain mesh products have a ring around perimeter and these can shear or break) ▪︎ Orchiectomy (testicle and/or spermatic cord removal) ▪︎ Resection of bowel (with or without colostomy bag) ▪︎ Death (these are exceedingly rare and usually are due to undiscovered bowel perforation that turns septic) • • • Manufacturers: ◦ Bard (Davol, Becton Dickinson) ◦ Covidien (Medtronic, Tyco & U.S. Surgical) • LP is unable to accept potential clients where the statute of limitations may have expired, or may expire in the near future • The following considerations should be given before contracting cases from these locations as LP will be unable to confirm acceptance for investigation until after reviewing the initial intake ◦ We will consider the discovery rule or other equitable tolling statutes for initial investigation if the applicable states allow it ◦ Generally, we will not take cases where the symptoms or injury are within 90 days in the following states with one year statutes of limitation - KY, LA, TN & PR . ◦ We will not accept cases from the following states if the statute from the date of injury, as defined by that state, has expired because these states have no discovery rule or harsh triggers for the statute of limitations, including AL, ID, ME, TX, NY, and VA"

deleted-U05496RCQ9M
2025-07-07 15:30:57

for the rush AFFF PFAS Military bases, are we using the same retainer since they're all levinson - elg?

deleted-U05496RCQ9M
2025-07-07 15:31:03

@Malissa

Malissa (malissa@shield-legal.com)
2025-07-07 15:31:30

yup

Malissa (malissa@shield-legal.com)
2025-07-07 15:31:32

same everything

deleted-U05496RCQ9M
2025-07-07 15:31:41

tyty

Malissa (malissa@shield-legal.com)
2025-07-07 15:31:45

no prob! Thank you!

💗 deleted-U05496RCQ9M
deleted-U05496RCQ9M
2025-07-07 16:06:32

OKAY i'm finally done with the AFFF stuff so i can focus on this other one. for the hernia mesh, do we have lawfirm names and all that yet? just so i can start building it!

Malissa (malissa@shield-legal.com)
2025-07-07 16:07:09

Campaign: Hernia Mesh Firms: Dampier/Levin Papantonio Cap: 85

Malissa (malissa@shield-legal.com)
2025-07-07 16:07:15

@deleted-U05496RCQ9M

deleted-U05496RCQ9M
2025-07-07 16:07:19

thank youuuu

Malissa (malissa@shield-legal.com)
2025-07-07 16:07:22

Let Mark M know when you're done too

deleted-U05496RCQ9M
2025-07-07 16:07:28

gotcha

deleted-U05496RCQ9M
2025-07-08 13:30:00

@Malissa good morning! can we move NEC DL Flats anywhere yet?

Malissa (malissa@shield-legal.com)
2025-07-08 13:31:24

Not yet

Malissa (malissa@shield-legal.com)
2025-07-08 13:31:25

😞

deleted-U05496RCQ9M
2025-07-08 13:31:45

okayy, thank you. we ask cause the agents are getting leads for them

Malissa (malissa@shield-legal.com)
2025-07-08 13:32:41

They really shouldn't get anything new. 😕 I'll see what's up. But yeah, nothing yet

deleted-U05496RCQ9M
2025-07-08 17:05:21

Hey, @Malissa , we're getting some confusion in regards to the MI Foster care criteria, specifically this part: ◦ IF PNC is ONLY able to provide the LAST NAME of their Foster Parent(s), PNC MUST PROVIDE FIRST/LAST NAME of their abuser(s)IF PNC is ONLY able to provide the FIRST/LAST NAME of abuser(s), PNC MUST PROVIDE FULL NAME of their Foster Parent(s) it looks like they're contradicting each other. does this mean that If the client only has a partial name for one person (like just a last name for their foster parent), then we need the full name (first + last) of the other person (like their abuser)?

deleted-U05496RCQ9M
2025-07-08 17:06:19

we're interpreting it as • If ONLY able to provide the LAST NAME of their foster parent(s), MUST PROVIDE FIRST or LAST NAME of abuser(s) • If ONLY able to provide the FIRST or LAST NAME of abuser(s), MUST PROVIDE FULL NAME of their foster parent(s) which is a bit confusing

Malissa (malissa@shield-legal.com)
2025-07-08 17:27:28

Ok i read that like 5 times

deleted-U05496RCQ9M
2025-07-08 17:27:54

confusing right?

Malissa (malissa@shield-legal.com)
2025-07-08 17:28:22

I would interpret it the same way.

If the foster parent is Mr. Smith, they'd have to know they were abused by Joe Schmoe If the abuser is Tommy, they'd have to know their foster parent/parents are Jane and Joe Smith

deleted-U05496RCQ9M
2025-07-08 17:29:32

okay so If the client only has a partial name for one person (like just a last name for their foster parent or abuser) Then we need the full name (first + last) of the other person (foster parent or abuser).

Malissa (malissa@shield-legal.com)
2025-07-08 17:29:46

exactly

deleted-U05496RCQ9M
2025-07-08 17:30:07

got it, thank you!

deleted-U05496RCQ9M
2025-07-08 17:30:11

i'll update criteria now

Malissa (malissa@shield-legal.com)
2025-07-08 17:30:18

I'd be willing to bet it's because certain foster parents are associated with certain abusers

deleted-U05496RCQ9M
2025-07-08 17:30:29

so what if they only have the first name?

deleted-U05496RCQ9M
2025-07-08 17:30:33

do we send for firm?

deleted-U05496RCQ9M
2025-07-08 17:30:46

or seek tony approval?

Malissa (malissa@shield-legal.com)
2025-07-08 17:31:10

Like Ms Marsha was my foster and Mr Joe abused me?

deleted-U05496RCQ9M
2025-07-08 17:31:31

Like joe abused me but marsha smith is my foster

deleted-U05496RCQ9M
2025-07-08 17:31:34

something like that

deleted-U05496RCQ9M
2025-07-08 17:31:44

or just hard dq?

Malissa (malissa@shield-legal.com)
2025-07-08 17:31:47

So if they know Marsha Smith but only know Joe as Joe, that works

deleted-U05496RCQ9M
2025-07-08 17:32:00

okay as long as we have a full name for the other person

deleted-U05496RCQ9M
2025-07-08 17:32:07

we can do either last or first name

Malissa (malissa@shield-legal.com)
2025-07-08 17:32:07

But if it's like my foster was Marsha and my Abuser was Bob... that's probably a DQ

deleted-U05496RCQ9M
2025-07-08 17:32:14

yeah both first names no go

deleted-U05496RCQ9M
2025-07-08 17:32:31

but if they have either first or last name for foster or abuser they MUST have a full name for foster or abuser

deleted-U05496RCQ9M
2025-07-08 17:32:34

is good

deleted-U05496RCQ9M
2025-07-08 17:32:46

idk if i made any sense

Malissa (malissa@shield-legal.com)
2025-07-08 17:32:52

what i would do with the foster parent is send for a firm review if they don't remember the last name or only remember a last initial

Malissa (malissa@shield-legal.com)
2025-07-08 17:33:08

IF PNC is ONLY able to provide the LAST NAME of their Foster Parent( <- why i say that

deleted-U05496RCQ9M
2025-07-08 17:35:18

How does this sound: • If ONLY able to provide the FIRST or LAST NAME of their foster parent(s), MUST PROVIDE FULL NAME of abuser(s) • If ONLY able to provide the FIRST or LAST NAME of abuser(s), MUST PROVIDE FULL NAME of their foster parent(s)

Malissa (malissa@shield-legal.com)
2025-07-08 17:36:13

make it this and we're good: If ONLY able to provide the LAST NAME of their foster parent(s),

Malissa (malissa@shield-legal.com)
2025-07-08 17:36:26

if they only have first name but full name of abuser we could send for firm review

deleted-U05496RCQ9M
2025-07-08 17:37:46

• If ONLY able to provide the LAST NAME of their foster parent(s), MUST PROVIDE FULL NAME of abuser(s) • If ONLY able to provide the FIRST or LAST NAME of abuser(s), MUST PROVIDE FULL NAME of their foster parent(s) • If ONLY able to provide the FIRST NAME of foster parent(s), BUT ABLE TO PROVIDE FULL NAME of their abuser, SEND FOR FIRM

deleted-U05496RCQ9M
2025-07-08 17:37:49

How's this?

deleted-U05496RCQ9M
2025-07-08 17:38:08

i think that's clear

Malissa (malissa@shield-legal.com)
2025-07-08 17:43:44

yes

Malissa (malissa@shield-legal.com)
2025-07-08 17:43:48

i think that's clear

deleted-U05496RCQ9M
2025-07-08 17:43:54

got it, thank you!

Malissa (malissa@shield-legal.com)
2025-07-08 17:44:24

maybe run the firm review one by someone else and see if that's cool. i don't know how often it comes up tho

deleted-U05496RCQ9M
2025-07-08 17:46:23

okay, should we say seek supervisor approval? so we can ask tony first?

Malissa (malissa@shield-legal.com)
2025-07-08 17:46:34

yeah

deleted-U05496RCQ9M
2025-07-08 17:47:03

thank you!

deleted-U05496RCQ9M
2025-07-08 18:33:08

Hey hey @Malissa we have pending flags that can go final for Chowchilla DL, can lexi finalize them or was it a hard cap?

Malissa (malissa@shield-legal.com)
2025-07-08 18:34:31

Hard cap

Malissa (malissa@shield-legal.com)
2025-07-08 18:34:32

How many?

Malissa (malissa@shield-legal.com)
2025-07-08 18:34:53

I left a pad in the budget

deleted-U05496RCQ9M
2025-07-08 18:35:01

4 of them can potentially be finalized

Malissa (malissa@shield-legal.com)
2025-07-08 18:35:04

Not much of one lol

Malissa (malissa@shield-legal.com)
2025-07-08 18:35:47

Let’s hold off today. I’ll review the updated financials and see if we have room or if anyone got declined

Malissa (malissa@shield-legal.com)
2025-07-08 18:36:17

NEC DL/Flatirons is done. It’s a hard cap with no room. FYI

deleted-U05496RCQ9M
2025-07-08 18:36:32

okay!

deleted-U05496RCQ9M
2025-07-08 18:36:42

can those NEC's be moved yet or nah

Malissa (malissa@shield-legal.com)
2025-07-08 18:38:47

Not yet.

Malissa (malissa@shield-legal.com)
2025-07-08 18:38:56

:-/

Malissa (malissa@shield-legal.com)
2025-07-08 18:39:08

Remind me about chowchilla in the morning too

deleted-U05496RCQ9M
2025-07-08 18:39:45

Gotcha!

Malissa (malissa@shield-legal.com)
2025-07-08 18:41:08

@deleted-U055HQT39PC did you get cam that hernia mesh test?

deleted-U05496RCQ9M
2025-07-08 18:42:01

We let mark know that it's ready for testing

👍 Malissa
deleted-U055HQT39PC
2025-07-08 18:44:40

@Malissa are we sure that these aren't in our count already for chowchilla? are you looking at esigns or finals?

deleted-U055HQT39PC
2025-07-08 18:45:40

tony is having me ask, he's wanting to finalize them because they are already signed.

Malissa (malissa@shield-legal.com)
2025-07-08 18:54:42

I’m looking at e-signs. If they’re in E-sign they’re good to finalize

Malissa (malissa@shield-legal.com)
2025-07-08 18:55:12

If they’re like something we just got the ok to sign we can’t

deleted-U05496RCQ9M
2025-07-08 18:55:39

so they went e-sign and then got flagged by PD

Malissa (malissa@shield-legal.com)
2025-07-08 18:55:56

Then I’ve counted them and they’re good to finalize

deleted-U055HQT39PC
2025-07-08 18:56:17

Ok we’ll review tomorrow, thank you Malissa

Malissa (malissa@shield-legal.com)
2025-07-08 18:56:31

Thanks you guys!

Malissa (malissa@shield-legal.com)
2025-07-08 18:56:40

Yeah before we do anything let’s make sure lol

Malissa (malissa@shield-legal.com)
2025-07-09 10:46:59

@here okay y'all. Tony came by and will probably tell you guys thesame thing. My counts include everything that has Signed e-Sign in its name. So that includes all the PD statuses

Malissa (malissa@shield-legal.com)
2025-07-09 15:07:04

@here for Cooper Masterman AWD VG Sextortion, we're getting a complaint about this phrase being used in intake: Can Articulate WITH SPECIFICITY Physical or Emotional Changes Since the Abuse That Have Impacted Life

deleted-U05496RCQ9M
2025-07-09 15:26:55

That's already been removed

Malissa (malissa@shield-legal.com)
2025-07-09 15:26:59

ok good

deleted-U05496RCQ9M
2025-07-09 15:27:06

That came from the original criteria from AWD

Malissa (malissa@shield-legal.com)
2025-07-09 15:27:11

gotcha

Malissa (malissa@shield-legal.com)
2025-07-09 15:27:24

yay!

Malissa (malissa@shield-legal.com)
2025-07-09 15:27:29

great job everyone!

deleted-U05496RCQ9M
2025-07-10 17:23:07

Hey Malissa, is this good for the criteria? just wanted to make sure since we kind of got a short one

deleted-U05496RCQ9M
2025-07-10 17:23:14

for that dr one

Malissa (malissa@shield-legal.com)
2025-07-10 17:24:35

@deleted-U05496RCQ9M it is a short one. I asked the firm if there's anything else to add and i"m just waiting to hear back.

deleted-U05496RCQ9M
2025-07-10 17:24:51

okay! i won't post it to the agents yet then

👍 Malissa
deleted-U05496RCQ9M
2025-07-10 17:25:22

thank god this isn't a rush, i'm tired of all the rush campaigns that happened this week lol

Malissa (malissa@shield-legal.com)
2025-07-10 17:25:56

yeah this week has been wild

Malissa (malissa@shield-legal.com)
2025-07-10 17:26:01

and i don't have a retainer yet lol

Malissa (malissa@shield-legal.com)
2025-07-10 17:26:14

I am about to hit you guys with some new campaigns. Sobo knows.

deleted-U05496RCQ9M
2025-07-10 17:26:20

noooo

deleted-U05496RCQ9M
2025-07-10 17:26:24

no thank you

deleted-U062D2YJ15Y
2025-07-10 17:26:28

were okay thank you

deleted-U05496RCQ9M
2025-07-10 17:26:29

i'm allergic

😂 Malissa
deleted-U05496RCQ9M
2025-07-10 17:26:55

h...how many

deleted-U05496RCQ9M
2025-07-10 17:27:11

i'm scared

Malissa (malissa@shield-legal.com)
2025-07-10 17:50:46

aww it's not that bad

Malissa (malissa@shield-legal.com)
2025-07-10 17:50:50

we have everything already basically

deleted-U05496RCQ9M
2025-07-14 10:19:25

@Malissa For the Dr. Aejaz retainer, should i put the SGGH signature on there?

deleted-U05496RCQ9M
2025-07-14 10:19:39

also good morning!

Malissa (malissa@shield-legal.com)
2025-07-14 10:22:27

outside of the MI abuse campaigns with Meadow, have we done that on other campaigns?

