Cameron Rentch (cameron@internetthings.com)
2024-07-24 11:44:55

@deleted-U04HFGHL4RW @deleted-U055HQT39PC please post me the following at your earliest convenience:

Toxic Baby Food -original criteria provided -intake template (no firm names)

Video Game Addiction -intake template (no firm names) most recent update

🫑 deleted-U055HQT39PC
deleted-U055HQT39PC
2024-07-24 12:09:42
deleted-U055HQT39PC
2024-07-24 12:09:50

@Cameron Rentch @deleted-U04HFGHL4RW

Cameron Rentch (cameron@internetthings.com)
2024-09-09 15:39:38

@deleted-U04HFGHL4RW @deleted-U055HQT39PC here are some notes from Simmons Cooper with Bard Powerport. Lets discuss with this later today after you have reviewed

Please see below from our team. It seams that the majority of cases coming over are Unsure whether they have the bard or angio. In our experience, it is usually a small percentage of people who are unsure. Could you please look into this along with the other things listed below? Thanks!

We’re having issues with identifying the brand. They have two questions they are using for this: β€œDid the PNC have a Bard PowerPort or AngioDynamics implanted?” - They are answering this question as a Y/N question (not specifying which brand), or most they are answering as β€œUnsure between Bard PowerPort and Angio Dynamics” as if the person knows they have one of these two brands but not sure which one, which seems odd that so many people would answer that way. They have a follow-up question β€œWhich model of catheter was used on the injured party?” this sometimes will include the brand, but again there are times they say Y to the first question β€œDid the PNC have a Bard PowerPort or AngioDynamics implanted?” and then Unsure to the next question β€œWhich model of catheter was used on the injured party?” Our plan is to mark as unsure unless they list the brand in one of these questions, but it seems odd so many people would say β€œI don’t know what I have but I know it’s one of those two brands.” It would be preferred if they would answer the question as Bard PowerPort, AngioDynamics, Unsure, or None of these We’re having issues with some of the diagnosis questions: One of their questions is, β€œDid the implant port system…:” and answers are: i. β€œLeak” ii. β€œCause blood clots, infection, or a pulmonary embolism” – it’s not clear which of these things happened since all 3 are included in the answer There is another question, β€œWas the injured party diagnosed with…” it seems like there is a list to pick from, but when there is more than one on the list, the answer that comes through is, β€œ2 or more of the diagnoses” not saying what any of the diagnoses are. We are having issues knowing the dates. There are three questions for the diagnosis dates, but it’s not clear which complication any of the dates correspond to: i. β€œOn what date did the complication(s) occur?” ii. β€œAdditional complication date:” iii. β€œAdditional complication date:”

🫑 deleted-U055HQT39PC
deleted-U055HQT39PC
2024-09-09 18:39:36

Bard PowerPort - Bay Point - Simmons - Shield Legal

Questions changed: Did the PNC have a Bard PowerPort or AngioDynamics implanted? (MUST BE YES OR UNSURE) <<Custom21118>> β€’ changed options to: β—¦ Yes - Bard PowerPort β—¦ Yes - AngioDynamics β—¦ Unsure between Bard PowerPort and Angio Dynamics β—¦ Neither - DQ Did the implant port system: (MUST BE ONE OF THE FOLLOWING) <<Custom21119>> β€’ changed options to: β—¦ Cause infection(s) β—¦ Select β—¦ Fracture β—¦ Leak β—¦ Migrate β—¦ Cause blood clots β—¦ Cause infection(s) β—¦ Cause a pulmonary embolism β—¦ None - DQ β€’ From: On what date did the complication(s) occur? <<Custom8016>> β—¦ To: When was the injured party diagnosed? <<Custom8016>> β€’ From: Additional complication date: <<Custom8017>> β—¦ To: Diagnosis 2 date: <<Custom8017>> β€’ From: Additional complication date: <<Custom8018>> β—¦ To: Diagnosis 3 date: <<Custom8018>> Question added: If the injured party was diagnosed with 2 or more of the diagnoses listed, list all of the diagnoses <<Custom21901>>

Cameron Rentch (cameron@internetthings.com)
2024-09-10 13:44:46

@deleted-U055HQT39PC @deleted-U04HFGHL4RW wait. This doesn’t see right.

