Cameron Rentch (cameron@internetthings.com)
2025-05-21 12:33:20

@deleted-U05EFH3S2TA @deleted-U06F9N9PB2A @Ralecia Marks @deleted-U055HQT39PC @deleted-U04HFGHL4RW we will be starting a VGA sextortion campaign for AWD/Anapol. Please note the following:

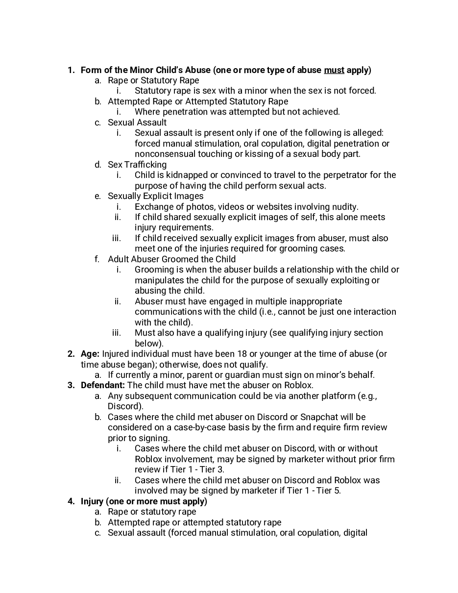
Our original intake itself is longer than their secondary interview The base criteria is generally the same as our prior campaign, with the exception that only roblox (and a couple of other platforms) I have attached their criteria (@deleted-U055HQT39PC has some updated clarification on some items) I have attached their scondary interview questions(and required values) I have attached our prior criteria We are expecting a very high volume campaign (150-200 contracts per week)

We need to determine which direction to proceed with this campaign:

A) create ONE intake that contains all of their questions (including secondary interview q's), having intake complete all and then VSS verfiying and/or collecting/elborating on acquired data during another call with signed claimant B) create shorter intake, with required questions to confirm claimant meets criteria, and creating a secondary interview based on their quesionairre that VSS team with complete during a secondary interview

Can you all please connect and provide me with the recommendation ASAP? Thank you

👍:skin_tone_3: deleted-U05EFH3S2TA
deleted-U05EFH3S2TA
2025-05-21 12:45:19

@Cameron Rentch B is the correct path forward in my opinion. Due to the sensitive nature of the case, it would be wiser to simply "qualify" them in intake and allow VSS to did into the details and provide documentation.

✅ deleted-U055HQT39PC, Ralecia Marks
Cameron Rentch (cameron@internetthings.com)
2025-05-21 12:49:22

@deleted-U05EFH3S2TA @deleted-U055HQT39PC seems to make sense, we need to have things set up so that any data we collect in intake that is redundant in secondary interview is AUTO POPULATED. We need to also set up as many questions possible with drop downs to streamline intake and secondary interviews

deleted-U055HQT39PC
2025-05-21 12:51:18

I agree. We can use the same custom IDs so that the info can auto populate and we'll have as much as possible as drop downs in both

🙌 Cameron Rentch
deleted-U06F9N9PB2A
2025-05-21 13:16:47

I tend to think dividing the information they want in total up.... its wiser to get the information that is data heavy _ drs names addresses etc from the intake where it is a longer call. I think VSS time is best utilized hitting hard w. actual abuse accounts, impact, diagnoses, etc but the set up longer details falling before it gets to us. I would like to implement tiering from the jump to replicate VGA process internally so logistics are organized from the moment it hits PD to accommodate high volume.

👍:skin_tone_3: deleted-U05EFH3S2TA
👍 Ralecia Marks, deleted-U055HQT39PC
deleted-U06F9N9PB2A
2025-05-21 13:17:22

I think also being clear on how they intend to strategically link damages to the sextortion would be helpful while setting this up for less barriers. VGA-VGA DX-MED Records debacle.

deleted-U06F9N9PB2A
2025-05-21 13:17:51

I like the auto pop idea to cut down on redundancy

deleted-U05EFH3S2TA
2025-05-21 13:23:30

I agree with Alex on the data heavy information being included in the Intake and allowing the VSS to focus on their areas of expertise.

✅ deleted-U055HQT39PC
deleted-U055HQT39PC
2025-05-21 14:00:27

@Cameron Rentch do we need a separate campaign for their 3rd party leads or are those just going straight to the SEC?

deleted-U06F9N9PB2A
2025-05-21 14:10:40

i would suggest a 3rd campaign..... we dont know what info they have, if they are qualified, if they are real.....so maybe the old batch, handle differently. they want the secondary that's okay but just in treating the process wisely with manpower differently.

deleted-U06F9N9PB2A
2025-05-21 14:11:23

sorry meant treating the old leads as a different campaign.

deleted-U06F9N9PB2A
2025-05-21 14:11:51

this way data grab of metrics for our work will not be comingled with the batch of leads that will be handled totally internally.

🙌 deleted-U055HQT39PC
👍:skin_tone_3: deleted-U05EFH3S2TA
deleted-U05EFH3S2TA
2025-05-22 15:09:45

@Cameron Rentch @deleted-U055HQT39PC @deleted-U06F9N9PB2A We will want to report separately based on 3rd party intake vs TIP Intake, so it would make sense to keep them separated.

Cameron Rentch (cameron@internetthings.com)
2025-05-22 17:23:14

ageed @deleted-U05EFH3S2TA @deleted-U06F9N9PB2A @deleted-U055HQT39PC ^

✅ deleted-U055HQT39PC