Malissa (malissa@shield-legal.com)
2025-07-14 10:22:32

@deleted-U05496RCQ9M

Malissa (malissa@shield-legal.com)
2025-07-14 10:22:35

and good morning

Malissa (malissa@shield-legal.com)
2025-07-14 10:22:44

FYI i'm at home today. Husband brought home a bug

deleted-U05496RCQ9M
2025-07-14 10:22:58

no i haven't

deleted-U05496RCQ9M
2025-07-14 10:54:14

Heyooo, I'm about to map the retainer to the campaign, should I put the signature on there? @Malissa

Malissa (malissa@shield-legal.com)
2025-07-14 10:54:42

@deleted-U05496RCQ9M have we done that on all their retainers or just MI?

deleted-U05496RCQ9M
2025-07-14 10:54:50

Just MI

deleted-U05496RCQ9M
2025-07-14 10:55:00

I haven't done that in other SGGH campaigns

Malissa (malissa@shield-legal.com)
2025-07-14 10:55:08

Imma say no. They didn't request that. This is a test campaign Parker is doing

deleted-U05496RCQ9M
2025-07-14 10:55:15

Gotcha thank you

Malissa (malissa@shield-legal.com)
2025-07-14 10:55:25

worst case they ask us to add it

deleted-U05496RCQ9M
2025-07-14 10:56:05

yeah and we have to get every retainer signed again lol, but hopefully not

Malissa (malissa@shield-legal.com)
2025-07-14 11:03:01

Exactly.

Malissa (malissa@shield-legal.com)
2025-07-15 11:31:45

hey @deleted-U05496RCQ9M @deleted-U055HQT39PC @deleted-U062D2YJ15Y - did we pull the retainer for AFFF 2 Vam? I could have sworn we did

deleted-U05496RCQ9M
2025-07-15 11:32:52

No it's open, we were told not to close it. Just that it was getting paused

deleted-U05496RCQ9M
2025-07-15 11:32:56

the lead flow

Malissa (malissa@shield-legal.com)
2025-07-15 11:33:16

hmmm ok

Malissa (malissa@shield-legal.com)
2025-07-15 11:33:24

we had a signup a day or two ago which is why i asked

deleted-U05496RCQ9M
2025-07-15 11:33:31

shall i close it?

deleted-U05496RCQ9M
2025-07-15 11:34:28

Yeah it got paused on Jan 29th, updated 5/19 that leads could be moved to Firefighting Foam - ELG - ML - Shield Legal

Malissa (malissa@shield-legal.com)
2025-07-15 11:34:32

not my call sadly. I'm making a list of campaigns that i think should be closed.

deleted-U05496RCQ9M
2025-07-15 11:34:37

gotcha

Malissa (malissa@shield-legal.com)
2025-07-15 11:34:41

i have to get them approved. 😕

deleted-U05496RCQ9M
2025-07-15 11:34:56

yeah i just looked for every chat we had lol we just had it as paused on leadspedia

Malissa (malissa@shield-legal.com)
2025-07-15 11:35:01

yeah same

Malissa (malissa@shield-legal.com)
2025-07-15 11:35:20

with the dialer calling old leads, it ,might create some issues with campaigns that shouldn't get anything

deleted-U05496RCQ9M
2025-07-15 11:35:31

ohhh true

Malissa (malissa@shield-legal.com)
2025-07-15 11:35:33

be it because they are closed or paused

deleted-U05496RCQ9M
2025-07-15 11:35:53

yeah it's marked as open on the campaign dashboard

deleted-U05496RCQ9M
2025-07-15 11:36:01

cause we were told just paused

Malissa (malissa@shield-legal.com)
2025-07-15 11:36:39

yeah i think that was fine when it was all manual. 😅

Malissa (malissa@shield-legal.com)
2025-07-15 11:55:49

one more question

Malissa (malissa@shield-legal.com)
2025-07-15 11:55:59

what the heck is going on over there?????

😭 deleted-U05496RCQ9M
deleted-U055HQT39PC
2025-07-15 11:56:34

🤣

deleted-U055HQT39PC
2025-07-15 11:57:01

Intake activities

deleted-U05496RCQ9M
2025-07-15 12:52:00

wait sorry not august i was looking at the open date lol

Malissa (malissa@shield-legal.com)
2025-07-15 12:52:23

DANGIT

Malissa (malissa@shield-legal.com)
2025-07-15 12:52:24

lol

deleted-U05496RCQ9M
2025-07-15 12:52:49

yeah so the only one we have open is Pa Lakin and PA DL

Malissa (malissa@shield-legal.com)
2025-07-15 12:52:52

ok, well Cam thinks PA is still open and there was a think with all that.soo... i'm deferring to greg

deleted-U05496RCQ9M
2025-07-15 12:53:07

okay lol lmk what the conclusion is!

Malissa (malissa@shield-legal.com)
2025-07-15 12:55:12

lol.

Malissa (malissa@shield-legal.com)
2025-07-15 16:19:22

@deleted-U05496RCQ9M @deleted-U055HQT39PC @deleted-U062D2YJ15Y

This one is closed, right?

Malissa (malissa@shield-legal.com)
2025-07-15 16:20:41

it's still open on the open closed tracker and wanted to check

deleted-U05496RCQ9M
2025-07-15 16:23:48

oh! yes, sorry i forgot to hit the closed

deleted-U05496RCQ9M
2025-07-15 16:23:50

my bad

Malissa (malissa@shield-legal.com)
2025-07-15 16:24:03

ok cool

deleted-U05496RCQ9M
2025-07-15 16:25:14

idk how i missed that lol

deleted-U05496RCQ9M
2025-07-15 16:25:17

will fix this now

Malissa (malissa@shield-legal.com)
2025-07-15 16:27:12

i just want to make sure things don't get called

deleted-U05496RCQ9M
2025-07-15 16:28:53

OH WAIT MALISSA, THE REASON WHY IT'S STILL OPEN

Cameron Rentch (https://tortintakepros.slack.com/team/UHMC40W4E)
deleted-U05496RCQ9M
2025-07-15 16:29:07

I might have to re-put that retainer

deleted-U05496RCQ9M
2025-07-15 16:29:15

can we make sure it's good?

Malissa (malissa@shield-legal.com)
2025-07-15 16:29:16

i see

Malissa (malissa@shield-legal.com)
2025-07-15 16:29:22

yeah let me bug cam.

deleted-U05496RCQ9M
2025-07-15 16:29:27

okay, thank you!!

deleted-U05496RCQ9M
2025-07-15 16:33:50

yeah that was weird i was like i guess i forgot to hit closed? lol but it looked weird since it was all the way from January then i checked and the retainer was still in there so i did some digging and found that message from cam

Malissa (malissa@shield-legal.com)
2025-07-15 16:34:12

no worries. i had forgotten about that

deleted-U05496RCQ9M
2025-07-15 16:34:28

Just let me know if we're good to re-open!

Malissa (malissa@shield-legal.com)
2025-07-15 16:34:51

eh i want that thing closed lol. I'll let you know what Cam says

👍:skin_tone_3: deleted-U05496RCQ9M
Malissa (malissa@shield-legal.com)
2025-07-16 15:05:02

@deleted-U055HQT39PC @deleted-U062D2YJ15Y @deleted-U05496RCQ9M

FYI

RUSH New Campaign! Campaign: Chowchilla Firm: Meadow/SGGH Cap: 60

Retainer and HIPAA pending

Distro: Meadow SGGH** (emailed Amanda. pending) Shield

VSS - YES

Criteria: • Not currently represented by another attorney/firm for this matter [1:02 PM] Malissa Phillips

• Never been represented by another attorney/firm for this matter • Must be female • Must have been incarcerated at either ◦ Chowchilla Women's Facility ◦ CIW - California Institute for Women in Chino • Must have been sexually abused ◦ Penetration ◦ Oral copulation ◦ Masturbation ◦ groping (skin to skin) • Sexual abuse occurred in 2009 or later • At least 1 of the following MUST be true ◦ Can provide the full last name of the abuser ◦ Can recognize a picture of the abuser ◦ Would recognize the name of the abuser if they heard it ◦ Filed a report at the time of the abuse AND can provide a detailed description of the abuser.

👀 deleted-U05496RCQ9M
Malissa (malissa@shield-legal.com)
2025-07-16 15:05:10

i'm waiting for the retainer and hipaa

Malissa (malissa@shield-legal.com)
2025-07-16 15:17:27

I've been promised the retainer in the next 30 min

👍:skin_tone_3: deleted-U05496RCQ9M
deleted-U05496RCQ9M
2025-07-17 10:00:01

@Malissa hey malissa, i just wanted to clear somethings up about the chowchilla intake and criteria

deleted-U05496RCQ9M
2025-07-17 10:00:10

and good morning

deleted-U05496RCQ9M
2025-07-17 10:02:47

@Malissa they gave us an intake form that doesn't really match the criteria provided and this part of the criteria confuses me a bit: ◦ Filed a report at the time of the abuse AND can provide a detailed description of the abuser. Do we know why is it that only filing a report requires a detailed description? For every single SA campaign that we have, it's always required that regardless of how they can identify their abuser that they MUST provide a detailed description

deleted-U05496RCQ9M
2025-07-17 10:16:51

also it's just officers, guards, or wardens as the abusers right? it wasn't in their criteria

Malissa (malissa@shield-legal.com)
2025-07-17 10:20:12

A big problem is Jon didn’t send me what he sent you guys for the intake. I need to get onto him about that.

Can you send me what you got from him @deleted-U05496RCQ9M ?

:batt: deleted-U062D2YJ15Y, deleted-U05496RCQ9M
Malissa (malissa@shield-legal.com)
2025-07-17 10:20:22

I’m going off the signed work order

deleted-U05496RCQ9M
2025-07-17 10:20:34

yeah! lol did he just send sobo the intake template

deleted-U05496RCQ9M
2025-07-17 10:20:39

that's crazy

deleted-U05496RCQ9M
2025-07-17 10:21:05

yeah i didn't even know we had a template until after i made the whole thing already and sobo texted me last night and said they provided one

deleted-U05496RCQ9M
2025-07-17 10:21:46

this is what i was given

deleted-U05496RCQ9M
2025-07-17 10:23:04

so it doesn't exactly match what they provided you for the criteria and the criteria is mildly confusing

Malissa (malissa@shield-legal.com)
2025-07-17 10:25:14

Yes he only sent it to Sobo

deleted-U05496RCQ9M
2025-07-17 10:25:36

applause

😂 Malissa
deleted-U05496RCQ9M
2025-07-17 10:25:44

awesome communication

deleted-U05496RCQ9M
2025-07-17 10:25:47

top tier

deleted-U05496RCQ9M
2025-07-17 10:26:39

not frustrating at all

Malissa (malissa@shield-legal.com)
2025-07-17 10:27:03

bigly the best. the most beautiful communication. they come to me with tears in their eyes saying how amazing it is. did you know that? thank you for your attention to this matter

deleted-U05496RCQ9M
2025-07-17 10:27:09

slamming head on table

😂 Malissa
deleted-U05496RCQ9M
2025-07-17 10:34:38

so hopefully we can actually get clarification from them about their criteria

deleted-U05496RCQ9M
2025-07-17 10:34:44

and the intake form ofc

Malissa (malissa@shield-legal.com)
2025-07-17 10:34:48

yes

deleted-U05496RCQ9M
2025-07-17 10:34:53

on all of it if we're being honest

Malissa (malissa@shield-legal.com)
2025-07-17 10:34:54

i just emailed Jon

deleted-U05496RCQ9M
2025-07-17 10:35:07

thank you!!!

Malissa (malissa@shield-legal.com)
2025-07-17 11:05:05

@deleted-U055HQT39PC Can we pause intakes for AFFF-PFAS DL/Flatirons for a bit?

Malissa (malissa@shield-legal.com)
2025-07-17 12:44:32

*Thread Reply:* @deleted-U055HQT39PC just checking in on this

Malissa (malissa@shield-legal.com)
2025-07-17 12:44:41

*Thread Reply:* we've got the leads paused

deleted-U055HQT39PC
2025-07-17 13:12:24

*Thread Reply:* can we pause? lol is that a question or a statement

Malissa (malissa@shield-legal.com)
2025-07-17 13:13:17

*Thread Reply:* lol. I'm wondering if it's doable. Like we don't want to pull the retainer, we just don't want to sign any more for a bit while some info gets worked out with the firm.

deleted-U055HQT39PC
2025-07-17 13:14:28

*Thread Reply:* We can get it out of the dialer for now. we are focused on the other campaigns getting leads

Malissa (malissa@shield-legal.com)
2025-07-17 13:15:07

*Thread Reply:* for sure. yeah, let's just take it out of the dialer for a bit so we don't call anyone else.

Malissa (malissa@shield-legal.com)
2025-07-17 13:15:24

*Thread Reply:* If we were doing it all manually like the old days i wouldn't worry so much. but since it calls people... lol

Malissa (malissa@shield-legal.com)
2025-07-17 13:19:23

*Thread Reply:* also @deleted-U055HQT39PC Can we do the same with San Bernardino OSOL AWD?

Malissa (malissa@shield-legal.com)
2025-07-17 13:19:31

*Thread Reply:* I don't think it got "paused."

Malissa (malissa@shield-legal.com)
2025-07-17 13:19:50

*Thread Reply:* if it did, i don't want the dialer to randomly call people lol

deleted-U055HQT39PC
2025-07-17 13:20:10

*Thread Reply:* yes

❤️ Malissa
Malissa (malissa@shield-legal.com)
2025-07-17 13:20:19

*Thread Reply:* thank you!

deleted-U05496RCQ9M
2025-07-17 11:06:36

He should be in office soon, he might be driving!

👍 Malissa
Malissa (malissa@shield-legal.com)
2025-07-17 11:15:44

update from becker @deleted-U05496RCQ9M "I defer to the Shield team on if only Chowchilla or Chowchilla and CIW. Let’s do what everyone else is doing."

deleted-U05496RCQ9M
2025-07-17 11:16:32

so everything we have now is all good?

deleted-U05496RCQ9M
2025-07-17 11:16:43

i'm gonna keep as is if so

Malissa (malissa@shield-legal.com)
2025-07-17 11:16:58

double check with sobo but.. i guess lol

deleted-U05496RCQ9M
2025-07-17 11:17:06

okay

deleted-U05496RCQ9M
2025-07-17 11:17:13

hurt

Malissa (malissa@shield-legal.com)
2025-07-17 11:17:24

aww

Malissa (malissa@shield-legal.com)
2025-07-17 12:23:01

@deleted-U05496RCQ9M how are we doing with Chowchilla for Meadow?

deleted-U05496RCQ9M
2025-07-17 12:23:17

i'm working on it right now, i'm adding a lot of stuff back that was removed!

deleted-U05496RCQ9M
2025-07-17 12:23:25

i'll have it done within the next hour i believe

deleted-U05496RCQ9M
2025-07-17 12:23:28

i apologize

Malissa (malissa@shield-legal.com)
2025-07-17 12:23:28

ok. let me know when it's ready

Malissa (malissa@shield-legal.com)
2025-07-17 12:23:30

thank you!

Malissa (malissa@shield-legal.com)
2025-07-17 12:23:31

it's ok

deleted-U05496RCQ9M
2025-07-17 12:23:39

i'm also training someone in our department at the same time lol

Malissa (malissa@shield-legal.com)
2025-07-17 12:23:56

ooooh a newb?

deleted-U05496RCQ9M
2025-07-17 12:24:09

yeah we got 2!!

Malissa (malissa@shield-legal.com)
2025-07-17 12:25:11

nice

deleted-U05496RCQ9M
2025-07-17 13:32:28

All done with Chowchilla Womens Prison Abuse - Meadow - SGGH - Shield Legal!