They WILL accept if Unsure of brand type. Remove the β€œunsure between bard and angio”. It should simply be β€œunsure of device brand” and those are accepted.

Cameron Rentch (cameron@internetthings.com)
2024-09-10 13:45:50

First q should be Does PNC have a powerport catheter impalmated ? Yes or no Then what brand is your powerport catheter

🫑 deleted-U055HQT39PC
Cameron Rentch (cameron@internetthings.com)
2024-09-10 13:45:58

@deleted-U055HQT39PC @deleted-U04HFGHL4RW

deleted-U055HQT39PC
2024-09-10 13:47:29

@Cameron Rentch we are updating now, thank you

deleted-U055HQT39PC
2024-09-10 13:57:23

@Cameron Rentch @deleted-U04HFGHL4RW Options changed so it says β€œUnsure of Brand” Question added Y/N about the catheter implanted at the top

deleted-U055HQT39PC
2024-09-10 17:24:24

@Cameron Rentch @deleted-U04HFGHL4RW In regards to Powerport: Bay Point is asking for the following questions that we do not have in our intake form: Injured Party Gender Cause of Death In which state did the injured die? Was the device implanted within the past 10 years? In what state was the device implanted? When did the device fracture, leak, or migrate? Did you need additional surgery to remove the defective device? When did the surgery occur? These questions came from the Integrations team from Bay Point, we can add them to the intake. I just wanted to check with you guys first before making any changes. Thank you.

Cameron Rentch (cameron@internetthings.com)
2024-09-17 18:52:58

@deleted-U055HQT39PC do we have a stock fraud dicello intake template ready for review?

Cameron Rentch (cameron@internetthings.com)
2024-09-17 18:53:02

@deleted-U04HFGHL4RW ^

deleted-U055HQT39PC
2024-09-17 18:54:11

@Cameron Rentch yes we have that completed

Cameron Rentch (cameron@internetthings.com)
2024-09-17 18:54:28

can you post here please?

Cameron Rentch (cameron@internetthings.com)
2024-09-17 18:54:36

word format thank you

Cameron Rentch (cameron@internetthings.com)
2024-09-17 18:58:32

@deleted-U055HQT39PC ^

deleted-U055HQT39PC
2024-09-17 19:02:47

@Cameron Rentch @deleted-U04HFGHL4RW

Cameron Rentch (cameron@internetthings.com)
2024-09-18 18:17:19

@deleted-U04HFGHL4RW @deleted-U055HQT39PC here is the most updated document with case types...

https://docs.google.com/spreadsheets/d/1ynW_-g3ddml10seoSv7u9mJzGY-84EHipYFjweJINvo/edit?usp=sharing

Cameron Rentch (cameron@internetthings.com)
2024-09-19 15:24:42

@deleted-U055HQT39PC can you please post intake template for Illinois Juv Abuse, PDF and mark "confidential"?

πŸ‘€ deleted-U055HQT39PC
deleted-U055HQT39PC
2024-09-19 15:34:11

@Cameron Rentch do you want this with like the CSP/VSS Tabs? Or just the intake

deleted-U055HQT39PC
2024-09-19 15:36:41

This one has CSP Tabs for Secondary Interview Prep

Cameron Rentch (cameron@internetthings.com)
2024-09-19 15:39:34

great @deleted-U055HQT39PC ^

πŸ™Œ deleted-U055HQT39PC
deleted-U055HQT39PC
2024-09-25 15:08:24

@Cameron Rentch @deleted-U04HFGHL4RW Brian O - DL asked for Form Fields to be changed for Stock Fraud in our meeting

deleted-U055HQT39PC
2024-09-25 15:36:35

Q5 Are you interested in joining a case: Request is to change it to Are you interested in speaking to an attorney

Cameron Rentch (cameron@internetthings.com)
2024-09-25 18:59:47

@deleted-U055HQT39PC I’ll work on it.