Malissa (malissa@shield-legal.com)
2025-07-17 13:34:19

yay! Thank you @deleted-U05496RCQ9M!

deleted-U05496RCQ9M
2025-07-17 13:34:26

of course!

deleted-U05496RCQ9M
2025-07-17 13:36:54

It's now just Mark's stuff and Brittany's reports we're waiting on to open the campaign!

Malissa (malissa@shield-legal.com)
2025-07-17 13:37:21

Ok, i'll let Brittany know we need to get it open asap

🙌:skin_tone_3: deleted-U05496RCQ9M
Malissa (malissa@shield-legal.com)
2025-07-17 14:53:48

@deleted-U055HQT39PC @deleted-U05496RCQ9M @deleted-U062D2YJ15Y FYI that chowchilla campaign is live

Malissa (malissa@shield-legal.com)
2025-07-17 14:53:52

like in leadspedia.

deleted-U05496RCQ9M
2025-07-17 14:54:12

thank you!!

Malissa (malissa@shield-legal.com)
2025-07-17 14:55:17

AWD Chowchilla is being paused so leads won't be coming in. We've only got 29 left but hopefully the re-up the budget

deleted-U05496RCQ9M
2025-07-17 14:55:57

ohhh okay!

Malissa (malissa@shield-legal.com)
2025-07-17 14:56:43

i'm going to make it a point to communicate with you guys about what's happening on the shield side

Malissa (malissa@shield-legal.com)
2025-07-17 14:56:48

like i do but i'm gonna do it better

deleted-U05496RCQ9M
2025-07-17 14:57:00

We can all be better with communication!

Malissa (malissa@shield-legal.com)
2025-07-17 14:58:37

10000000000%

Malissa (malissa@shield-legal.com)
2025-07-17 14:59:00

it's always something that can improve no matter where you are and no matter what it is

deleted-U05496RCQ9M
2025-07-17 14:59:22

agreed!

deleted-U05496RCQ9M
2025-07-22 13:23:40

Hi! Can the PFAS ELG Levinson SA that just got closed be moved anywhere? @Malissa

Malissa (malissa@shield-legal.com)
2025-07-22 13:24:51

Cam didn't say so I'll ask. It might be tomorrow before i have an update

Malissa (malissa@shield-legal.com)
2025-07-22 13:24:56

@deleted-U05496RCQ9M

Malissa (malissa@shield-legal.com)
2025-07-22 15:26:20

Just confirming that PFAS TC - SA is closed. One was signed a couple of hours after the retainer was pulled.

Malissa (malissa@shield-legal.com)
2025-07-22 15:26:29

@deleted-U05496RCQ9M @deleted-U055HQT39PC

Malissa (malissa@shield-legal.com)
2025-07-22 15:26:59

^levinson TC SA

Malissa (malissa@shield-legal.com)
2025-07-22 15:27:11

Lead 804669 is the one that signed after it was pulled

deleted-U05496RCQ9M
2025-07-22 15:32:55

Yes it's closed

👍 Malissa
deleted-U05496RCQ9M
2025-07-22 15:36:11

We closed the campaign around 9:57, e-sign was sent at 8:26

deleted-U05496RCQ9M
2025-07-22 15:38:10

It was signed prior to closing but wasn't finalized by PD until 1:22

Malissa (malissa@shield-legal.com)
2025-07-22 15:38:46

cam didn't say it was a hard stop.... and i don't think i'm a monster lol.

Malissa (malissa@shield-legal.com)
2025-07-22 15:38:52

so i think we're good

Malissa (malissa@shield-legal.com)
2025-07-22 15:39:10

i saw date stamps and just wanted to be sure

Malissa (malissa@shield-legal.com)
2025-07-22 15:39:21

there are so many PFAS levinsons with alphabet soup

deleted-U05496RCQ9M
2025-07-22 15:39:24

gotcha

deleted-U05496RCQ9M
2025-07-22 15:39:38

no i get it, i thought i didn't cancel all the contracts and panicked

deleted-U05496RCQ9M
2025-07-22 15:39:49

it was just stuck in limbo at PD

Malissa (malissa@shield-legal.com)
2025-07-22 15:44:17

No worries!

Malissa (malissa@shield-legal.com)
2025-07-22 15:44:40

all the TC AB CD EF GH campaigns out there.... it's all good

deleted-U05496RCQ9M
2025-07-22 15:44:53

lol yes we have other open ones

Malissa (malissa@shield-legal.com)
2025-07-22 16:13:55

@deleted-U05496RCQ9M @deleted-U055HQT39PC @deleted-U062D2YJ15Y Ok... annoying question....

How big of a deal are the criteria changes here for AWKO Video Gaming Addiction? If it's not that bad, i can post in the call center channel to make it official.

Please see the below criteria update for the VGA litigation. We are now only accepting cases for minors between the ages of 8 and 17. We will no longer be accepting cases for adults, and dropping out of college is no longer an acceptable affliction. Please let me know if you have any questions.

Thanks, ACCEPT: · Started gaming before the age of 18 AND · Not currently younger than age 8 AND · Not currently older than age 18 AND · Has played the video games listed below for a combined time of at least 2 hours a day for a minimum of 5 weeks · Roblox · Fortnite · Minecraft · Either still playing the above games or has stopped due to receiving treatment · Diagnosed with Video Game Addiction OR · Has one or more of the following conditions: · ADHD/ADD, ODD (Oppositional Defiant Disorder), Gamer’s Rage, Gamer’s Withdrawal, Depression, Anxiety, Panic Disorder, Social Phobia, Treatment for Hypertension, Physical Therapy, Carpal Tunnel, Gamer’s Thumb, Trigger Finger, De Quervain’s Tenosynovitis, Tennis Elbow, Neck Sprain/Herniation, Computer Vision Loss, Computer Vision Syndrome, Seizures, Changes in CT/MRI Brain Scans, Homeschooling due to gaming issues, High School Dropout due to gaming issues, Anti-Social Disorder, Attempted Suicide · Sought medical care or counseling for the adverse effects of Video Game Addiction OR · Has records reflecting educational disruption/harm (e.g., dropout, IEP, 504 Plan) Enhanced Death Criteria: · Must meet all other accept criteria · Suicide must be listed as the cause of death on the death certificate DECLINE: · Did not start gaming before the age of 18 OR · Is currently younger than age 8 OR · Is currently older than 18 OR · Did not play the video games listed below for a combined time of at least 2 hours a day for a minimum of 5 weeks · Roblox · Fortnite · Minecraft · No longer playing the above games by choice and did not receive treatment · Has not been diagnosed with Video Game Addiction OR · Does not have any of the following conditions: · ADHD/ADD, ODD (Oppositional Defiant Disorder), Gamer’s Rage, Gamer’s Withdrawal, Depression, Anxiety, Panic Disorder, Social Phobia, Treatment for Hypertension, Physical Therapy, Carpal Tunnel, Gamer’s Thumb, Trigger Finger, De Quervain’s Tenosynovitis, Tennis Elbow, Neck Sprain/Herniation, Computer Vision Loss, Computer Vision Syndrome, Seizures, Changes in CT/MRI Brain Scans, Homeschooling due to gaming issues, High School Dropout due to gaming issues, Anti-Social Disorder, Attempted Suicide, Suicide · Did not seek medical care or counseling for the adverse effects of Video Game Addiction OR does not possess records reflecting educational disruption/harm (e.g., dropout, IEP, 504 Plan

deleted-U05496RCQ9M
2025-07-22 16:27:38

I can change criteria no problem, it's just going to take me a minute to update the intake form if it's huge changes, but it'll be fine. Let me just crosscheck with current criteria to see if we might need to make a new casetype instead. Can you give me a moment? @Malissa

Malissa (malissa@shield-legal.com)
2025-07-22 16:28:53

yeah no worries.

Malissa (malissa@shield-legal.com)
2025-07-22 16:29:09

if it's going to be a problem/headache, let me know @deleted-U05496RCQ9M

deleted-U05496RCQ9M
2025-07-22 16:30:44

Got it! Reviewing these right now

Malissa (malissa@shield-legal.com)
2025-07-22 16:33:55

y'all.... AZ Abuse for Meadow..... SOON.

deleted-U05496RCQ9M
2025-07-22 16:34:51

so it looks like they're no longer taking microsoft games except minecraft? our current criteria has that they must have played roblox, fortnite, AND microsoft games. if so, i think it would be easiest to make a new campaign

deleted-U05496RCQ9M
2025-07-22 16:35:39

because we have a few questions with lists of games they played on microsoft

Malissa (malissa@shield-legal.com)
2025-07-22 16:36:40

Hmm... let me find out.

Malissa (malissa@shield-legal.com)
2025-07-22 16:37:35

anything else?

deleted-U05496RCQ9M
2025-07-22 16:38:59

College dropout is also removed now too

Malissa (malissa@shield-legal.com)
2025-07-22 16:39:27

that's not too bad right? The biggest one is the list of games?

deleted-U05496RCQ9M
2025-07-22 16:39:51

Yes, so the intake form is going to change significantly

Malissa (malissa@shield-legal.com)
2025-07-22 16:40:04

ok.

Malissa (malissa@shield-legal.com)
2025-07-22 16:40:08

i'll let andy know

deleted-U05496RCQ9M
2025-07-22 16:40:16

because questions will need to be removed regarding the games

deleted-U05496RCQ9M
2025-07-22 16:40:27

since it looks like we're back to taking those 3 games only

Malissa (malissa@shield-legal.com)
2025-07-22 16:42:36

dang... they're gonna get to VGA 6 before GTA 6 comes out.

deleted-U05496RCQ9M
2025-07-22 16:43:21
😂 Malissa
Malissa (malissa@shield-legal.com)
2025-07-22 16:59:18

"The only games we are accepting are Minecraft, Roblox, and Fortnite. That hasn’t changed."

Malissa (malissa@shield-legal.com)
2025-07-22 16:59:22

@deleted-U05496RCQ9M

Malissa (malissa@shield-legal.com)
2025-07-22 16:59:29

aight... sooo.. needs to be just those 3

deleted-U05496RCQ9M
2025-07-22 17:02:25

lol but the criteria they sent us had all of the games so it has changed

Malissa (malissa@shield-legal.com)
2025-07-22 17:02:33

i know

deleted-U05496RCQ9M
2025-07-22 17:02:35

i'm gonna throw myself off the building

deleted-U05496RCQ9M
2025-07-22 17:02:45

so yeah, that's a pretty significant change

Malissa (malissa@shield-legal.com)
2025-07-22 17:08:56

I'll bug Andy about it. He approved their current criteria. Let's go ahead and get the small changes done and if we need to make the changes to the games we can go from there.

Malissa (malissa@shield-legal.com)
2025-07-22 17:09:02

@deleted-U05496RCQ9M

Malissa (malissa@shield-legal.com)
2025-07-22 17:09:27

i have a feeling that everyone has played at least 1 of the 3 games too

Malissa (malissa@shield-legal.com)
2025-07-22 17:10:33

surprisingly i have not played Roblox, Fortnite OR Minecraft

Malissa (malissa@shield-legal.com)
2025-07-22 17:16:38

I don't think we need to change the games really

deleted-U05496RCQ9M
2025-07-22 17:29:28

this was the criteria they gave us btw, because if they're gonna have me change it to only those 2 games, the intake form is going to change significantly

Malissa (malissa@shield-legal.com)
2025-07-22 17:30:05

Yeah i remember. That was the like the 3rd headache they've given me

Malissa (malissa@shield-legal.com)
2025-07-22 17:31:20

We already send them what they want. I just pulled up all the intakes we've sent and all but one has played Fortnite, Minecraft, and Roblox. The odd one hasn't played Minecraft but has with the other two

Malissa (malissa@shield-legal.com)
2025-07-22 17:31:37

Andy approved the current criteria we're using so i'm 90% sure we're fine

Malissa (malissa@shield-legal.com)
2025-07-22 17:32:01

@deleted-U05496RCQ9M

Malissa (malissa@shield-legal.com)
2025-07-22 17:32:03

it will all be ok

deleted-U05496RCQ9M
2025-07-22 17:32:54

So, just to make sure, the current criteria we have is fine, we just need to change the age SOL?

Malissa (malissa@shield-legal.com)
2025-07-22 17:33:55

Go ahead and do the minor changes (like the age part). Use the current games we have. I'll talk with Andy tomorrow

Malissa (malissa@shield-legal.com)
2025-07-23 10:54:55

@deleted-U05496RCQ9M Andy's got a fire he needs to deal with so i might not get a game update today. leave those alone because we're getting the ones they want. I'll let you know if he says to make any changes there.

Go ahead and do the age change and the college dropout change. 🙂

deleted-U05496RCQ9M
2025-07-23 10:56:40

okay, will do

❤️ Malissa
Malissa (malissa@shield-legal.com)
2025-07-28 10:53:33

@here can you guys investigate something? how did this lead get transferred from DL/Flatirons to Meadow? We didn't authorize transfers.

deleted-U05496RCQ9M
2025-07-28 10:58:54

It looks like one of the supervisors approved it

deleted-U05496RCQ9M
2025-07-28 10:58:58

don't know why

deleted-U05496RCQ9M
2025-07-28 10:59:13

there's no note anywhere saying that this was allowed to move. not that i'm seeing anyway

deleted-U05496RCQ9M
2025-07-28 10:59:41
Malissa (malissa@shield-legal.com)
2025-07-28 11:01:08

🤨

deleted-U05496RCQ9M
2025-07-28 11:01:40

🤷‍♀️:skintone3:

Malissa (malissa@shield-legal.com)
2025-07-28 11:10:32

Thank you! I'll see if i can find anything else out.

deleted-U05496RCQ9M
2025-07-28 14:15:07

Hey @Malissa can i please have a signature for burg simpson's field? i only have one for meadow

Malissa (malissa@shield-legal.com)
2025-07-28 14:45:39

i'll let you know as soon as i hear back @deleted-U05496RCQ9M

deleted-U05496RCQ9M
2025-07-28 15:03:11

Thank you

deleted-U05496RCQ9M
2025-07-29 12:20:01

@Malissa Regarding that email about depo-provera for SGGH, is that the new retainer they want us to use just incase we open that campaign back up?

deleted-U05496RCQ9M
2025-07-29 12:20:06

also good morning

Malissa (malissa@shield-legal.com)
2025-07-29 12:20:44

That’s the new one to use if we reopen the campaign. Right now we are at cap so I don’t think we will use it. @deleted-U05496RCQ9M and good morning!

deleted-U05496RCQ9M
2025-07-29 12:22:19

okay! i'll just keep it handy

deleted-U05496RCQ9M
2025-07-29 12:22:23

thank youuuu

Malissa (malissa@shield-legal.com)
2025-07-29 18:41:40

@deleted-U05496RCQ9M @deleted-U055HQT39PC how are we with the new chowchilla setup

deleted-U05496RCQ9M
2025-07-29 18:42:25

Chowchilla is done on our end

Malissa (malissa@shield-legal.com)
2025-07-29 18:42:36

Ok what’s left? Mark?

deleted-U05496RCQ9M
2025-07-29 18:42:49

Mark and Brittany and Dialer stuff

Malissa (malissa@shield-legal.com)
2025-07-29 18:43:13

Cool thank you!