Cameron Rentch (cameron@internetthings.com)
2024-10-24 13:34:35

@deleted-U04HFGHL4RW @deleted-U055HQT39PC call to review Bard powerport issues at 12 in storm trooper, please plan to be here early, set up[ conf monitor and make sure you have all of the return requests and emails from Simmons

deleted-U04HFGHL4RW
2024-10-24 13:37:03
deleted-U055HQT39PC
2024-10-24 14:35:24
Cameron Rentch (cameron@internetthings.com)
2024-10-24 15:37:40

awesome @deleted-U055HQT39PC really great work on this

πŸ™Œ deleted-U055HQT39PC
deleted-U055HQT39PC
2024-10-26 11:24:43

Hey @Cameron Rentch & @deleted-U04HFGHL4RW, I tested my automation for Ethylene and here is what I found:

  1. I can change the email body to only show the relevant facility questions (IF Facility hides Occupation exposure & Vice Versa)
  2. Automation can change the status to Final
  3. Sends retainer, Intake Form PDF, & CSV The only thing that cannot be altered is the Intake Form PDF and CSV, that still sends everything in the Intake Form but we can at least change the email body to the relevant facility info. Please let me know if you guys want to run with this, Thank you
Cameron Rentch (cameron@internetthings.com)
2024-10-26 11:36:10

let's do that @deleted-U055HQT39PC and let's work with lawruler to see how we can use conditional logic when building the intakes to only populate the PDF based on fields that are relevant and completed. Thanks and keep up the great work!

πŸ™Œ deleted-U055HQT39PC
Cameron Rentch (cameron@internetthings.com)
2024-11-04 20:39:02

@deleted-U055HQT39PC @deleted-U04HFGHL4RW can you please post the following for me asap in the am?

Nursing Home Abuse Criteria (No firm name info) Birth injury Criteria (No firm name info) Nursing home Intake template (no firm name) Birth Injury Intake template (no firm name)

Cameron Rentch (cameron@internetthings.com)
2024-11-05 12:53:37

@deleted-U055HQT39PC @deleted-U04HFGHL4RW please see email I just sent regarding ACTS needing copies of retainers in word doc

βœ… deleted-U055HQT39PC
Cameron Rentch (cameron@internetthings.com)
2024-11-05 12:54:19

also @deleted-U04HFGHL4RW note that Doug is out and completely unavailable for the next 30-45 days, so all communication needs to go to Danny if something is needed

deleted-U055HQT39PC
2024-11-14 17:30:17

@Cameron Rentch @deleted-U04HFGHL4RW For Mortgage Race Lawsuit Class Rep - Crump - Lanier - Shield Legal We have 3 Finals for Florida (Our cap is 4 per state) With 20 remaining in contact attempted for Florida as the state of residence from the Form Fields tab.

Cameron Rentch (cameron@internetthings.com)
2024-11-14 18:36:46

great @deleted-U055HQT39PC thank you!

πŸ™Œ deleted-U055HQT39PC
Cameron Rentch (cameron@internetthings.com)
2024-11-14 18:37:02

can you please post the Google sheet @deleted-U055HQT39PC

🫑 deleted-U055HQT39PC
deleted-U055HQT39PC
2024-11-14 18:56:25

@Cameron Rentch the States tab will show each state and how many signed and finals are there. Automation tab shows a list of lead ids and their status.

πŸ™Œ Cameron Rentch
Cameron Rentch (cameron@internetthings.com)
2024-11-21 18:12:30

@deleted-U055HQT39PC can you please send me the link you created for the daily report for each intake staff

βœ… deleted-U055HQT39PC
deleted-U055HQT39PC
2024-11-21 18:13:59

"Agents" tab @Cameron Rentch

Cameron Rentch (cameron@internetthings.com)
2025-01-10 11:59:49

please post me word doc for PFAS criteria asap for DL/Flations

Cameron Rentch (cameron@internetthings.com)
2025-01-10 11:59:57

@deleted-U055HQT39PC ^ @deleted-U04HFGHL4RW ^

deleted-U055HQT39PC
2025-01-10 12:14:28

@Cameron Rentch @deleted-U04HFGHL4RW

Cameron Rentch (cameron@internetthings.com)
2025-01-14 17:47:06

@deleted-U04HFGHL4RW we can move all thyroid disease leads to open ELG campaigns.