Malissa (malissa@shield-legal.com)
2025-07-30 10:40:56

@deleted-U05496RCQ9M Good morning! I just sent you the signature for burg simpson. if you need a different one let me know. At least she has one letter in hers though. Mine is just a squiggle.

deleted-U05496RCQ9M
2025-07-30 10:42:26

thank you!

deleted-U05496RCQ9M
2025-07-30 11:00:02

@Malissa I was going through the email thread and they mentioned something about the HIPAA & HITECH being signed but not dated, does that mean i shouldn't add any date signed in the HIPAA HITECH?

Malissa (malissa@shield-legal.com)
2025-07-30 11:00:39

yeah that doesn't need to be dated apparently.

Malissa (malissa@shield-legal.com)
2025-07-30 11:00:53

i thought i put that in the call center chat. crap

Malissa (malissa@shield-legal.com)
2025-07-30 11:01:52

wait i did. but the shock of getting AZ docs probably caused it to be missed lol

deleted-U05496RCQ9M
2025-07-30 11:02:36

that's okay, i haven't started mapping the retainer yet because i didn't have both signatures anyway. i was just doing my last sweep of everything to make sure i didn't miss anything

👍 Malissa
Malissa (malissa@shield-legal.com)
2025-07-30 12:21:24

@deleted-U05496RCQ9M @deleted-U055HQT39PC re Chowchilla - ACTS. It's the same retainer as the old one, we just need to make sure Doug Rochen isn't on it FYI. I know it's old. 😕

Malissa (malissa@shield-legal.com)
2025-07-30 14:32:33

@deleted-U055HQT39PC @deleted-U05496RCQ9M how close are we to being ready to go with AZ Juv Hall Burg Simpson Meadow?

deleted-U05496RCQ9M
2025-07-30 14:44:10

I will have it done when i come back from lunch!

❤️ Malissa
deleted-U05496RCQ9M
2025-07-30 14:44:18

I just need to finish mapping the retainer

deleted-U05496RCQ9M
2025-07-30 16:43:14

@Malissa Sobo and I finished our tasks, and the dialer guys are working on their portions now! all that's left after that should be mark and brittany's stuff!

👍 Malissa
deleted-U05496RCQ9M
2025-07-31 10:40:45

@Malissa Acts still want no ssn's to be recorded into the form right?

deleted-U05496RCQ9M
2025-07-31 10:40:49

also good morning!

deleted-U05496RCQ9M
2025-07-31 10:41:18

and do these go to Post Acq?

Malissa (malissa@shield-legal.com)
2025-07-31 10:42:44

yeah they'll go to VSS

Malissa (malissa@shield-legal.com)
2025-07-31 10:42:52

how do we normally handle acts?

deleted-U055HQT39PC
2025-07-31 10:42:58

No ssn

Malissa (malissa@shield-legal.com)
2025-07-31 10:43:03

no ssn

deleted-U05496RCQ9M
2025-07-31 10:43:04

thank you @deleted-U055HQT39PC

Malissa (malissa@shield-legal.com)
2025-07-31 10:43:14

thank you both!~

deleted-U05496RCQ9M
2025-07-31 10:43:15

thank you @Malissa

deleted-U05496RCQ9M
2025-07-31 10:43:19

lol

deleted-U05496RCQ9M
2025-07-31 12:40:58

Hi @Malissa for the Chowchilla 2, since it's a "clone" criteria from the original acts, the original isn't taking VSP or CIW, would this one be the same? only taking chowchilla?

Malissa (malissa@shield-legal.com)
2025-07-31 12:41:33

yeah it's the same. exactly the same.

Malissa (malissa@shield-legal.com)
2025-07-31 12:41:47

I was told to either reopen the old one or create a #2 lol

deleted-U05496RCQ9M
2025-07-31 12:41:49

got it, thank you! ONLY chowchilla

deleted-U05496RCQ9M
2025-07-31 12:41:58

thank you for opting in for the 2nd one lol

deleted-U05496RCQ9M
2025-07-31 12:42:04

cause the questions in the original are atrocious

Malissa (malissa@shield-legal.com)
2025-07-31 12:42:21

it's a small cap... there was a thing with the attorneys... a #2 was safer

deleted-U05496RCQ9M
2025-07-31 12:42:27

yes

deleted-U05496RCQ9M
2025-07-31 17:00:45

@Malissa Hi! For all the campaigns that are currently closed, is there any way that any of those can be moved to a different campaign? That way we can count them as commissionable?

Malissa (malissa@shield-legal.com)
2025-07-31 17:01:33

like all the closed ones?

deleted-U05496RCQ9M
2025-07-31 17:01:38

Yes

Malissa (malissa@shield-legal.com)
2025-07-31 17:01:44

I don't have authorization to move anything else at the moment

Malissa (malissa@shield-legal.com)
2025-07-31 17:01:54

last one i got the ok for was AWD's mormon abuse

Malissa (malissa@shield-legal.com)
2025-07-31 17:02:02

and that was only to AWKO

Malissa (malissa@shield-legal.com)
2025-08-01 11:40:06

@deleted-U055HQT39PC @deleted-U05496RCQ9M @deleted-U062D2YJ15Y

I've got pinkbox donuts if anyone wants one

deleted-U05496RCQ9M
2025-08-01 12:01:12

Thank you!

deleted-U05496RCQ9M
2025-08-01 12:52:42

@Malissa Hey! For this retainer, it looks like the first 6 pages isn't the actual retainer portion but it's for the attorney's to sign for each other. The actual client retainer is around the 7th page. Should I just remove the first 6 pages then?

Malissa (malissa@shield-legal.com)
2025-08-01 12:54:25

arrrrrg hang on

Malissa (malissa@shield-legal.com)
2025-08-01 12:56:36

Ok, make sure i edited that correctly @deleted-U05496RCQ9M

deleted-U05496RCQ9M
2025-08-01 12:57:27

That's perfect, thank you! @Malissa

Malissa (malissa@shield-legal.com)
2025-08-01 12:57:42

yay!

Malissa (malissa@shield-legal.com)
2025-08-01 13:28:22

@deleted-U05496RCQ9M @deleted-U055HQT39PC What's still pending for Milberg Chowchilla?

Malissa (malissa@shield-legal.com)
2025-08-01 13:29:11

Same question for ACTS Chowchilla 2

deleted-U05496RCQ9M
2025-08-01 14:26:31

Looks like we’re waiting on Brittany’s reports for one and for both of them Christian just needs to attach the points so i’ll remind him

deleted-U05496RCQ9M
2025-08-01 14:27:52

also for Hernia Mesh, it says that we won’t accept cases where the sol will exports soon and the state does not allow exceptions, what will we define as soon? and are we getting a retainer for this soon as well? lol

deleted-U05496RCQ9M
2025-08-01 17:59:03

@Malissa Hi can i please have the signature for Aaron law as well?

deleted-U05496RCQ9M
2025-08-01 18:01:30

Can i also please have the original message you sent regarding the NEC? it's not in the newcampaignsetup channel anymore

Malissa (malissa@shield-legal.com)
2025-08-01 18:08:23

weird. it should be

Malissa (malissa@shield-legal.com)
2025-08-01 18:08:27

hang on

deleted-U05496RCQ9M
2025-08-01 18:22:46

@Malissa Is the NEC a rush?

Malissa (malissa@shield-legal.com)
2025-08-01 18:23:36

Well, Mark is on PTO until Monday so not much is happening. I would say NEC should have a little more weight than the two for Aaron at the moment.

Malissa (malissa@shield-legal.com)
2025-08-01 18:23:43

Aaron is probably easier

deleted-U05496RCQ9M
2025-08-01 18:23:52

lol we finished the Aaron ones already

deleted-U05496RCQ9M
2025-08-01 18:30:09

We'll have our portion done on monday. we have to update the intake form since it's so old, that's gonna take me a couple of hours to do

👍 Malissa
Malissa (malissa@shield-legal.com)
2025-08-04 14:09:24

@deleted-U05496RCQ9M @deleted-U055HQT39PC @deleted-U062D2YJ15Y HI!

Malissa (malissa@shield-legal.com)
2025-08-04 14:09:38

Chowchilla 2- ACTS. is it good to go or are we waiting on anything? Looks like it's live?

deleted-U05496RCQ9M
2025-08-04 15:34:57

@Malissa that's open!

❤️ Malissa
deleted-U05496RCQ9M
2025-08-04 15:35:33

Also Tony is asking again if we can move AFFF PFAS Military Base Exposure - Levinson - ELG - MC CA - Shield Legal to AFFF PFAS Military Base Exposure - ELG - Levinson - TC - Shield Legal

deleted-U05496RCQ9M
2025-08-04 15:35:45

and are we getting Hernia Mesh retainer anytime soon?

Malissa (malissa@shield-legal.com)
2025-08-04 15:37:46

hernia mesh - cam is in discussions.

Malissa (malissa@shield-legal.com)
2025-08-04 15:38:18

I don't think we got the ok to move those leads. I'll have to find out

Malissa (malissa@shield-legal.com)
2025-08-05 13:35:45

@here what's keeping AZ - Burg Simpson/Meadow from going live?

deleted-U05496RCQ9M
2025-08-05 13:35:57

it's live!

Malissa (malissa@shield-legal.com)
2025-08-05 13:36:20

weird. i'm not seeing anything. lemme check something

Malissa (malissa@shield-legal.com)
2025-08-05 13:37:59

ok i'm an idiot. I had someone's name in my filter

deleted-U05496RCQ9M
2025-08-05 16:38:03

@Malissa Hi! Do we have retainers for both Riverside and Sacramento yet?

Malissa (malissa@shield-legal.com)
2025-08-05 16:42:56

I do not have them yet. I've reminded Cam

deleted-U05496RCQ9M
2025-08-05 16:51:48

@Malissa also for the rush setup, it says this for the criteria "Limited Time To File For Compensation - Deadline to File is Feb 2 , 2025 to be considered To qualify" does this actually mean Feb 2, 2026??

Malissa (malissa@shield-legal.com)
2025-08-05 16:54:07

Out of an abundance of caution I'm double checking but since the link is from yesterday and just says Feb 2, i'm going to say yes

deleted-U05496RCQ9M
2025-08-05 16:57:08

okay!]

deleted-U05496RCQ9M
2025-08-05 19:31:28

@Malissa hey! Can we move chowchilla acts acts (tip) anywhere?

Malissa (malissa@shield-legal.com)
2025-08-05 19:31:57

The new one? Chowchilla 2?

deleted-U05496RCQ9M
2025-08-05 19:32:05

Okay!

Malissa (malissa@shield-legal.com)
2025-08-05 19:32:06

What happened? We just opened it lol

deleted-U05496RCQ9M
2025-08-05 19:32:13

No wait

deleted-U05496RCQ9M
2025-08-05 19:32:18

it's an old closed one

deleted-U05496RCQ9M
2025-08-05 19:32:33

Chowchilla Womens Prison Abuse - ACTS - ACTS (TIP) - Shield Legal

deleted-U05496RCQ9M
2025-08-05 19:32:41

can we move it at all?

Malissa (malissa@shield-legal.com)
2025-08-05 19:33:04

Ok #2 is just that campaign. I separated it because of Doug Rochen. That’s fine

deleted-U05496RCQ9M
2025-08-05 19:34:01

Thank you!

Malissa (malissa@shield-legal.com)
2025-08-05 19:34:06

No problem

deleted-U05496RCQ9M
2025-08-05 19:42:09

last thing i'm so sorry! We've never taken ssn or DOBs for ACTS but in the Sex trafficking retainer, they want it. do we just go ahead and put them on there?

Malissa (malissa@shield-legal.com)
2025-08-05 19:42:59

If it’s in there yeah

👍:skin_tone_3: deleted-U05496RCQ9M
Malissa (malissa@shield-legal.com)
2025-08-05 19:43:17

It took me a minute to realize what DOBs meant. 🤣 🤣 🤣 🤣 🤣 🤣

deleted-U05496RCQ9M
2025-08-05 19:43:23

oh lol sorry!

Malissa (malissa@shield-legal.com)
2025-08-05 19:43:49

No worries. Any other day I’d know

Malissa (malissa@shield-legal.com)
2025-08-05 19:44:26

Cam says ignore the deadline for that one too

deleted-U05496RCQ9M
2025-08-05 19:44:41

so no deadline?

Malissa (malissa@shield-legal.com)
2025-08-05 19:45:46

Yeah ignore that Feb 2nd thing

👍:skin_tone_3: deleted-U05496RCQ9M
Malissa (malissa@shield-legal.com)
2025-08-06 09:22:45

@deleted-U055HQT39PC @deleted-U05496RCQ9M @deleted-U062D2YJ15Y do we have any status updates for PFAS water contamination- ELG - Aaron?

Malissa (malissa@shield-legal.com)
2025-08-06 09:23:24

Wait I’ve asked that

Malissa (malissa@shield-legal.com)
2025-08-06 09:24:17

But i ask because they’re taking all water not just military

deleted-U05496RCQ9M
2025-08-06 10:06:57

That's already open!

Malissa (malissa@shield-legal.com)
2025-08-06 10:16:56

Hmmmm. For all water right? Not just military?

deleted-U05496RCQ9M
2025-08-06 10:19:38

yes

Malissa (malissa@shield-legal.com)
2025-08-06 10:20:09

Thanks! Means the issue is in leadspedia. I have a lead that should have gone to that one

Malissa (malissa@shield-legal.com)
2025-08-06 10:20:14

And I’m not in yet

deleted-U05496RCQ9M
2025-08-06 10:26:20

Yeah this is what we have on the criteria • PNC was exposed to PFAS contaminated water AND/OR exposed while living on or near a defined military base

Malissa (malissa@shield-legal.com)
2025-08-06 10:27:15

Yeah the issue is with leadspedia. THanks!

Malissa (malissa@shield-legal.com)
2025-08-06 10:27:36

how are we with Dublin?

deleted-U05496RCQ9M
2025-08-06 10:29:25

Dublin just needs minor changes in the intake form to reflect the new criteria and criteria is already changed. So it'll be ready to go, same retainer and everything yeah?

Malissa (malissa@shield-legal.com)
2025-08-06 10:29:52

yeah

Malissa (malissa@shield-legal.com)
2025-08-06 10:30:11

Cam had the leads turned on for it

Malissa (malissa@shield-legal.com)
2025-08-06 10:30:28

And PFAS-Aaron isn't open yet in LP so that's part of the issue. I'm working on that

deleted-U05496RCQ9M
2025-08-06 10:30:32

i'll have it done within the next few minutes here

👍 Malissa
Malissa (malissa@shield-legal.com)
2025-08-06 10:30:38

sweet

Malissa (malissa@shield-legal.com)
2025-08-06 10:30:39

thank you!

deleted-U05496RCQ9M
2025-08-06 18:20:59

@Malissa does the san bernardino not need a hipaa?

Malissa (malissa@shield-legal.com)
2025-08-06 18:24:54

@deleted-U05496RCQ9M do they have a generic hipaa? And have we always had a HIPAA with their SA campaigns?

Malissa (malissa@shield-legal.com)
2025-08-06 18:25:12

I probably ticked these guys off with how many times i called and emailed and texted for a retainer

deleted-U05496RCQ9M
2025-08-06 18:26:20

yeah like this chowchilla one has a hipaa

deleted-U05496RCQ9M
2025-08-06 18:27:12

it's the last page

deleted-U05496RCQ9M
2025-08-06 18:34:56

Should we move forward without a hipaa?

deleted-U05496RCQ9M
2025-08-06 18:35:00

@Malissa

Malissa (malissa@shield-legal.com)
2025-08-06 18:36:01

Let's use their generic one for now.

deleted-U05496RCQ9M
2025-08-06 18:36:14

So just use the one that was sent?

deleted-U05496RCQ9M
2025-08-06 18:36:33

If that's the case, i'll let mark know that we're done

Malissa (malissa@shield-legal.com)
2025-08-06 18:37:01

Yeah i reached out and asked them if they need a hipaa

deleted-U05496RCQ9M
2025-08-06 18:37:07

okay!

Malissa (malissa@shield-legal.com)
2025-08-06 18:37:32

but if we have a basic one, let's use it for now and get it going. worst case they say they don't need it and we take it out

deleted-U05496RCQ9M
2025-08-06 18:38:10

i can try and grab the hipaa from the chowchilla if that works?

deleted-U05496RCQ9M
2025-08-06 18:38:21

cause i don't have one ready

deleted-U05496RCQ9M
2025-08-06 18:38:35

i just have the chowchilla retainer

Malissa (malissa@shield-legal.com)
2025-08-06 18:38:57

hang on

Malissa (malissa@shield-legal.com)
2025-08-06 18:39:18

i think i can get you one

deleted-U05496RCQ9M
2025-08-06 18:39:21

okay

Malissa (malissa@shield-legal.com)
2025-08-06 18:40:50

just make sure it's not case specific. i'm kinda fried lol

deleted-U05496RCQ9M
2025-08-07 10:25:14

@Malissa Good morning! Is NEC Baby Formula 2 open on leadspedia or not yet?

Malissa (malissa@shield-legal.com)
2025-08-07 10:27:45

I'll bug Mark

Malissa (malissa@shield-legal.com)
2025-08-07 10:27:50

@deleted-U05496RCQ9M

deleted-U05496RCQ9M
2025-08-07 10:30:49

gotcha!

Malissa (malissa@shield-legal.com)
2025-08-07 10:34:39

k he just turned it on. all other NECs are off (they already where but he confirmed it)

Malissa (malissa@shield-legal.com)
2025-08-07 10:34:44

everything is AWKO right now

deleted-U05496RCQ9M
2025-08-07 10:34:56

Thank you!!!!

Malissa (malissa@shield-legal.com)
2025-08-07 13:44:34

hi @here how are we with Dublin LOSG?

deleted-U05496RCQ9M
2025-08-07 13:45:08

we opened it!

Malissa (malissa@shield-legal.com)
2025-08-07 13:45:22

oh cool! i didn't see the slack notice

Malissa (malissa@shield-legal.com)
2025-08-07 13:45:26

thanks!

deleted-U05496RCQ9M
2025-08-07 13:45:38

of course!

deleted-U05496RCQ9M
2025-08-07 14:50:33

@Malissa Hey! Can Dublin PLF be moved to the LOSG?

Malissa (malissa@shield-legal.com)
2025-08-07 14:52:16

I’ll find out

Malissa (malissa@shield-legal.com)
2025-08-07 14:52:32

Wow phone autocorrect

deleted-U05496RCQ9M
2025-08-07 15:12:17

@Malissa For the original NEC - Awko campaign, we didn't have any original SOL for deceased PNCs. What should we do for NEC 2? NEC DL had a 1 year death SOL, Legafi had state sol, and AWD Wagstaff also had state sol

Malissa (malissa@shield-legal.com)
2025-08-07 15:46:27

@deleted-U05496RCQ9M negative on Dublin. We're about to restart pride

Malissa (malissa@shield-legal.com)
2025-08-07 15:46:42

As for NEC, see if Carter has that info

deleted-U05496RCQ9M
2025-08-07 15:46:55

gotcha

Malissa (malissa@shield-legal.com)
2025-08-08 16:46:07

@deleted-U05496RCQ9M how are we doing with the setup for the new chowchilla 2 campaign?

Malissa (malissa@shield-legal.com)
2025-08-08 17:17:57

We need to get that set up today

deleted-U05496RCQ9M
2025-08-08 17:20:26

All we need now is to set up the retainer!!

Malissa (malissa@shield-legal.com)
2025-08-08 17:20:56

awsome. eta on that?

Malissa (malissa@shield-legal.com)
2025-08-08 17:21:12

i can give brittany and mark a heads up to get it done asap if needed too

Malissa (malissa@shield-legal.com)
2025-08-08 17:37:58

ok @deleted-U05496RCQ9M i gave mark and brittany a heads up so we can get this one done right away

Malissa (malissa@shield-legal.com)
2025-08-08 17:57:22

I’m heading out. Let me know if you need anything or if there are issues. We’ve got to get that Chowchilla 2 campaign on by EOD per Cam. At least it’s a clone. 🤷‍♀️ @deleted-U05496RCQ9M

deleted-U05496RCQ9M
2025-08-08 18:13:48

It'll be done!

❤️ Malissa
deleted-U05496RCQ9M
2025-08-11 15:01:47

Hello @Malissa, for the Backpage criteria, where it states Injured party MUST BE able to provide proof of financial loss (i.e. lost wages) AND/OR mental healthcare (i.e. medical or pharmacological treatments, etc.) This means any form of lost wages due to being trafficked, right? because we have agents being confused about that and some of the questions they want us to answer on the intake form

Malissa (malissa@shield-legal.com)
2025-08-11 15:10:20

hang on i gotta move this to a different screen for it to make sense

😂 deleted-U05496RCQ9M
Malissa (malissa@shield-legal.com)
2025-08-11 15:14:44

ok i read their original intake doc they sent. Basically they want how long they were being trafficked. because if you're being trafficked, you probably aren't working full time. So if Mary Sue had a 9-5 job but then got trafficked, maybe her hours became less and less or not at all.

Malissa (malissa@shield-legal.com)
2025-08-11 15:14:58

all because she didn't listen to her friends and went on the backpages

deleted-U05496RCQ9M
2025-08-11 15:15:39

So yeah, any loss of wages because she was trafficked

Malissa (malissa@shield-legal.com)
2025-08-11 15:15:43

A proof of that would be like bank statements and paystubs.

deleted-U05496RCQ9M
2025-08-11 15:15:43

gawt it

Malissa (malissa@shield-legal.com)
2025-08-11 15:15:48

exactly

deleted-U05496RCQ9M
2025-08-11 15:15:53

thank you!!

deleted-U05496RCQ9M
2025-08-11 15:16:00

see i knew i was smart

Malissa (malissa@shield-legal.com)
2025-08-11 15:16:08

it's kinda like not being able to work because of a disability.

Malissa (malissa@shield-legal.com)
2025-08-11 15:16:09

YEAH!

deleted-U05496RCQ9M
2025-08-12 11:12:21

good morning, @Malissa! can we take males for backpage as well?

Malissa (malissa@shield-legal.com)
2025-08-12 11:14:58

good morning @deleted-U05496RCQ9M. I'm confused. I don't see anything gender specific in what i sent over?

Malissa (malissa@shield-legal.com)
2025-08-12 11:16:11

i don't see anything gender specific in the criteria. Now, I'm old.... but I think i'm still slightly with it sometimes.

Malissa (malissa@shield-legal.com)
2025-08-12 11:17:46

Are you kids using new terms????

deleted-U05496RCQ9M
2025-08-12 11:17:47

no you're good, that's why i asked cause we didn't specify any genders. i just wanted to make sure before i start letting agents call males

Malissa (malissa@shield-legal.com)
2025-08-12 11:17:55

oh ok

deleted-U05496RCQ9M
2025-08-12 11:17:59

lol

Malissa (malissa@shield-legal.com)
2025-08-12 11:18:01

yeah men can be trafficked too

deleted-U05496RCQ9M
2025-08-12 11:18:06

no new genz terms

Malissa (malissa@shield-legal.com)
2025-08-12 11:18:13

and nonbinary. And trans.

deleted-U05496RCQ9M
2025-08-12 11:18:16

not that i know of anyway

Malissa (malissa@shield-legal.com)
2025-08-12 11:18:19

SEEEE i'm with it.

deleted-U05496RCQ9M
2025-08-12 11:18:25

LOLL

Malissa (malissa@shield-legal.com)
2025-08-12 15:18:52

@deleted-U05496RCQ9M are we doing a welcome letter for Chowchilla Meadow SGGH? and Chowchilla MILBERG SGGH?

Malissa (malissa@shield-legal.com)
2025-08-12 15:19:41

wait.... i have it. nvm

👍:skin_tone_3: deleted-U05496RCQ9M
Malissa (malissa@shield-legal.com)
2025-08-12 17:06:43

@deleted-U05496RCQ9M SGGH wanted to update the welcome letter for Chowchilla with Meadow. (both 1 and 2). All they did was add the logo. Can we start using this one?

I hope you say yes because it took me like ... forever to fix their logo because their dude didn't know how.

deleted-U05496RCQ9M
2025-08-12 17:07:50

the only change was the logos?

Malissa (malissa@shield-legal.com)
2025-08-12 17:08:01

yeah

deleted-U05496RCQ9M
2025-08-12 17:08:07

if so then yeah, that's easy

Malissa (malissa@shield-legal.com)
2025-08-12 17:08:08

SGGH wanted theirs on it

Malissa (malissa@shield-legal.com)
2025-08-12 17:08:11

nice

deleted-U05496RCQ9M
2025-08-12 17:08:16

we'll get it done!\

Malissa (malissa@shield-legal.com)
2025-08-12 17:08:20

Thank you!

deleted-U05496RCQ9M
2025-08-12 17:51:13

Since Chowchilla 2 is open now we can just move 1 to 2 now right?

Malissa Phillips (https://tortintakepros.slack.com/team/U076CKFGXTM)
deleted-U05496RCQ9M
2025-08-12 17:51:19

@Malissa

Malissa (malissa@shield-legal.com)
2025-08-12 17:52:04

Milberg is still open but yeah we can send them to Chowchilla 2

deleted-U05496RCQ9M
2025-08-12 17:52:18

okay! can we just move them to either one?

Malissa (malissa@shield-legal.com)
2025-08-12 17:52:22

man i thought we were going to be closing Milberg today. they want to keep it going

Malissa (malissa@shield-legal.com)
2025-08-12 17:53:46

ehhhh let's stick with milberg for now

Malissa (malissa@shield-legal.com)
2025-08-12 17:53:49

i'll check

deleted-U05496RCQ9M
2025-08-12 17:54:54

So an agent got a millberg sanders but they moved it to Chow 2 and got it signed, is this fine?

deleted-U05496RCQ9M
2025-08-12 17:56:12

@Malissa it got to PD and they noticed the casetype change

Malissa (malissa@shield-legal.com)
2025-08-12 18:11:52

I just talked to luis about it @deleted-U05496RCQ9M. He's going to flag it and alert Tony

👍:skin_tone_3: deleted-U05496RCQ9M
deleted-U05496RCQ9M
2025-08-13 10:47:41

Heyyy @Malissa for PFAS Aaron ELG, they have to know that the water was contaminated right? It can be anywhere as long as they know it was contaminated water

deleted-U05496RCQ9M
2025-08-13 10:47:46

also good morning!

Malissa (malissa@shield-legal.com)
2025-08-13 10:48:38

I think they can agree to being PFAS tested. let me double check.

deleted-U05496RCQ9M
2025-08-13 10:49:25

okay!

Malissa (malissa@shield-legal.com)
2025-08-13 10:49:30

• PNC was diagnosed with a qualifying condition within the past 20 years (2004 or later) • PNC has a KNOWN exposure to PFAS in 1984 or later OR PNC has had a POSITIVE blood test for PFAS OR PNC is willing to undergo a blood test to establish exposure to PFAS

Malissa (malissa@shield-legal.com)
2025-08-13 10:49:40

that's what was on the Baypoint ELG Water contamination one

Malissa (malissa@shield-legal.com)
2025-08-13 10:49:54

So if they strongly suspect... they can agree to have a blood test

Malissa (malissa@shield-legal.com)
2025-08-13 10:50:24

There are all these maps around of PFAS related cancer clusters so we'll probably get a lot of people saying "Yeah I lived near blah blah blah"

deleted-U05496RCQ9M
2025-08-13 10:51:25

oh okay, gotcha. i was looking at the elg levinson criteria cause that's what we were supposed to clone

deleted-U05496RCQ9M
2025-08-13 10:51:33

and it doesn't have that part

deleted-U05496RCQ9M
2025-08-13 10:51:37

should i put that in there

Malissa (malissa@shield-legal.com)
2025-08-13 10:51:40

oh yeah i couldn't remember which. let me look at that one

Malissa (malissa@shield-legal.com)
2025-08-13 10:51:43

hang on a sec

deleted-U05496RCQ9M
2025-08-13 10:52:33

So that criteria was recently changed too

deleted-U05496RCQ9M
2025-08-13 10:52:44

because it was on there before

deleted-U05496RCQ9M
2025-08-13 10:53:03

but we were told to make the criteria the same as the afff-pfas dl

Malissa (malissa@shield-legal.com)
2025-08-13 10:53:04

i'd say leave it as is. Again most people contacting us will be like "yes i lived near this cluster of known exposure."

deleted-U05496RCQ9M
2025-08-13 10:53:10

let me find the message

Malissa (malissa@shield-legal.com)
2025-08-13 10:53:36

cool. Most people with PFAS find out from someone else in the area that they qualified because of whatever

deleted-U05496RCQ9M
2025-08-13 11:00:11

yeah we changed it to be more like dl flatirons afff pfas

Malissa (malissa@shield-legal.com)
2025-08-13 11:00:33

interesting

deleted-U05496RCQ9M
2025-08-13 11:00:37

so we keep it as they have to have a known exposure?

Malissa (malissa@shield-legal.com)
2025-08-13 11:02:27

I might bug Andy on this one.

deleted-U05496RCQ9M
2025-08-13 11:03:27

oh i found it!

deleted-U05496RCQ9M
2025-08-13 11:03:32

this is the message

Malissa (malissa@shield-legal.com)
2025-08-13 11:03:55

see that's what bugs me. there are so many levinson campaigns

Malissa (malissa@shield-legal.com)
2025-08-13 11:07:09

because i think Andy was talling about the OG levinson PFAS

deleted-U05496RCQ9M
2025-08-13 11:07:41

yes that's the one we updated

Malissa (malissa@shield-legal.com)
2025-08-13 11:07:55

k. i'll bug Andy

Malissa (malissa@shield-legal.com)
2025-08-13 11:08:04

hold tight. keep taking stuff tho but hold tight lol

deleted-U05496RCQ9M
2025-08-13 11:08:50

then for aaron it said to clone that criteria

deleted-U05496RCQ9M
2025-08-13 11:08:58

okay

Malissa (malissa@shield-legal.com)
2025-08-13 12:29:07

ok so.... @deleted-U05496RCQ9M.... put Sextortion - SGGH Aaron on the backburner

👍:skin_tone_3: deleted-U05496RCQ9M
deleted-U05496RCQ9M
2025-08-13 13:54:51

@Malissa Do we have the signature for Aaron law?

Malissa (malissa@shield-legal.com)
2025-08-13 13:58:19

not yet. do we absolutely have to have it?

deleted-U05496RCQ9M
2025-08-13 13:59:02

I mean, we have the signatures for Meadow and SGGH and i put it in the retainer. If his signature doesn't need to be there then I'll just proceed

deleted-U05496RCQ9M
2025-08-13 14:03:18

should i just go ahead without it?

deleted-U05496RCQ9M
2025-08-13 15:28:34

for the rush campaign, are we removing every diagnosis and just having Thyroid Disease only?