πŸ™Œ deleted-U055HQT39PC
Cameron Rentch (cameron@internetthings.com)
2025-01-14 17:47:17

@deleted-U055HQT39PC

deleted-U055HQT39PC
2025-01-14 17:55:27

@Cameron Rentch @deleted-U04HFGHL4RW Posting to agents now

deleted-U04HFGHL4RW
2025-01-14 18:02:01

OK

Cameron Rentch (cameron@internetthings.com)
2025-01-22 12:56:50

@deleted-U055HQT39PC @deleted-U04HFGHL4RW fix asap Crump/Andrews

deleted-U055HQT39PC
2025-01-22 13:19:31

@Cameron Rentch @deleted-U04HFGHL4RW Looking into this, auditing the files sent over. I know we did add the initials after the last email

deleted-U055HQT39PC
2025-01-23 12:28:09

@here Want to confirm the BCL LA Wildfire criteria updates are only for the Shield campaign. Desiree is asking us to sign up everything on the BLX campaign. Making sure this is ok.

Cameron Rentch (cameron@internetthings.com)
2025-01-23 12:50:17

Yes correct @deleted-U055HQT39PC

deleted-U055HQT39PC
2025-01-23 12:51:18

Awesome thank you

Cameron Rentch (cameron@internetthings.com)
2025-01-23 15:24:55

thanks @deleted-U055HQT39PC

πŸ™Œ deleted-U055HQT39PC
deleted-U055HQT39PC
2025-01-28 15:05:22

@Cameron Rentch @deleted-U04HFGHL4RW Mark Mina is asking us to use the Personal Injury retainer (currently being used for auto accidents) for the LA Wildfire Personal Injury claims We are working on that now, we'll post guidance to the agents

Cameron Rentch (cameron@internetthings.com)
2025-01-28 17:51:53

thanks @deleted-U055HQT39PC

πŸ™Œ deleted-U055HQT39PC
deleted-U055HQT39PC
2025-01-31 21:31:40

Hey guys, I made this for the Stock Fraud Report. Stock Fraud Report It's done through Looker Studio, I shared access with both of you. Right now I'm sending out an Excel file, if we'd prefer to send out something like this we can absolutely do it. Thank you.

Cameron Rentch (cameron@internetthings.com)
2025-02-01 11:25:42

Awesome @deleted-U055HQT39PC

Cameron Rentch (cameron@internetthings.com)
2025-02-07 10:04:43

@deleted-U04HFGHL4RW @deleted-U055HQT39PC are all of the California juvenile hall cases for DL Faltirons with ACTS?

Cameron Rentch (cameron@internetthings.com)
2025-02-07 10:05:10

I do not think DL flatirons has any on their own

Cameron Rentch (cameron@internetthings.com)
2025-02-07 10:05:16

Please check ASAP

deleted-U055HQT39PC
2025-02-07 10:09:29

@Cameron Rentch we only have 1 and it’s ACTS DL Flatirons.

Cameron Rentch (cameron@internetthings.com)
2025-02-07 10:13:32

Great thank you

deleted-U055HQT39PC
2025-02-07 10:48:51

@Cameron Rentch @deleted-U04HFGHL4RW The case type was initially called CA Juv Hall Abuse - DL - Flatirons - Shield Legal, now it's called CA Juv Hall Abuse - ACTS - DL Flatirons - Shield Legal Retainer has always had ACTS, distro was set up for ACTS and DL from the start.

deleted-U055HQT39PC
2025-02-07 10:51:32

11/22/2024 was when we corrected the name in Law Ruler. This was a request from Alan, I spoke to Ryan about it and he approved the name change for his dashboard.

Cameron Rentch (cameron@internetthings.com)
2025-02-20 09:45:04

@deleted-U04HFGHL4RW this was sent via email yesterday.,

Salon Professional Bladder Cancer - Dicello - Mary Williams 323052

However, here are the notes from it. What is the status here?

his is the lead. Look at the E Sign date on the retainer. I saw the email as well. The lead was created 11192023 but the case was "approved by firm" and then a "signed e sign" was re assigned today so it re triggered the email.

deleted-U04HFGHL4RW
2025-02-20 10:48:59

This case was sent in previously as signed but please review. They let Brittany know that they have taken the case. We moved the status into final.