Malissa (malissa@shield-legal.com)
2025-08-13 15:30:18

How did we do Firefighting Foam Nations/Levinson Thyroid?

Malissa (malissa@shield-legal.com)
2025-08-13 15:31:02

Cam's exact phrase: Criteria is the same EXCEPT we WILL take thyroid diease

Malissa (malissa@shield-legal.com)
2025-08-13 15:31:08

copy pasted

deleted-U05496RCQ9M
2025-08-13 15:38:06

okay

Malissa (malissa@shield-legal.com)
2025-08-13 15:38:13

@deleted-U05496RCQ9M we should update that name. I was looking at the Firefighting Foam one that is just thyroid

deleted-U05496RCQ9M
2025-08-13 15:38:31

yeah that was my concern

deleted-U05496RCQ9M
2025-08-13 15:38:39

i think we don't need thyroid only

Malissa (malissa@shield-legal.com)
2025-08-13 15:38:47

yeah i agree

deleted-U05496RCQ9M
2025-08-13 15:39:00

maybe just AFFF - PFAS Military Base Exposure 2 - Nations - Levinson - Shield Legal

deleted-U05496RCQ9M
2025-08-13 15:39:02

?

Malissa (malissa@shield-legal.com)
2025-08-13 15:39:16

there's a 1 for that one?

deleted-U05496RCQ9M
2025-08-13 15:39:30

wait let me check

deleted-U05496RCQ9M
2025-08-13 15:40:02

nvm

deleted-U05496RCQ9M
2025-08-13 15:40:13

yeah just AFFF PFAS Military Base Exposure - Nations - Levinson - Shield Legal

👍 Malissa
deleted-U05496RCQ9M
2025-08-13 15:40:34

should i just use that name

Malissa (malissa@shield-legal.com)
2025-08-13 15:40:47

i'm down

deleted-U05496RCQ9M
2025-08-13 15:40:59

oki doki

deleted-U05496RCQ9M
2025-08-13 15:41:13

and for the chowchilla you want me to just proceed without aaron's signature?

Malissa (malissa@shield-legal.com)
2025-08-13 15:41:28

lemme bug the firm hang on

👍:skin_tone_3: deleted-U05496RCQ9M
Malissa (malissa@shield-legal.com)
2025-08-13 20:16:12

@deleted-U05496RCQ9M @deleted-U055HQT39PC Hey so on the Levinson Nations PFAS I'mworried

Malissa (malissa@shield-legal.com)
2025-08-13 20:16:27

I'm seeing non-LEvinsonELG Cases being signed

Malissa (malissa@shield-legal.com)
2025-08-13 20:18:00
Malissa (malissa@shield-legal.com)
2025-08-13 20:19:12

We need to make sure we're only doing ELG/Levinson

Malissa (malissa@shield-legal.com)
2025-08-13 20:23:46

i'm sure you guys set it up right. i just have to bring it up here lol

✅ deleted-U055HQT39PC
deleted-U055HQT39PC
2025-08-13 22:26:12

@Malissa I'm getting questions about what type of thyroid disease we're accepting here. Can we get clarification on which ones they will accept? Typically it's been hypothyroidism, hyperthyroidism, and hashimoto's, and graves disease

Malissa (malissa@shield-legal.com)
2025-08-13 22:29:34

@deleted-U055HQT39PC cam only said thyroid disease in his message. I’ll get clarity. I would think it would be the typical ones.

deleted-U055HQT39PC
2025-08-13 22:38:49

That’s what I’m assuming as well. We have had them remove graves and hashimotos before, it can’t hurt to ask now rather than get firm declines later lol

Malissa (malissa@shield-legal.com)
2025-08-13 22:43:59

For sure. I’ll definitely find out.

Malissa (malissa@shield-legal.com)
2025-08-13 22:44:09

Just might be tomorrow since it’s late

deleted-U055HQT39PC
2025-08-13 22:45:08

Yeah no worries, we at least have an idea of what we’ve done in the past so it’s not like intake or pd are flying blind. Appreciate you!

Malissa (malissa@shield-legal.com)
2025-08-13 22:47:00

For sure! I appreciate you guys.

🙌 deleted-U055HQT39PC
deleted-U05496RCQ9M
2025-08-14 10:28:11

@Malissa good morning, i made an announcement about the elg/levinson switcharoo

Malissa (malissa@shield-legal.com)
2025-08-14 10:28:30

Thank you!

Malissa (malissa@shield-legal.com)
2025-08-14 10:28:47

I’m pretty sure it was just confusion. @deleted-U05496RCQ9M you rock

deleted-U05496RCQ9M
2025-08-14 10:29:44

Yeah i told the supervisors about it last night before it opened lol

deleted-U05496RCQ9M
2025-08-14 10:29:57

they must've gotten too excited

deleted-U05496RCQ9M
2025-08-14 10:31:45

also, does this look like something that can help with backpage?

Examples include: • Lost wages: ◦ Pay stubs showing you stopped getting paid after a certain date. ◦ Employment records showing termination or reduced hours linked to the trafficking. ◦ Tax returns showing a drop in income during/after the trafficking period. • Missed work opportunities: ◦ Offer letters or contracts for jobs you couldn’t take because of the trafficking. ◦ Employer letters confirming you missed work due to injuries, legal proceedings, or trauma. • Medical-related work loss: ◦ Doctor’s notes showing you were unable to work due to injuries or mental health issues caused by the trafficking. ◦ Disability paperwork or workers’ compensation claims (if applicable). • Other financial harm: ◦ Bank statements showing large withdrawals or missing funds connected to the trafficking. ◦ Receipts for therapy, rehab, or relocation expenses needed because of the trafficking. Injured party MUST be able to provide documented proof of financial loss — This means they must have verifiable records showing they lost income or suffered financial harm directly due to the trafficking. Acceptable proof includes, but is not limited to: • Pay stubs, tax returns, or employer statements showing reduced or lost wages. • Employment records or job offers that were rescinded or declined because of the trafficking. • Doctor’s notes or medical records showing they could not work due to injuries or trauma caused by the trafficking. • Disability, unemployment, or workers’ compensation documents. • Bank statements or receipts showing out-of-pocket expenses for therapy, relocation, medical care, or other needs resulting from the trafficking.

Malissa (malissa@shield-legal.com)
2025-08-14 10:31:51

Yeah 3 were signed that shouldn't have been. I've got to have them declined

:batt: deleted-U05496RCQ9M
deleted-U05496RCQ9M
2025-08-14 10:32:23

I can also simplify this as well

Malissa (malissa@shield-legal.com)
2025-08-14 10:32:34

you could put "trafficking-related tattoo removal" under other if you want. or phrase that however.

Malissa (malissa@shield-legal.com)
2025-08-14 10:32:37

but i think that can help

deleted-U05496RCQ9M
2025-08-14 10:32:53

an agent made this and it's a little long so i can simplify

deleted-U05496RCQ9M
2025-08-14 10:32:58

okay!

deleted-U05496RCQ9M
2025-08-14 11:44:19

@Malissa Hey! Have we gotten clarification on the thyroid stuff?

Malissa (malissa@shield-legal.com)
2025-08-14 11:44:43

not yet @deleted-U05496RCQ9M

deleted-U05496RCQ9M
2025-08-14 12:59:16

@Malissa Hey hey, what would the firm consider as living near a base? would 3miles or 4 miles be the limit?

Malissa (malissa@shield-legal.com)
2025-08-14 13:00:51

🤔

deleted-U05496RCQ9M
2025-08-14 13:03:45

what do we think lol

deleted-U05496RCQ9M
2025-08-14 13:43:38

@Malissa Hello again! so right now AFFF PFAS Military Base Exposure - Levinson - ELG - TC JP - Shield Legal is still open, but if the pnc has thyroid disease they can also switch this to the Nation one right?

Malissa (malissa@shield-legal.com)
2025-08-14 13:43:55

yes

Malissa (malissa@shield-legal.com)
2025-08-14 13:44:15

ONLY ELG/Levinson lol. not the ELG/Aaron

deleted-U05496RCQ9M
2025-08-14 13:44:29

yes

deleted-U05496RCQ9M
2025-08-14 13:44:55

thank youuu

Malissa (malissa@shield-legal.com)
2025-08-14 13:46:23

regarding the distance question... is there someone that's come up where we need to figure out if that's near or is it just a general question

deleted-U05496RCQ9M
2025-08-14 13:47:01

well sometimes we get pncs who say they lived within 5 miles or more

deleted-U05496RCQ9M
2025-08-14 13:47:08

it's a question that comes up alot

deleted-U05496RCQ9M
2025-08-14 13:48:19

So i wanna get the agents an actual distance limit so we can avoid flags and firm reviews for these as much as we can

Malissa (malissa@shield-legal.com)
2025-08-14 13:51:54

near is so subjective. for me near would be like... 5 miles from my house.

deleted-U05496RCQ9M
2025-08-14 13:52:08

think of it this way

deleted-U05496RCQ9M
2025-08-14 13:52:16

7 miles from the office is Fashion show mall

Malissa (malissa@shield-legal.com)
2025-08-14 13:52:18

BUT to my husband's relatives, near would be the distance from McComb MS to New Orleans

deleted-U05496RCQ9M
2025-08-14 13:52:21

and that's pretty far lol

Malissa (malissa@shield-legal.com)
2025-08-14 13:52:27

"I live near New Orleans" like yeah no you don't.

Malissa (malissa@shield-legal.com)
2025-08-14 13:53:11

yeah see 7 miles isn't near. but then it's like "well, what is 'Near' in terms of scientific data?"

Malissa (malissa@shield-legal.com)
2025-08-14 13:53:30

like a 30 mile radius? a 5 mile radius? ugh

Malissa (malissa@shield-legal.com)
2025-08-14 13:53:36

i'm making this worse

deleted-U05496RCQ9M
2025-08-14 13:53:37

lol

deleted-U05496RCQ9M
2025-08-14 13:53:42

it's okay

deleted-U05496RCQ9M
2025-08-14 13:54:04

we just don't want pnc's thinking like oh i live an hour from the base, that's near

deleted-U05496RCQ9M
2025-08-14 13:54:16

so if we can get like an estimate it would help alot

Malissa (malissa@shield-legal.com)
2025-08-14 13:54:34

you know what's sad though? if they're an hour away and they're the only town near the base, that could be near....

deleted-U05496RCQ9M
2025-08-14 13:54:43

ikr

Malissa (malissa@shield-legal.com)
2025-08-14 13:54:50

is Fort Campbell KY on that list?

Malissa (malissa@shield-legal.com)
2025-08-14 13:56:11

it is 14 miles from Clarksville TN to Fort Campbell KY. Clarksville is synonymous with Fort Campbell. Soldiers live there and all that.

Malissa (malissa@shield-legal.com)
2025-08-14 13:56:15

That would be near.

Malissa (malissa@shield-legal.com)
2025-08-14 13:57:18

i have a neighbor that stationed at Nellis. that's 26 miles.

Malissa (malissa@shield-legal.com)
2025-08-14 13:57:42

yeah i don't think we can define near. it would have to be case by case.

👍:skin_tone_3: deleted-U05496RCQ9M
Malissa (malissa@shield-legal.com)
2025-08-14 14:37:45

@deleted-U055HQT39PC @deleted-U05496RCQ9M Can you guys add /TC to AFFF PFAS Nations Levinson? So it would be AFFF PFAS Military Base Exposure Nations - Levinson - TC

deleted-U05496RCQ9M
2025-08-14 14:40:21

Just a question, since the campaign's already been up an running, it will affect Five9. Won't it also affect integrations and automations if we make this change?

Malissa (malissa@shield-legal.com)
2025-08-14 14:41:02

That's a great question. i don't know about Five9 but i'll bug dustin

deleted-U05496RCQ9M
2025-08-14 15:54:26

@Malissa do we need to attach the hipaa

Malissa Phillips (https://tortintakepros.slack.com/team/U076CKFGXTM)
Malissa (malissa@shield-legal.com)
2025-08-14 15:59:08

i asked Cam @deleted-U05496RCQ9M. I'll let you knw

Malissa (malissa@shield-legal.com)
2025-08-14 15:59:09

know

deleted-U05496RCQ9M
2025-08-14 15:59:23

okay!

deleted-U05496RCQ9M
2025-08-14 15:59:30

I have one ready just in case

❤️ Malissa
Malissa (malissa@shield-legal.com)
2025-08-14 16:00:04

i thought you did!

deleted-U05496RCQ9M
2025-08-14 16:01:14

Yup! So just let me know!

Malissa (malissa@shield-legal.com)
2025-08-14 16:22:08

Have they used a HIPAA with other SA Campaigns?

Malissa (malissa@shield-legal.com)
2025-08-14 16:22:10

@deleted-U05496RCQ9M

deleted-U05496RCQ9M
2025-08-14 16:26:04

Yes

deleted-U05496RCQ9M
2025-08-14 16:26:37

because we ran into an issue before where dl just gave us retainers without hipaas and they yelled at us that the retainer is wrong 💀

deleted-U05496RCQ9M
2025-08-14 16:26:51

that's why i started keeping hipaas on deck

Malissa (malissa@shield-legal.com)
2025-08-14 16:27:15

got it. I'll let them know and tell them we do have one we've used previously for them

👍:skin_tone_3: deleted-U05496RCQ9M
Malissa (malissa@shield-legal.com)
2025-08-14 16:34:04

@deleted-U05496RCQ9M let's use the one we have. I told them we have one and can use it. the response was "Thank you" ... sooooo

Malissa (malissa@shield-legal.com)
2025-08-14 16:34:05

yeah

deleted-U05496RCQ9M
2025-08-14 16:34:19

LOL

deleted-U05496RCQ9M
2025-08-14 16:34:20

okay

Malissa (malissa@shield-legal.com)
2025-08-14 17:41:28

@deleted-U05496RCQ9M i've got updated criteria for Chowchilla ACTS AWD

Malissa (malissa@shield-legal.com)
2025-08-14 17:41:38

I'll post it in the call center channel.

👍:skin_tone_3: deleted-U05496RCQ9M
deleted-U05496RCQ9M
2025-08-14 19:09:11

For this one i just have a couple of questions: • so since they said abuse must have occurred within the last 10 years, are we getting rid of 2009 or later portion and this is the new SOL? • and for the part that says must be able to identify that the perpetrator was a correctional officer, is that the only abuser we're taking?

Malissa Phillips (https://tortintakepros.slack.com/team/U076CKFGXTM)
deleted-U05496RCQ9M
2025-08-14 19:09:34
  1. Perpetrator Identification a. Claimant must be able to identify the perpetrator who was a correctional officer at the time of the abuse
  2. Timing a. The abuse must have occurred within the last 10 years
deleted-U05496RCQ9M
2025-08-14 19:09:38

for these sections

Malissa (malissa@shield-legal.com)
2025-08-15 10:34:56

@deleted-U05496RCQ9M @deleted-U055HQT39PC Good morning! We might need to remind the agents that for Northwell sleep Center it's the Great Neck location only.

deleted-U05496RCQ9M
2025-08-15 10:35:09

It's in the criteria

deleted-U05496RCQ9M
2025-08-15 10:35:17

lol

deleted-U05496RCQ9M
2025-08-15 10:35:28

problem is they don't like to read or can't

deleted-U05496RCQ9M
2025-08-15 10:35:41

also good morning indeed

Malissa (malissa@shield-legal.com)
2025-08-15 10:36:00

hey.... if they got a pulse......

Malissa (malissa@shield-legal.com)
2025-08-15 10:36:16

heck we're so busy maybe we need to start looking into people without pulses....

deleted-U05496RCQ9M
2025-08-15 10:48:19

you're probably right

🤣 Malissa
Malissa (malissa@shield-legal.com)
2025-08-15 10:49:45

🧟

Malissa (malissa@shield-legal.com)
2025-08-15 14:34:00

@deleted-U05496RCQ9M Just remembered the Chowchilla questions. Yes, it's last 10 years and they just want correctional officers.

deleted-U05496RCQ9M
2025-08-15 14:34:17

okay, thank you!

deleted-U05496RCQ9M
2025-08-15 14:34:21

lmao i forgot too

Malissa (malissa@shield-legal.com)
2025-08-15 14:39:31

Yeah you asked like 5 years ago lol

Malissa (malissa@shield-legal.com)
2025-08-15 17:08:58

@deleted-U05496RCQ9M how's it going with those chowchilla updates?

deleted-U05496RCQ9M
2025-08-15 17:10:12

I just finished working on the revised retainers for ACTS so I'm working on it now. Criteria is done, I just need to fix the form to reflect the changes

Malissa (malissa@shield-legal.com)
2025-08-15 17:10:28

what's wrong with acts

deleted-U055HQT39PC
2025-08-15 17:11:02

real question is, what ISN'T wrong with acts...

:cat_roomba_exceptionally_fast: deleted-U05496RCQ9M
deleted-U055HQT39PC
2025-08-15 17:11:06

haha jk.

deleted-U062D2YJ15Y
2025-08-15 17:11:18

Gottem

deleted-U05496RCQ9M
2025-08-15 17:11:41

After being MIA for 3 years these guys finally show up

deleted-U05496RCQ9M
2025-08-15 17:12:23

anyway, I added Danny Abir's signature to every single open ACTS campaign's retainer and removed doug's name

Malissa (malissa@shield-legal.com)
2025-08-15 17:12:34

gotcha

Malissa (malissa@shield-legal.com)
2025-08-15 17:12:47

so that's why they're irritated. i thought that was probably it

deleted-U05496RCQ9M
2025-08-15 17:13:21

also, are we reopening Chow after I'm done?

deleted-U05496RCQ9M
2025-08-15 17:13:28

cause i was told to close it the other day

Malissa (malissa@shield-legal.com)
2025-08-15 17:13:46

yeah i know. when you're done let me know and i'll let cam and andy know the updates are ready

Malissa (malissa@shield-legal.com)
2025-08-15 17:13:50

we'll go from there

deleted-U05496RCQ9M
2025-08-15 17:13:56

okay

Malissa (malissa@shield-legal.com)
2025-08-15 17:14:05

the firm wants to continue

deleted-U05496RCQ9M
2025-08-15 17:21:22

question

deleted-U05496RCQ9M
2025-08-15 17:21:50

since they need to identify the CO that abused them do i still need this in the criteria? • Injured party can provide the full last name of the abuser ◦ AND/OR ◦ Injured party can recognize a picture of the abuser ▪︎ AND/OR ◦ Injured party would recognize the name of the abuser if they heard it ▪︎ AND/OR ◦ Injured party filed a report at the time of the abuse AND can provide a detailed description of the abuser

deleted-U05496RCQ9M
2025-08-15 18:28:50

@Malissa hey sorry i didn't tag you in my earlier message ^

Malissa (malissa@shield-legal.com)
2025-08-15 18:29:16

you're good @deleted-U05496RCQ9M. i saw it and reached out to the firm

deleted-U05496RCQ9M
2025-08-15 18:29:25

okay thank you!

deleted-U05496RCQ9M
2025-08-18 10:13:15

@Malissa Good morning! The answer is probably already a no, but, If a PNC accidentally signed up for either Sacramento or Riverside JDC abuse but they meant to sign up for San Bernardino, can we switch it to an open SB campaign? The DL one is closed though. No, right?

Malissa (malissa@shield-legal.com)
2025-08-18 10:15:15

…. Did we mess up?

Malissa (malissa@shield-legal.com)
2025-08-18 10:15:38

We = intake

deleted-U05496RCQ9M
2025-08-18 10:15:57

I don't think so? I just had an intake coach ask me if that was okay lol

deleted-U05496RCQ9M
2025-08-18 10:17:35

but i figured it's a no since, SB DL is closed

Malissa (malissa@shield-legal.com)
2025-08-18 10:19:24

no is definitely the answer.

Malissa (malissa@shield-legal.com)
2025-08-18 10:19:43

and i have lots of questions as to how it got that far

Malissa (malissa@shield-legal.com)
2025-08-18 10:22:59

@deleted-U05496RCQ9M Answer from AWD on the new chowchilla criteria: Injured party can provide the full last name of the abuser OR Injured party can recognize a picture of the abuser and provide a description OR Injured party filed a report at the time of the abuse

deleted-U05496RCQ9M
2025-08-18 10:30:08

so keep it the same

deleted-U05496RCQ9M
2025-08-18 10:30:50

besides the recognizing the name thing

deleted-U05496RCQ9M
2025-08-18 10:30:52

got it

deleted-U05496RCQ9M
2025-08-18 10:31:20

so the criteria just needs some more slight changes based off of this and we should be ready to go whenever this can open

Malissa (malissa@shield-legal.com)
2025-08-18 10:31:42

sweet

Malissa (malissa@shield-legal.com)
2025-08-18 10:31:49

they just reupped their funds

Malissa (malissa@shield-legal.com)
2025-08-19 10:23:16

@deleted-U05496RCQ9M What's up with Chowchilla - Aaron? Says there is a stuck with retainer docs?

deleted-U05496RCQ9M
2025-08-19 10:23:30

I'm waiting for his signature lol

Malissa (malissa@shield-legal.com)
2025-08-19 10:23:46

arrrrg.

deleted-U05496RCQ9M
2025-08-19 10:24:02

I asked a few days ago if we should just proceed without it idk if you remember lol

Malissa (malissa@shield-legal.com)
2025-08-19 10:24:10

yeah i asked too and didn't get an answer

deleted-U05496RCQ9M
2025-08-19 14:34:17

Malissa i'm a little confused on this one, engaged in sexual touching with who?

Malissa Phillips (https://tortintakepros.slack.com/team/U076CKFGXTM)
Malissa (malissa@shield-legal.com)
2025-08-19 14:35:05

She's basically wanting to say that they weren't just advertised. That they were actually doing sexual acts.

Malissa (malissa@shield-legal.com)
2025-08-19 14:35:23

like they weren't just some creepy ad in the paper. they actually got calls that they were forced to do

deleted-U05496RCQ9M
2025-08-19 14:40:04

okay so i can say that they must have engaged in sexual acts

deleted-U05496RCQ9M
2025-08-19 15:09:17

@Malissa Hey! For this update right here, would this:

  1. Injured party was release from prison or got off probation in the last two years.

Replace: Injured party MUST still be currently incarcerated OR Have been released from Bureau of Prisons custody within the last 23 months from the intake date

In the current criteria?

Malissa Phillips (https://tortintakepros.slack.com/team/U076CKFGXTM)
Malissa (malissa@shield-legal.com)
2025-08-19 15:11:28

@deleted-U05496RCQ9M i'm on a call with Ryan. just a heads up. Yeah they don't want people who are incarcerated right now. part of why they didn't want to do the rep/POA retainer.

Malissa (malissa@shield-legal.com)
2025-08-19 15:11:42

when you make the updates, send it to me and i'll send to the firm

deleted-U05496RCQ9M
2025-08-19 15:12:00

okay I'll resend the criteria update to you for both backpage and dublin

👍 Malissa
deleted-U05496RCQ9M
2025-08-19 15:18:34

wait wrong one for backpage

Malissa (malissa@shield-legal.com)
2025-08-19 16:17:47

@deleted-U05496RCQ9M the V2 Dublin criteria doesn't look to be updated?

Malissa (malissa@shield-legal.com)
2025-08-19 16:18:24

Also, to answer your question in another chat,

deleted-U05496RCQ9M
2025-08-19 16:18:28

let me double check

Malissa (malissa@shield-legal.com)
2025-08-19 16:19:12

make the change to penetration. i can send it to the firm for review

deleted-U05496RCQ9M
2025-08-19 16:19:32

Okay! Let me do that and resend to you

Malissa (malissa@shield-legal.com)
2025-08-19 16:29:32

thank you!

deleted-U05496RCQ9M
2025-08-19 18:40:13

so just to make sure i'm doing this correctly, they only want either penetration or oral as the accepted abuse for dublin? @Malissa

Malissa (malissa@shield-legal.com)
2025-08-19 18:48:40

@deleted-U05496RCQ9M sorry had to step away for a second. Yes, penetration and/or oral.

deleted-U05496RCQ9M
2025-08-20 20:02:32

@Malissa Do you know if we have an SOL for deceased for Social Media teen harm?

Malissa (malissa@shield-legal.com)
2025-08-20 20:16:36

@deleted-U05496RCQ9M I’ll see what I can find out.

👍:skin_tone_3: deleted-U05496RCQ9M
deleted-U05496RCQ9M
2025-08-21 14:45:46

@Malissa So on the original criteria that was posted yesterday for both scenarios they have the PNC as 18 or younger when they became addicted to social media, if they need to be a minor, should i change it to 17 or under?

Malissa Phillips (https://tortintakepros.slack.com/team/U076CKFGXTM)
Malissa (malissa@shield-legal.com)
2025-08-21 14:47:15

yeah. we can send 18 and 19 to the firm for review

Malissa (malissa@shield-legal.com)
2025-08-21 14:47:25

i worked directly with the firm on that^

deleted-U05496RCQ9M
2025-08-21 14:47:37

okay!

deleted-U05496RCQ9M
2025-08-21 14:47:49

i'll send you the revised criteria

👍 Malissa
deleted-U05496RCQ9M
2025-08-21 14:57:54

Quick question just so i'm getting this right, so regardless, if they were over 18 when they got addicted or died, it needs to be sent to firm?

deleted-U05496RCQ9M
2025-08-21 14:58:20

Cause your message just says If they died aged 18 or 19, send for firm review.

Malissa (malissa@shield-legal.com)
2025-08-21 15:06:51

they have to be addicted as a minor

deleted-U05496RCQ9M
2025-08-21 15:10:48

got it send for firm for both addiction and death if over 18

Malissa (malissa@shield-legal.com)
2025-08-21 15:11:25

18 or 19

👍:skin_tone_3: deleted-U05496RCQ9M
Malissa (malissa@shield-legal.com)
2025-08-21 15:11:30

over is no good

Malissa (malissa@shield-legal.com)
2025-08-21 16:16:19

@deleted-U05496RCQ9M i made some updates on the criteria. i put it back to 18 or younger for if they are living. The death thing was where they wanted firm reviews for 18 and 19.

Malissa (malissa@shield-legal.com)
2025-08-21 16:16:31
deleted-U05496RCQ9M
2025-08-21 16:48:30

okay, i'll change the intake form back then

Malissa (malissa@shield-legal.com)
2025-08-21 16:52:05

thank you!

deleted-U05496RCQ9M
2025-08-22 12:09:25

This is still true right? @Malissa we can move them to nations Levinson?

Tony Jones (https://tortintakepros.slack.com/team/U04HFGHL4RW)
Malissa (malissa@shield-legal.com)
2025-08-22 12:11:20

why what's up?

Malissa (malissa@shield-legal.com)
2025-08-22 12:11:32

like that's old old. Where is this old stuff coming from lol

Malissa (malissa@shield-legal.com)
2025-08-22 16:10:52

@deleted-U05496RCQ9M Any updates on Backpage - Levinson?

deleted-U05496RCQ9M
2025-08-22 16:12:48

It's done except making the sec webhook. i made an SEC case type for it but there's no questions in it because we don't have an actual template for it.

deleted-U05496RCQ9M
2025-08-22 16:13:57

This is the same thing for backpage plf regarding the SEC, campaign is made but there is no questions

Malissa (malissa@shield-legal.com)
2025-08-22 16:15:21

gotcha

Malissa (malissa@shield-legal.com)
2025-08-22 16:15:55

can we get levinson ready to start intake at least? i ask because i'm worried pride will fill up quick

deleted-U05496RCQ9M
2025-08-22 16:32:35

I would as mark if he's okay with that portion being marked done since there he's doing that part of the process.

deleted-U05496RCQ9M
2025-08-22 18:18:40

@Malissa So since we're cloning SGGH San Bernardino, I noticed that this specific campaign has an OSOL campaign, are we not making an OSOL?

Malissa (malissa@shield-legal.com)
2025-08-22 18:20:46

I don’t think mark made a leadspedia id for Osol. And I think they weren’t going to continue it. Hold off for now

deleted-U05496RCQ9M
2025-08-22 18:33:37

ok

deleted-U05496RCQ9M
2025-08-25 10:32:16

Good morning, @Malissa do you know if we have a death SOL for any of the backpage campaigns?

deleted-U05496RCQ9M
2025-08-25 17:00:05

Hey @Malissa for the san bernardino pride clone, do they want us to clone DL intake and criteria or AWD/SGGH? DL criteria states no inmate on inmate abuse while AWD/SGGH states that inmate on inmate abuse is fine to accept.

Malissa (malissa@shield-legal.com)
2025-08-25 17:01:06

what did we use for San Bernardino County JDC Abuse - PLF - PLF - Shield Legal?

deleted-U05496RCQ9M
2025-08-25 17:01:21

OMG WAIT

deleted-U05496RCQ9M
2025-08-25 17:01:25

I'M DUB

deleted-U05496RCQ9M
2025-08-25 17:01:28

DUMB**

deleted-U05496RCQ9M
2025-08-25 17:01:32

we do have a plf

Malissa (malissa@shield-legal.com)
2025-08-25 17:01:35

lol it's ok. it's been a long month

deleted-U05496RCQ9M
2025-08-25 17:02:07

ignore me

deleted-U05496RCQ9M
2025-08-25 17:02:16

this day feels like a year

Malissa (malissa@shield-legal.com)
2025-08-25 17:05:34

yeah

deleted-U05496RCQ9M
2025-08-25 18:06:10

We'll have the initial setup for the ones that were given today done tomorrow (for our part anyway)

deleted-U05496RCQ9M
2025-08-25 18:06:25

Since they aren't rushes

deleted-U05496RCQ9M
2025-08-26 17:17:20

@Malissa hey hey, I just wanted to confirm, do we just mark SA clones as approved since they're clones?

Malissa (malissa@shield-legal.com)
2025-08-26 17:18:17

Yeah if it's identical, no changes, just a clone like dolly the sheep.

Malissa (malissa@shield-legal.com)
2025-08-26 17:18:28

or like i need to do to myself just to get stuff done

deleted-U05496RCQ9M
2025-08-26 17:19:40

so we found some of the facilities were either removed or we needed to add some, everything else is identical though, still good?