Cameron Rentch (cameron@internetthings.com)
2025-02-20 11:12:17

What about this one: Salon Professional Bladder Cancer - Dicello - Debra Matarazzo 321897

Cameron Rentch (cameron@internetthings.com)
2025-02-20 11:13:49

@deleted-U04HFGHL4RW just saw this one emailed and not post into channel either

Cameron Rentch (cameron@internetthings.com)
2025-02-20 11:14:07

make sure all of these get moved to DL Fflatirons

deleted-U04HFGHL4RW
2025-02-20 12:58:41

This is another signed and sent a while ago. Letting them know to review it. They told Brittany it is good yesterday. We will move it to DL flatirons

deleted-U055HQT39PC
2025-03-05 10:59:15

@Cameron Rentch @deleted-U04HFGHL4RW Hey guys, not sure if you remember our convo from last month 02/07/2025 The CA Juv Hall DL - Flatirons have always had ACTS

Cameron Rentch (cameron@internetthings.com)
2025-03-05 11:24:58

I will get new retainer

πŸ™Œ deleted-U055HQT39PC
deleted-U055HQT39PC
2025-03-24 12:45:21

@Cameron Rentch @deleted-U04HFGHL4RW I'm working on the BCL report to send automatically It's here - BCL Report I have a couple of questions @Cameron Rentch is this for the BCL - BLX campaigns only? Or are we doing Shield too? I should be able to have this sending an email body (not an attachment)

Cameron Rentch (cameron@internetthings.com)
2025-03-24 12:49:39

@deleted-U055HQT39PC this is for all organic cases only for BCL

βœ… deleted-U055HQT39PC
deleted-U055HQT39PC
2025-03-24 12:52:19

@Cameron Rentch thank you. I can have the report look almost identical, I added a few questions to the BCL - BLX campaigns over the weekend to capture some info as they have it.

Cameron Rentch (cameron@internetthings.com)
2025-03-24 13:11:53

@deleted-U055HQT39PC this looks great. Are you able to set up autmations to have the daily emailed every day, the weekly every friday(for the week), and have the figures/tables in the body of the email and not as an attachment?

deleted-U055HQT39PC
2025-03-24 13:15:27

@Cameron Rentch yes, I'm putting all the formulas in to make it auto populate based off date. I'm writing a script so it sends the daily in the body of the email and then the same thing for the weekly. I just need to know where to send it but the first one will be ready today.

Cameron Rentch (cameron@internetthings.com)
2025-03-24 13:22:47

great! Please send a "test" version of daily (what you have above) to the following:

Jon@bencrump.com Jarret@bencrump.com Brendan@bencrump.com Desiree@bencrump.com Andy@shield-legal.com me

deleted-U055HQT39PC
2025-03-24 19:55:27

@Cameron Rentch I sent out the test. I'll send out the final report EOD around 830

deleted-U055HQT39PC
2025-03-27 13:56:43

@here I did find an intake for Kristen Perry, the PNC Paula from ACTS sent us. Intake form is completed, retainer is signed. Lead ID 637314

deleted-U055HQT39PC
2025-03-27 13:57:59

Chowchilla Womens Prison Abuse - ACTS - Crump - Shield Legal Signed e-Sign FINAL Was sent to: bencrumpcases@bencrump.com

Cameron Rentch (cameron@internetthings.com)
2025-03-27 17:22:36

thanks @deleted-U055HQT39PC

deleted-U055HQT39PC
2025-04-30 13:11:16

@here Hey guys, I made this sheet to show any discrepancies from Leadspedia to Law Ruler/Leadpool. Leadspedia and Leadpool Match This is from a Leadspedia report for 4/29/2025 817/825 were a match 4 were duplicates posting into the same Law Ruler Lead ID (These have multiple Leadspedia IDs in Law Ruler Case Description) 4 were Texas Motor Vehicle Accidents - Ben Crump Law/TT (BLX) (TIP) - Contract Let me know if you guys want to see anything else here. Thank you.

Cameron Rentch (cameron@internetthings.com)
2025-05-19 17:37:20

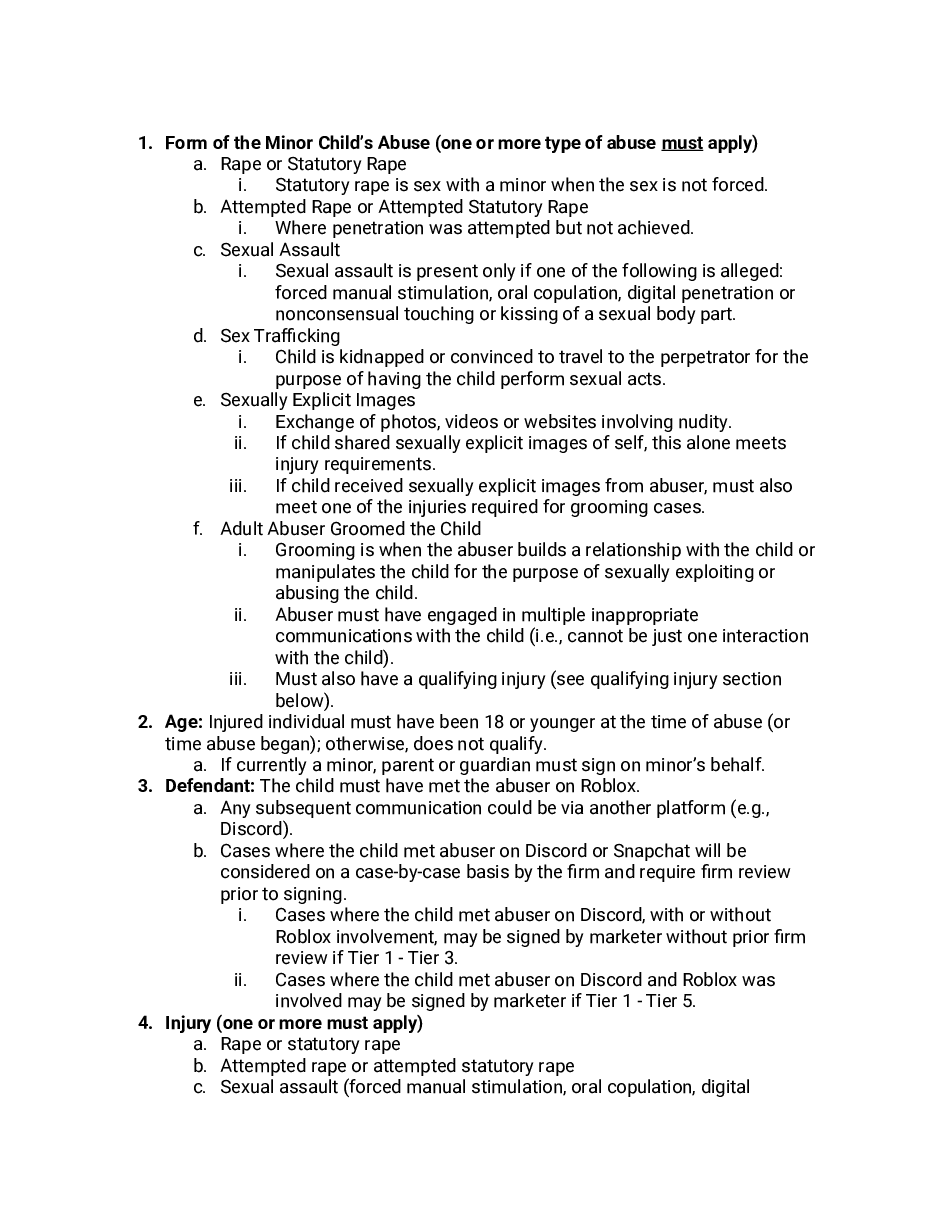
@deleted-U055HQT39PC @deleted-U04HFGHL4RW @deleted-U05EFH3S2TA @Malissa new Sextortion campaign with AWD/Anapol coming shortly. There are two campaigns we will run:

  1. We are going to be sent about 750-900 signed claimants they rec'd from other marketing companies. The intakes are apparently very short, so they want us to: a. verify the claimant is "real" and indeed meets the base criteria and give a disposition for each (ie does not qualify, fraud, etc etc) b. claimants the DO meet criteria they want us to perform a secondary interview (see attached) via VSS team
  2. New campaign where we are generating the leads, performing sign ups and secondary interviews
  3. Review their base criteria vs our base criteria and let me know the difference