Malissa (malissa@shield-legal.com)
2025-08-26 17:20:35

like the intake is the same and criteria is basically the same, just different facilities? There is an option for "Other" on the website too if that helps.

deleted-U05496RCQ9M
2025-08-26 17:26:35

intake and criteria are still the same except for some facilities. at least one was removed and one was added.

Malissa (malissa@shield-legal.com)
2025-08-26 17:28:53

cool. we should be ok

deleted-U05496RCQ9M
2025-08-26 18:28:52

@Malissa do you know who we're billing for San Diego Juv Crump Slater Secondary interview?

deleted-U05496RCQ9M
2025-08-26 18:47:00

also do we need an SEC for San Bernardino Juv Detention Abuse (CA JDC Abuse) - ACTS - ACTS - Shield Legal?

Malissa (malissa@shield-legal.com)
2025-08-26 20:05:41

Is there one for the regular one?

deleted-U05496RCQ9M
2025-08-27 10:06:35

No, it doesn't

Malissa (malissa@shield-legal.com)
2025-08-27 10:31:36

eeehhhhhh

Malissa (malissa@shield-legal.com)
2025-08-27 10:31:50

i see no instructions from Cam about Secondary. and ACTS is weird about secondaries

deleted-U05496RCQ9M
2025-08-27 10:39:26

okay then I won't worry about making one then

deleted-U05496RCQ9M
2025-08-27 10:39:38

i have a campaign with no questions in it though, just in case.

Malissa (malissa@shield-legal.com)
2025-08-27 10:40:17

.... ????????? is it like they call in and it's just silence???

Malissa (malissa@shield-legal.com)
2025-08-27 10:40:38

then after x amount of time we go "congrats you won"?

deleted-U05496RCQ9M
2025-08-27 10:40:59

oh no, i just made one thinking we would need it, i just haven't put any questions in it cause i wasn't sure what i would clone for it

Malissa (malissa@shield-legal.com)
2025-08-27 10:41:06

lol ok

deleted-U05496RCQ9M
2025-08-27 10:41:21

buuut if i don't need to do it

deleted-U05496RCQ9M
2025-08-27 10:41:26

then less work for us lol

deleted-U05496RCQ9M
2025-08-27 10:41:43

Everything except crump and acts have SECs

deleted-U05496RCQ9M
2025-08-27 10:41:54

for the new campaigns

Malissa (malissa@shield-legal.com)
2025-08-27 10:43:35

ACTS has done CA JDC Sec in the past

Malissa (malissa@shield-legal.com)
2025-08-27 10:43:54

That's my main concern. but Cam didn't specify

deleted-U05496RCQ9M
2025-08-27 10:44:19

no i meant for the campaigns we have right now, those two are the only ones that don't have SECs

deleted-U05496RCQ9M
2025-08-27 10:44:40

San Diego Juv Detention Abuse (CA JDC Abuse) - Crump - Slater - Shield Legal and San Bernardino Juv Detention Abuse (CA JDC Abuse) - ACTS - ACTS - Shield Legal

Malissa (malissa@shield-legal.com)
2025-08-27 10:44:41

oh yeah. i meant OG ACTS San Bernardino too

deleted-U05496RCQ9M
2025-08-27 10:47:08

oh

deleted-U05496RCQ9M
2025-08-27 10:47:09

also

deleted-U05496RCQ9M
2025-08-27 10:47:27

can we move NEC Baby Formula - LegaFi - LegaFi - Shield Legal to NEC AWKO 2?

deleted-U05496RCQ9M
2025-08-27 10:47:59

We have LegaFi 2 able to move to AWKO 2, just wondering if LegaFi original can be moved too

Malissa (malissa@shield-legal.com)
2025-08-27 10:50:11

@deleted-U05496RCQ9M no Secondaries for ACTS at the moment. I'll let you know.

Malissa (malissa@shield-legal.com)
2025-08-27 10:50:25

Did we close LegaFi 2?

deleted-U05496RCQ9M
2025-08-27 10:51:01

yes that's been closed since the 7th

deleted-U05496RCQ9M
2025-08-27 10:51:15

and we were told that it can move to NEC AWKO 2

Malissa (malissa@shield-legal.com)
2025-08-27 10:51:16

Does Greg know?

Malissa (malissa@shield-legal.com)
2025-08-27 10:51:26

nobody tells me nothin

deleted-U05496RCQ9M
2025-08-27 10:54:36

found it!

deleted-U05496RCQ9M
2025-08-27 10:54:42

yeah he was the one that told us to close it

Malissa (malissa@shield-legal.com)
2025-08-27 10:56:07

HAHAHA i was involved

Malissa (malissa@shield-legal.com)
2025-08-27 10:56:16

I need some fish oil apparently

deleted-U05496RCQ9M
2025-08-27 10:56:53

yeah lol

deleted-U05496RCQ9M
2025-08-27 10:56:57

it's okay

deleted-U05496RCQ9M
2025-08-27 10:57:12

but via osmosis can we switch legafi og to nec 2 as well?

Malissa (malissa@shield-legal.com)
2025-08-27 10:57:31

since we were putting legafi og on legafi 2, yeah

deleted-U05496RCQ9M
2025-08-27 10:57:42

what's funny is

deleted-U05496RCQ9M
2025-08-27 10:57:53

legafi OG is said to move to NEC DL

deleted-U05496RCQ9M
2025-08-27 10:57:56

but that is also closed

Malissa (malissa@shield-legal.com)
2025-08-27 10:58:02

lol

Malissa (malissa@shield-legal.com)
2025-08-27 10:58:07

yeah that thing filled quick

deleted-U05496RCQ9M
2025-08-27 10:58:19

so should be fine to move?

Malissa (malissa@shield-legal.com)
2025-08-27 11:00:07

now i'm all nervous. are agents asking?

deleted-U05496RCQ9M
2025-08-27 11:00:49

last night! i'm not too worried about it honestly, we can keep as is, cause i checked yesterday and there's literally only 3 leads that can be worked on in legafi og

Malissa (malissa@shield-legal.com)
2025-08-27 11:03:37

yeah let's keep as is

Malissa (malissa@shield-legal.com)
2025-08-27 11:04:15

i get notices that random old campaigns get signed PNCs in slack. I panic and then see they were moved. Then i have to go see if it was authorized...

deleted-U055HQT39PC
2025-08-27 11:07:23

@here San Bernardino County JDC Abuse - SGGH - AWD - Shield Legal is the OSOL open???

deleted-U05496RCQ9M
2025-08-27 11:07:31

yes

deleted-U055HQT39PC
2025-08-27 11:07:36

We have people signing this OSOL. Tony is saying no

deleted-U05496RCQ9M
2025-08-27 11:07:47

i'm looking into this right now

deleted-U055HQT39PC
2025-08-27 11:07:55

@Malissa can you confirm please

Malissa (malissa@shield-legal.com)
2025-08-27 11:08:07

Do not sign OSOL

deleted-U05496RCQ9M
2025-08-27 11:08:07

and they also have a new campaign that they told us to build for san diego and san bernardino for In sol and OSOL

Malissa (malissa@shield-legal.com)
2025-08-27 11:08:26

Mark made something for everything CA JDC.

deleted-U055HQT39PC
2025-08-27 11:08:31

@deleted-U05496RCQ9M please fix ASAP

Malissa (malissa@shield-legal.com)
2025-08-27 11:08:37

Because that was Cam's instructions. But we can't do any more OSOL

Malissa (malissa@shield-legal.com)
2025-08-27 11:08:44

for AWD San Bernardino

Malissa (malissa@shield-legal.com)
2025-08-27 11:08:58

at least that's my understanding

deleted-U05496RCQ9M
2025-08-27 11:10:26

i didn't have anyone tell my team to pull the retainer

deleted-U05496RCQ9M
2025-08-27 11:10:39

i'm looking through slack and we didn't close it

Malissa (malissa@shield-legal.com)
2025-08-27 11:10:57

yeah cam just said pause OSOL when i asked. Tony might have different instructions. OSOL shouldnt' be in the dialer though

deleted-U05496RCQ9M
2025-08-27 11:11:11

i'm gonna pull the retainer

deleted-U05496RCQ9M
2025-08-27 11:11:34

should i also pull the retainer for San Bernardino Juv Detention Abuse (CA JDC Abuse) OSOL - AWD - SGGH - Shield Legal that we just built?

Malissa (malissa@shield-legal.com)
2025-08-27 11:11:48

leave that one closed and yeah

Malissa (malissa@shield-legal.com)
2025-08-27 11:11:52

i'm going to confirm with Cam

deleted-U05496RCQ9M
2025-08-27 11:12:13

closing both San Bernardino County JDC Abuse OSOL - SGGH - AWD - Shield Legal and San Bernardino Juv Detention Abuse (CA JDC Abuse) OSOL - AWD - SGGH - Shield Legal

Malissa (malissa@shield-legal.com)
2025-08-27 11:12:32

cool. thank you! I'll let you know if something changes

Malissa (malissa@shield-legal.com)
2025-08-27 11:12:40

i just don't need anyone upset lol

Malissa (malissa@shield-legal.com)
2025-08-27 11:17:04

@deleted-U05496RCQ9M i got two messages i'm copied on from Cam that tell mark not to activate San Bernardino OSOL in Leadspedia and another with Cam saying that he does not think any OSOL campaigns are active. So let's leave it closed

deleted-U05496RCQ9M
2025-08-27 11:22:56

do you know if we have a death SOL for any of the backpage campaigns?

Malissa (malissa@shield-legal.com)
2025-08-27 11:26:32

I haven't gotten one yet

Malissa (malissa@shield-legal.com)
2025-08-27 11:26:35

I'll see what i can find out.

Malissa (malissa@shield-legal.com)
2025-08-27 11:26:49

We pulled the retainer for NEC - DL Flatirons right? Because we got a signup yesterda

Malissa (malissa@shield-legal.com)
2025-08-27 11:26:52

yesterday

deleted-U05496RCQ9M
2025-08-27 11:27:10

yes, there was one approved by tony to get re-signed

Malissa (malissa@shield-legal.com)
2025-08-27 11:32:02

😑

deleted-U05496RCQ9M
2025-08-27 11:51:26

Since we closed the San Bernardino OSOL campaign do we not launch the OSOL campaign for San Diego also?

Malissa (malissa@shield-legal.com)
2025-08-27 11:51:57

yeah let's just leave it in waiting for now

Malissa (malissa@shield-legal.com)
2025-08-27 11:52:04

i don't think we get anything for SD anyway....

Malissa (malissa@shield-legal.com)
2025-08-27 11:52:46

some days i forget that we even have SD...

deleted-U05496RCQ9M
2025-08-27 12:50:26

@Malissa Can "MI Clergy Abuse - SGGH - GLF - Shield Legal" be moved to "MI Clergy Abuse - SGGH - Meadow Law"?

Malissa (malissa@shield-legal.com)
2025-08-27 13:06:08

Just Yih

Malissa (malissa@shield-legal.com)
2025-08-27 13:06:51

I think plain SGGH Meadow is going to be pulled soon. i think.

Malissa (malissa@shield-legal.com)
2025-08-27 13:06:59

the Yih ones will keep going for a bit

deleted-U05496RCQ9M
2025-08-27 13:07:43

Okay, and AFG still no moving leads?

Malissa (malissa@shield-legal.com)
2025-08-27 13:08:06

no not yet. i just asked for more money

deleted-U05496RCQ9M
2025-08-27 13:08:25

so both ghozland and GLF can be moved to Yih?

deleted-U05496RCQ9M
2025-08-27 13:08:30

and that's it

Malissa (malissa@shield-legal.com)
2025-08-27 13:08:51

currently yeah

deleted-U05496RCQ9M
2025-08-27 13:09:01

okay will update

deleted-U05496RCQ9M
2025-08-27 13:37:36

Should I also pull retainer from San Diego County JDC Abuse OSOL - SGGH - AWD - Shield Legal? @Malissa

Malissa (malissa@shield-legal.com)
2025-08-27 13:38:26

let's leave that one in for now @deleted-U05496RCQ9M

deleted-U05496RCQ9M
2025-08-27 13:38:33

okay

Malissa (malissa@shield-legal.com)
2025-08-27 13:38:34

i don't have any instructions to do anything with that one

Malissa (malissa@shield-legal.com)
2025-08-27 13:38:41

And leads are still on

deleted-U05496RCQ9M
2025-08-28 10:14:52

Good morning! Is Michigan Juv Hall Abuse - DL/BG - Flatirons - Shield Legal still active, or does it need to be closed?

deleted-U05496RCQ9M
2025-08-28 10:15:01

@Malissa

Malissa (malissa@shield-legal.com)
2025-08-28 10:43:10

i think DL moved away from BG completely. I'll confirm.

deleted-U05496RCQ9M
2025-08-28 10:44:34

Yeah, because Brittany brought it to my attention since we got a sign i think a couple of days ago. If we do need it close, i need to pull the retainer asap

deleted-U05496RCQ9M
2025-08-28 14:53:52

@Malissa hey for the original WS Mormon, the retainer has a hipaa, do they want that attached to the retainer you sent? also, are the two retainers you sent me the same for the UT one?

Malissa (malissa@shield-legal.com)
2025-08-28 15:00:47

@deleted-U05496RCQ9M We've got the OSOL and the In Statute - same retainer.

Does the HIPAA attached to the original retainer have any other firms on it?

deleted-U05496RCQ9M
2025-08-28 15:01:46

so there's an OSOL and an In Statute retainer? or it's all in one? and here's a ss of the hipaa

Malissa (malissa@shield-legal.com)
2025-08-28 15:02:16

it's the same retainer. i just attached it to each post

deleted-U05496RCQ9M
2025-08-28 15:02:26

ah gotcha

Malissa (malissa@shield-legal.com)
2025-08-28 15:02:31

i do that so when in a year we're like WTF we can look and see it's all together

deleted-U05496RCQ9M
2025-08-28 15:02:36

so all i need to map is one retainer for both, sweet

Malissa (malissa@shield-legal.com)
2025-08-28 15:02:53

That HIPAA should be fine

deleted-U05496RCQ9M
2025-08-28 15:02:57

got it

deleted-U05496RCQ9M
2025-08-28 15:02:59

thank you!

Malissa (malissa@shield-legal.com)
2025-08-28 15:04:06

no prob

deleted-U05496RCQ9M
2025-08-29 13:24:53

just for clarification for San Bernardino campaigns, we have in the criteria "Injured party can provide the name (at least a name or nickname)" can this be a first name or does it have to be the last name or full name? @Malissa

Malissa (malissa@shield-legal.com)
2025-08-29 13:46:10

Injured party can provide the name (at least a name or nickname) of the abuser AND can provide a detailed description of the abuser

That AND is very important here. At this point, they probably know the abusers. So if you say "Jimmy. he's a creepy little white guy with brown hair and one eye" they'll know.

Malissa (malissa@shield-legal.com)
2025-08-29 13:48:06

And my apologies if anyone knows a Jimmy who is a little white guy with one eye and he's actually a cool dude

deleted-U05496RCQ9M
2025-08-29 13:48:31

Yeah, that is part of the criteria, but I wanted to know if we can take any name variation like first names, last names, or nicknames? or is it limited to last name or nicknames?

Malissa (malissa@shield-legal.com)
2025-08-29 13:50:17

Just a name. whatever they remember as long as they can describe them

Malissa (malissa@shield-legal.com)
2025-08-29 13:50:34

like they HAVE to describe them

deleted-U05496RCQ9M
2025-08-29 13:51:40

got it