The main this I would like to do is:

  1. review their secondary interview and give me an estimate of how long it will take to complete one, based on a comparision to other abuse case secondary interviews
  2. compare their secondary interview to our standard intake (they seem to be very similar). (my belief is that our standard intake is equal to their secondary interview) I would like to get this done today so I have all answers as we have a call tomorrow at 10am PST.
πŸ‘€ deleted-U055HQT39PC
Cameron Rentch (cameron@internetthings.com)
2025-05-20 10:40:19

@deleted-U055HQT39PC @deleted-U05EFH3S2TA any updates for me on this?^^

Cameron Rentch (cameron@internetthings.com)
2025-05-20 10:40:30

(fyi I found it @Malissa ^)

deleted-U055HQT39PC
2025-05-20 10:42:43

@Cameron Rentch we are working on that right now, our intake is a little more thorough than theirs. I’m also comparing timelines from previous finals for the JB Sextortion campaign to get an average intake timeline

Cameron Rentch (cameron@internetthings.com)
2025-05-20 10:45:50

awesome thank you @deleted-U055HQT39PC

deleted-U055HQT39PC
2025-05-20 11:55:18

@Cameron Rentch Average time to complete our intake is about 45 Min (Without PD) Some key differences: Game is Roblox only, we had multiples They also will take SA without Roblox being involved through Discord, Snapchat Sunnie did have some questions that are in the doc.

Cameron Rentch (cameron@internetthings.com)
2025-05-21 12:07:39

hey @deleted-U055HQT39PC I emailed you answers to questions in criteria - do you have all answers you need? Also, please make sure that when building Anapol intake you are using the values they have identified in the question set excel doc.

βœ… deleted-U055HQT39PC
Cameron Rentch (cameron@internetthings.com)
2025-05-21 12:10:20

also @deleted-U04HFGHL4RW @deleted-U055HQT39PC before we build Intake want to talk about shortening their intake to meet baseline crtieria, then have secondary interviews performed by VSS staff. I will start a new string with you both, Alan and Alex

deleted-U055HQT39PC
2025-05-21 12:30:07

@Cameron Rentch we are good with that clarification in the email, thank you. We'll make the intake based on what they sent.

Cameron Rentch (cameron@internetthings.com)
2025-07-10 17:28:31

Can you guys please tell me the date for DL Flatirons when we stopped taking thyroid disease cases for AFFF?

deleted-U055HQT39PC
2025-07-10 17:32:29

@Cameron Rentch Jan 9th the criteria was changed

πŸ™ Cameron Rentch
Cameron Rentch (cameron@internetthings.com)
2025-07-28 09:49:13

@deleted-U055HQT39PC @deleted-U04HFGHL4RW I saw a ton for transfers in slack yesterday looks like a great day with Milestone. I don’t see them listed in the report though? Can you let me know why? <#C090Q4TE37T|milestone-tax-solutons>

deleted-U055HQT39PC
2025-07-28 10:09:47

@Cameron Rentch I do not have access to that channel.

Cameron Rentch (cameron@internetthings.com)
2025-07-28 10:49:57

@deleted-U055HQT39PC I added you

deleted-U055HQT39PC
2025-07-28 11:35:31

Initial glance looks like the status trigger, let me dig in

Cameron Rentch (cameron@internetthings.com)
2025-07-28 11:57:08

ty

deleted-U055HQT39PC
2025-07-28 12:31:40

I'm showing 19 esigns, 19 finals for yesterday. @Cameron Rentch Which report are they missing from?

Cameron Rentch (cameron@internetthings.com)
2025-07-29 02:20:01

@deleted-U055HQT39PC the daily report you send via email

Cameron Rentch (cameron@internetthings.com)
2025-07-29 02:20:04

check them pls

deleted-U055HQT39PC
2025-07-29 08:56:46

@Cameron Rentch got it. The report is running Monday - Friday. I’ll update it to include Saturday and Sunday

Cameron Rentch (cameron@internetthings.com)
2025-07-29 15:38:18

ah thanks @deleted-U055HQT39PC makes sense